-
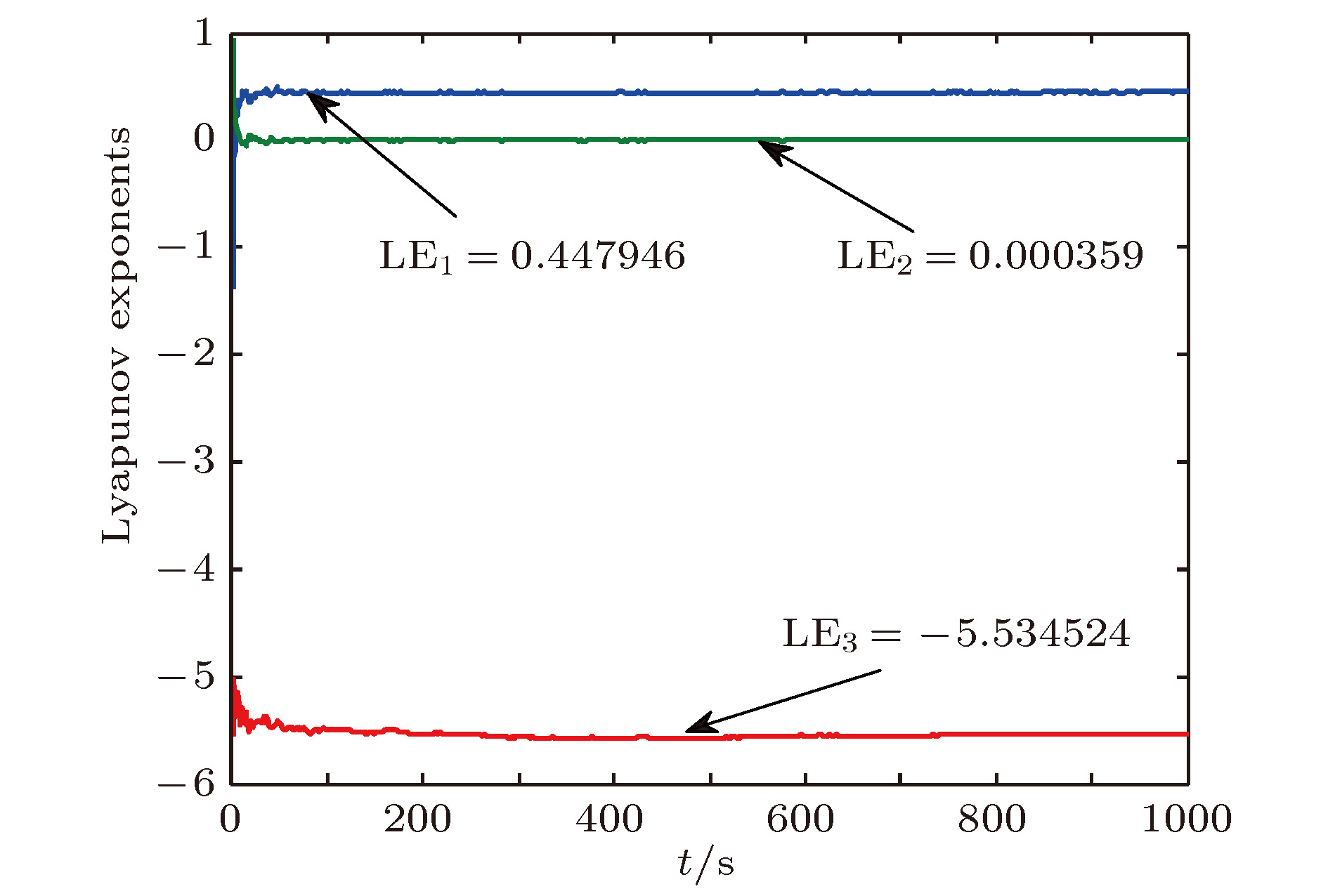
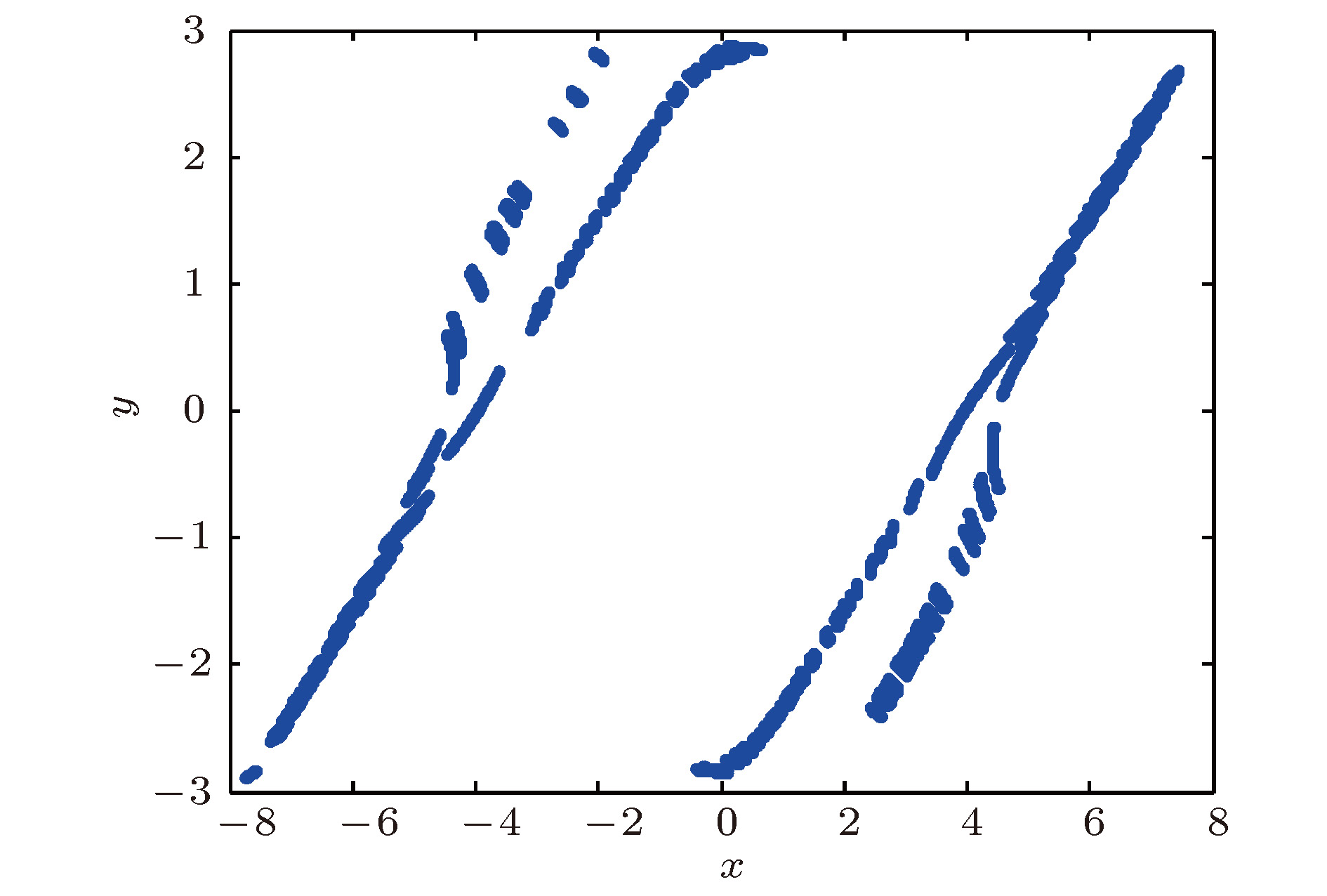
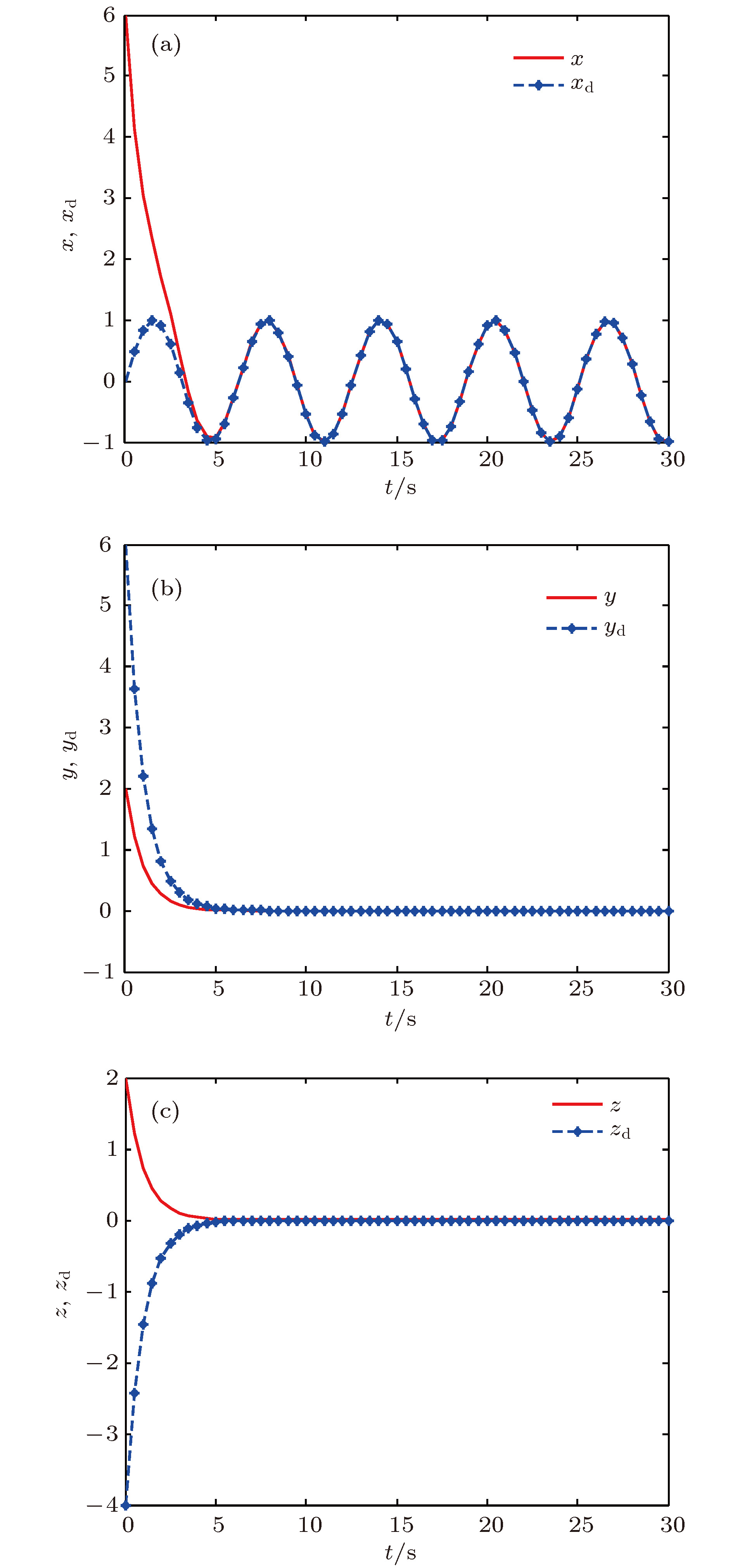
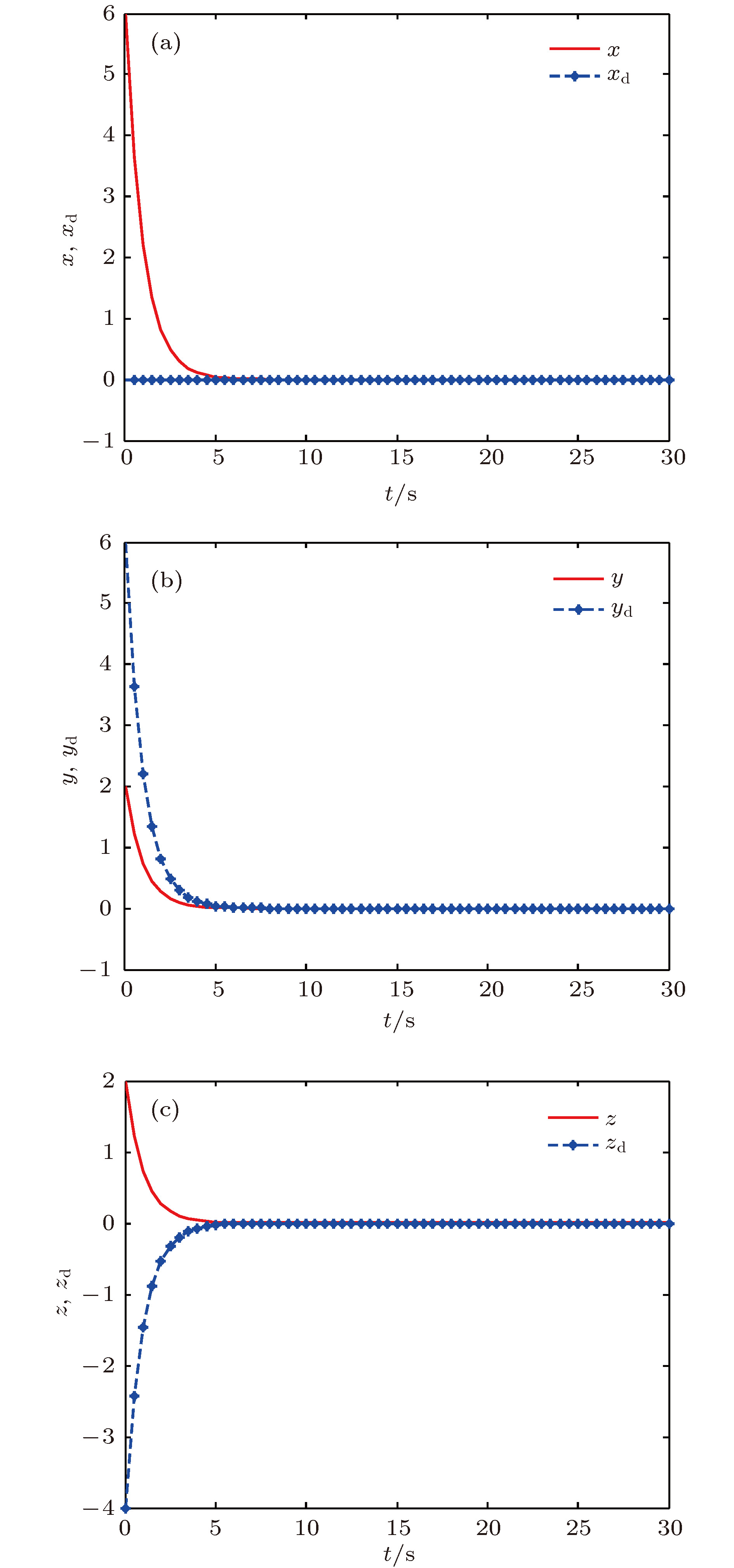
Chaos has great potential applications in engineering fields, such as secure communication and digital encryption. Since the double-scroll Chua’s circuit was developed first by Chua, it has quickly become a paradigm to study the double-scroll chaotic attractors. Compared with the conventional double-scroll chaotic attractors, the multi-scroll chaotic attractors have complex structures and rich nonlinear dynamical behaviors. The multi-scroll chaotic attractors have been applied to various chaos-based information technologies, such as secure communication and chaotic cryptanalysis. Hence, the generation of the multi-scroll chaotic attractors has become a hot topic in research field of chaos at present. In this paper, a novel Chua multi-scroll chaotic system is constructed by using a logarithmic function series. The nonlinear dynamical behaviors of the novel Chua multi-scroll chaotic system are analyzed, including symmetry, invariance, equilibrium points, the largest Lyapunov exponent, etc. The existence of chaos is confirmed by theoretical analyses and numerical simulations. The results show that the rich Chua multi-scroll chaotic attractors can be generated by combining the logarithmic function series with the novel Chua double-scroll chaotic system. The generation mechanism of the Chua multi-scroll chaotic attractors is that the saddle-focus equilibrium points of index 2 are used to generate the scrolls, and the saddle-focus equilibrium points of index 1 are used to connect these scrolls. Then, three recursive back-stepping controllers are designed to control the chaotic behavior in the novel Chua multi-scroll chaotic system. The recursive back-stepping controllers can control the novel Chua multi-scroll chaotic system to a fixed point or a given sinusoidal function. Finally, a new method of detecting a weak signal embedded in the Gaussian noise is proposed on the basis of the novel Chua multi-scroll chaotic system and the recursive back-stepping controllers. The immunity of the novel Chua multi-scroll chaotic system to the Gaussian noise with the zero mean is analyzed by using the stochastic differential equation theory. The results show that the proposed new method of detecting the weak signal can detect the frequencies of the multi-frequency weak periodic signal embedded in the Gaussian noise. In addition, the novel Chua multi-scroll chaotic system has strong immunity to any Gaussian noise with the zero mean. The proposed method provides a new thought for detecting the weak signal.
-
Keywords:
- Chua multi-scroll chaotic system/
- logarithmic function series/
- recursive back-stepping controllers/
- weak signal detection
[1] [2] [3] [4] [5] [6] [7] [8] [9] [10] [11] [12] [13] [14] [15] [16] [17] [18] [19] [20] [21] [22] [23] [24] [25] [26] [27] [28] [29] [30] [31] [32] [33] [34] [35] [36] [37] [38] [39] -
平衡点 特征值 平衡点的类型 ${Q_0}\left( {0,0,0} \right)$ $67.2809$,$ - 0.5730 \pm {\rm{i3}}{\rm{.9544}}$ Ⅰ ${Q_{1,2}}\left( { \pm 10,0,0} \right)$ $67.2809$,$ - 0.5730 \pm {\rm{i3}}{\rm{.9544}}$ Ⅰ ${Q_{3,4}}\left( { \pm 20,0,0} \right)$ $67.2809$,$ - 0.5730 \pm {\rm{i3}}{\rm{.9544}}$ Ⅰ ${Q_{5,6}}\left( { \pm 30,0,0} \right)$ $67.2809$,$ - 0.5730 \pm {\rm{i3}}{\rm{.9544}}$ Ⅰ ${Q_{7,8}}\left( { \pm 40,0,0} \right)$ $67.2809$,$ - 0.5730 \pm {\rm{i3}}{\rm{.9544}}$ Ⅰ ${Q_{9,10}}\left( { \pm 50,0,0} \right)$ $67.2809$,$ - 0.5730 \pm {\rm{i3}}{\rm{.9544}}$ Ⅰ ${Q_{11,12}}\left( { \pm 5,0,0} \right)$ $ - 6.2777$,$0.1389 \pm {\rm{i3}}{\rm{.5671}}$ Ⅱ ${Q_{13,14}}\left( { \pm 15,0,0} \right)$ $ - 6.2777$,$0.1389 \pm {\rm{i3}}{\rm{.5671}}$ Ⅱ ${Q_{15,16}}\left( { \pm 25,0,0} \right)$ $ - 6.2777$,$0.1389 \pm {\rm{i3}}{\rm{.5671}}$ Ⅱ ${Q_{17,18}}\left( { \pm 35,0,0} \right)$ $ - 6.2777$,$0.1389 \pm {\rm{i3}}{\rm{.5671}}$ Ⅱ ${Q_{19,20}}\left( { \pm 45,0,0} \right)$ $ - 6.2777$,$0.1389 \pm {\rm{i3}}{\rm{.5671}}$ Ⅱ ${Q_{2{\rm{1}},2{\rm{2}}}}\left( { \pm 55,0,0} \right)$ $ - 6.2777$,$0.1389 \pm {\rm{i3}}{\rm{.5671}}$ Ⅱ -
[1] [2] [3] [4] [5] [6] [7] [8] [9] [10] [11] [12] [13] [14] [15] [16] [17] [18] [19] [20] [21] [22] [23] [24] [25] [26] [27] [28] [29] [30] [31] [32] [33] [34] [35] [36] [37] [38] [39]
Catalog
Metrics
- Abstract views:11187
- PDF Downloads:185
- Cited By:0













DownLoad:





















