-
The lack of the relationship between flux and charge has been made up for by the memristor which is suitable to constructing chaotic circuits as a nonlinear element. Commonly, the memristor-based chaotic systems are constructed by introducing the model of memristor into various classical nonlinear circuits, and more special and abundant dynamic behaviors are existent in these memristive systems. With the deepening of research, several novel nonlinear phenomena of memristor circuits have been found, such as hidden attractors, self-excited attractors and anti-monotonic characteristic. Meanwhile, multistability of a memristor-based circuit explained by the coexistence of multiple attractors with different topological structures is a typical phenomenon in a nonlinear system, and it is also one of the hotspots in this field. In addition, the chaotic sequences generated by the memristive circuits are used as additional signals for information transmission or image encryption. Therefore, the study of modeling memristor systems and analyzing various nonlinear behaviors is of certain valuable. In this paper, a four-dimensional flux-controlled memeristive circuit is constructed by introducing an active memristor with absolute value into an improved Chua’s circuit, and the special dynamic behaviors are observed. Through the bifurcation diagrams and Lyapunov exponent spectra, the symmetric bifurcations are shown, and the symmetric system states in parameter mappings are found. Besides, the distribution maps of memristive circuit are used to analyze the multistability in a symmetrical attraction domain, and the corresponding phase diagrams are depicted to confirm the existence of multistability. Furthermore, the circuit experiments of the flux-controlled memeristive circuit are implemented by the field programmable gate array simulation, and the experimental results are obtained on a digital oscilloscope, which proves the physical implementability of the memristor-based system. -
Keywords:
- flux-controlled memristor circuit/
- symmetrical dynamic behaviors/
- multistability/
- field programmable gate array
[1] [2] [3] [4] [5] [6] [7] [8] [9] [10] [11] [12] [13] [14] [15] [16] [17] [18] [19] [20] [21] [22] [23] [24] [25] [26] [27] -
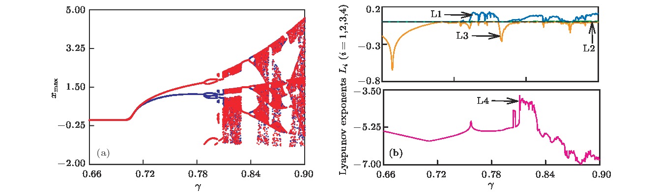
参数 数值 参数 数值 $a$ 1 $\xi $ 0.12 $b$ 3.5 $\alpha $ 0.3 $c$ 1 $\beta $ 0.8 $\gamma $ 0.86 参数$\gamma $ 运动状态 Lyapunov指数 $(0.6{\rm{6}},0.{\rm{704}})$ 稳定不动点 $( -, -, -, - )$ $(0.{\rm{704}},0.8{\rm{08}}) \cup (0.{\rm{829}},0.{\rm{845}})$ 周期运动 $( + , -, -, - )$ ${\rm{(0}}{\rm{.808,}}\,{\rm{0}}{\rm{.829)}} \cup {\rm{(0}}{\rm{.845,}}\,{\rm{0}}{\rm{.9)}}$ 复杂运动(混沌, 多周期) $( +,0, -, - )$ 参数c 运动状态 Lyapunov指数 ${\rm{(0}}{\rm{.9,}}\,{\rm{1}}{\rm{.02)}} \cup {\rm{(1}}{\rm{.07,1}}{\rm{.13)}}$ 复杂运动(混沌, 多周期) $( +,0, -, - )$ ${\rm{(1}}{\rm{.02,}}\,{\rm{1}}{\rm{.07)}} \cup {\rm{(1}}{\rm{.13,}}\,{\rm{1}}{\rm{.41)}}$ 周期运动 $( + , -, -, - )$ $({\rm{1}}{\rm{.41,1}}{\rm{.5}})$ 稳定不动点 $( -, -, -, - )$ 颜色 系统运动 紫色 稳定不动点 蓝色 周期1 绿色 周期2 黄色 周期3 红色 复杂运动(混沌, 多周期) 颜色 浅蓝 
绿色 
黄色 
红色 
紫色 
共存类型 左侧周期1 左侧周期2 左侧周期3 左侧复杂运动(左侧多周期, 混沌) 稳定不动点 颜色 深蓝 
青色 
草绿 
橙色 
共存类型 右侧周期1 右侧周期2 右侧周期3 右侧复杂运动(右侧多周期, 混沌) 参数 吸引子类型 初始条件 $\gamma = 0.{\rm{74}}$ 左右共存点吸引子 $\left( \pm {10^{ - 9}},0,0, \mp 0.{\rm{45}}\right)$ 左右共存周期1 $\left( \pm 0.1,0,0,0\right)$,$\left( \pm {10^{ - 9}},0,0, \pm {\rm{0}}{\rm{.45}}\right)$ 左右共存周期2, 左右共存周期3 $\left( \pm {\rm{1}}{{\rm{0}}^{ - {\rm{9}}}},0,0, \pm {\rm{0}}{\rm{.45}}\right)$, $ \left( \pm 0.{\rm{4}},0,0,0\right) $, $\left( \pm {10^{ - 9}},0,0 \pm 0.{\rm{5}}\right)$ 左右共存混沌 $\left( \pm 0.{\rm{8}},0,0,0\right)$, $\left( \pm {10^{ - 9}},0,0, \pm 0.9\right)$ $c = 1.274$ 左右共存点吸引子 $\left( \pm {10^{ - 9}},0,0, \mp 0.{\rm{45}}\right)$ 左右共存周期1 $\left( \pm 0.1,0,0,0\right)$, $\left( \pm {10^{ - 9}},0,0,0\right)$ 左右共存周期3 $\left( \pm 0.45,0,0,0\right)$, $\left( \pm {10^{ - 9}},0,0 \pm 0.4{\rm{5}}\right)$ 左右共存混沌 $\left( \pm 0.{\rm{8}},0,0,0\right)$, $\left( \pm {10^{ - 9}},0,0, \pm 0.9\right)$ -
[1] [2] [3] [4] [5] [6] [7] [8] [9] [10] [11] [12] [13] [14] [15] [16] [17] [18] [19] [20] [21] [22] [23] [24] [25] [26] [27]
Catalog
Metrics
- Abstract views:7283
- PDF Downloads:74
- Cited By:0













DownLoad:





















