-
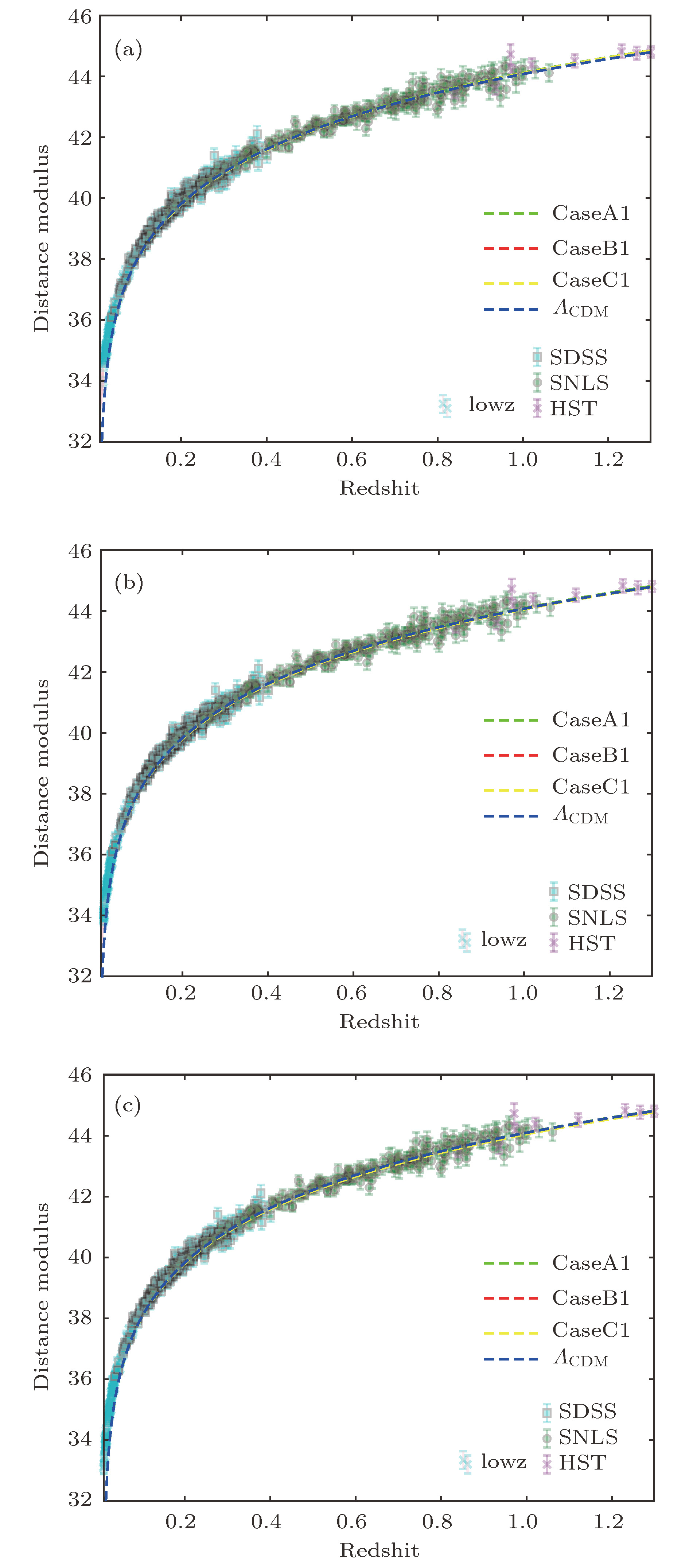
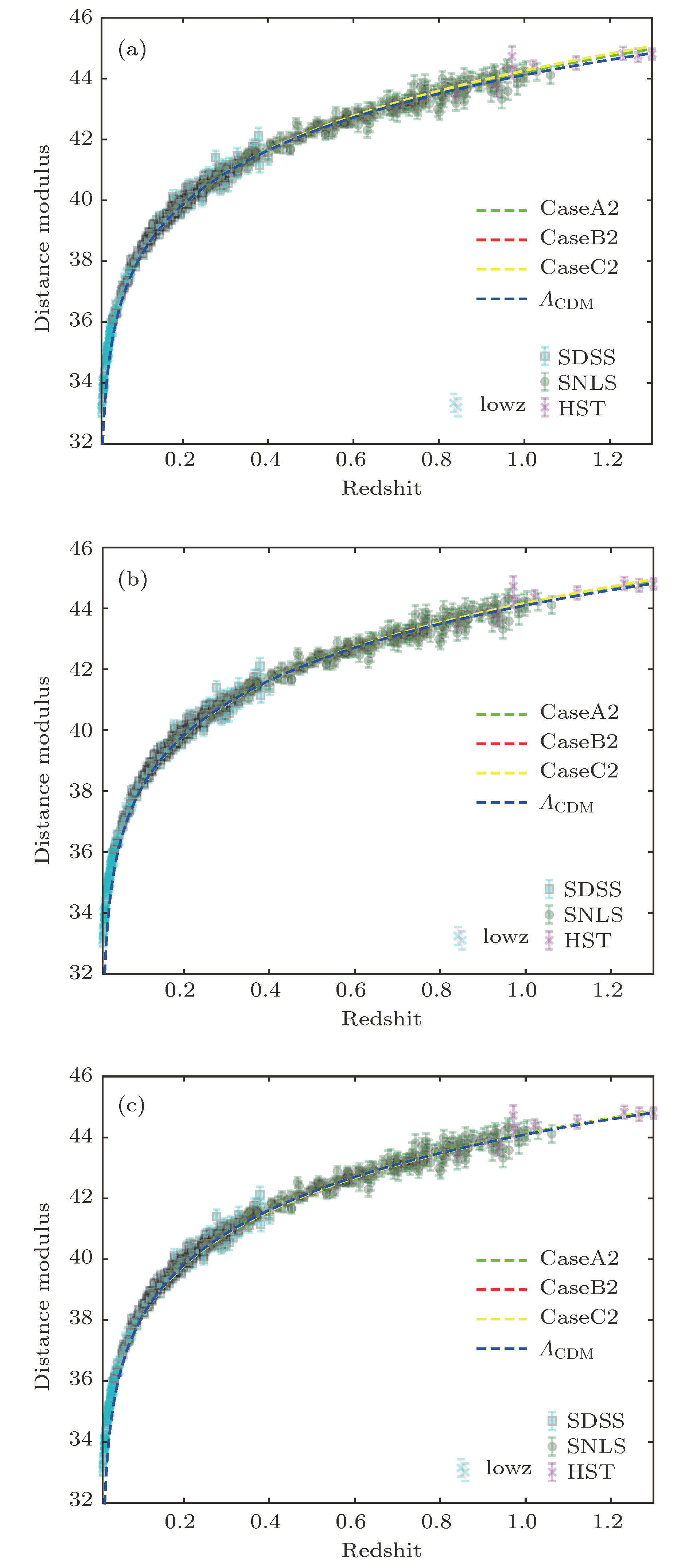
Recently, Vafa et al. proposed two string swampland criteria, and studying the constraints imposed by the two string swampland criteria on cosmology, they found that the inflationary models are generally difficult to be compatible with these two criteria. Applying these two criteria to the accelerated expansion of the universe during the current period, it was found that the specific quintessence model can satisfy these constraints while satisfying the constraints imposed by the current observations. Applying the gravitational theory of large scale Lorentz violation to cosmology, the vacuum energy density is not the only cause of the accelerated expansion of the universe. The large scale Lorentz violation combined with the cosmological constant term results in the observed accelerated expansion of the late universe. The vacuum energy density is a bit like a naked cosmological constant. The equivalent energy density considering the large scale Lorentz violation effect is the effective cosmological constant that determines the evolution of the universe. In this way, we find that the negative cosmological constant in the string landscape can also accelerate the expansion of the universe, and compared with the
$ {\varLambda _{{\rm{CDM}}}}$ model, it leads to a cosmological constant as an effective vacuum energy density. Effective vacuum energy density behaves as a monotonically decreasing quintessence potential energy for the string landscape, for most of the naked positive vacuum energy densities in the swampland, the evolution of effective cosmological constant with time will show a local minimum. Comparing the calculated results of the distance modulus withthe astronomical observations, we can obtain that a negative cosmological constant also accelerates the expansion of the universe. Thus, the vacuum energy density derived from the string landscape will give quintessence potential that satisfies the swampland criterion, while the evolution of vacuum energy density given by the swampland model of the metastable dS vacuum is not quintessence potential, so it cannot satisfy the second de Sitter criterion. Therefore, the effective potential leading to the accelerated expansion of the late universe can only come from the string landscape, which is naturally UV completion. Therefore, it gives that the accelerated expansion of the late universe is the feature of early quantum gravity. It is not necessary to use the metastable de Sitter vacuum to explain the accelerated expansion of the late universe. The difficulty of incompatibility between the swampland model and the accelerated expansion of the late universe caused by the swampland conjecture will be eliminated.[1] [2] [3] [4] [5] [6] [7] [8] [9] [10] [11] [12] [13] [14] [15] [16] [17] [18] [19] [20] [21] [22] [23] [24] [25] [26] [27] [28] [29] [30] [31] [32] [33] -
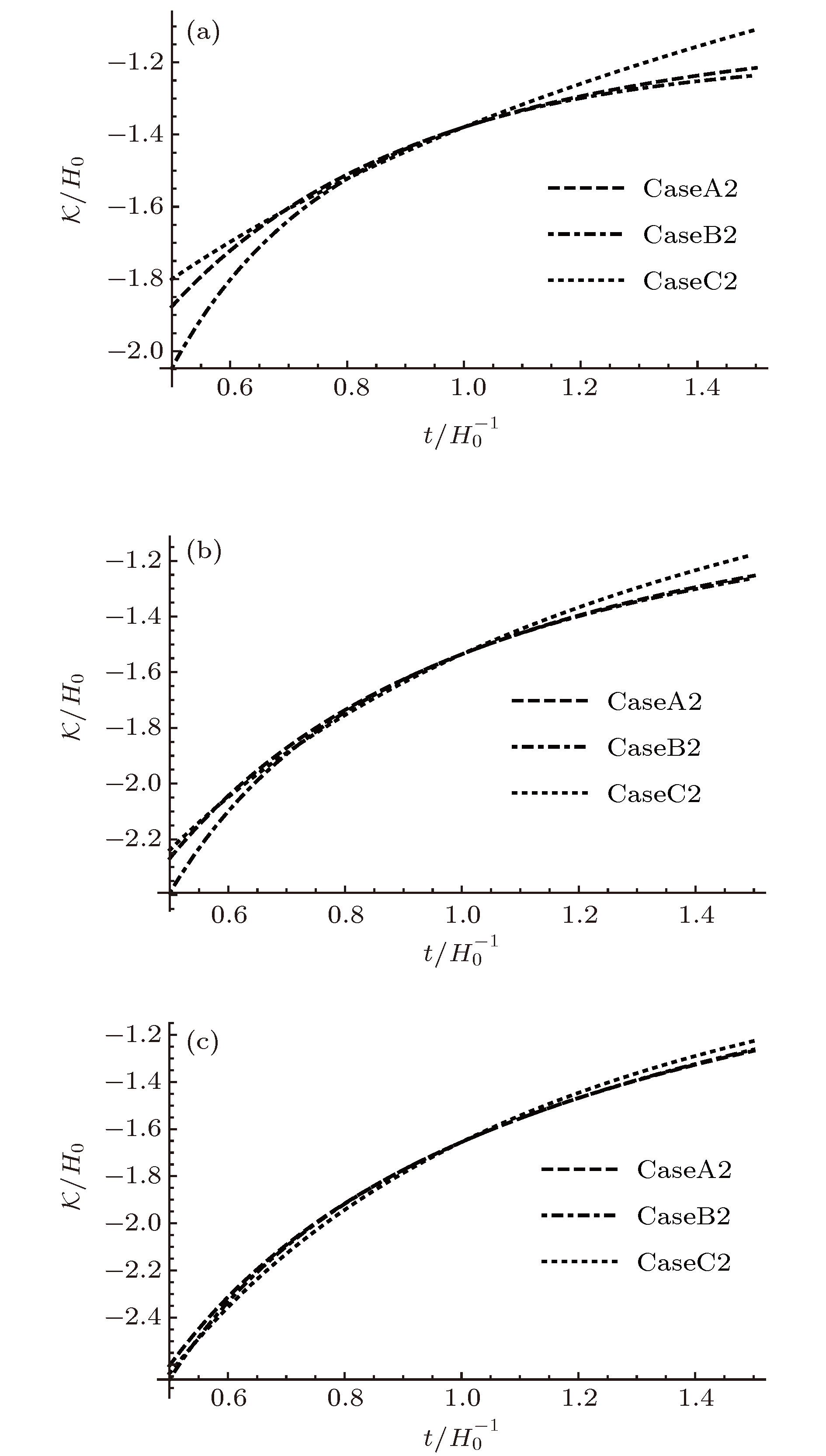
${\cal{K}}\left( {{t_0}} \right)$的值 ${\cal{K}}\left( t \right)$的方程 CaseA1 ${\cal{K}}\left( {{t_0}} \right) = {H_0}\left( {\sqrt {1 - \dfrac{{\varLambda - {\varLambda _0}}}{{3{H_0}^2}}} - 1} \right)$ $H\left( t \right){\cal{K}}\left( t \right) + {\dot {\cal{K}}}\left( t \right) = \dfrac{1}{3}\left( {{\varLambda _0} - \varLambda } \right);$ CaseA2 ${\cal{K}}\left( {{t_0}} \right) = - {H_0}\left( {\sqrt {1 - \dfrac{{\varLambda - {\varLambda _0}}}{{3{H_0}^2}}} + 1} \right)$ $H\left( t \right){\cal{K}}\left( t \right) + \dot {\cal{K}}\left( t \right) = \dfrac{1}{3}\left( {{\varLambda _0} - \varLambda } \right);$ CaseB1 ${\cal{K}}\left( {{t_0}} \right) = {H_0}\left( {\sqrt {1 - \dfrac{{\varLambda - {\varLambda _0}}}{{3{H_0}^2}}} - 1} \right)$ $\dot {\cal{K}} + 2H{\cal{K}} + \dfrac{1}{2}{{\cal{K}}^2} = \dfrac{1}{2}\left( {{\varLambda _0} - \varLambda } \right);$ CaseB2 ${\cal{K}}\left( {{t_0}} \right) = - {H_0}\left( {\sqrt {1 - \dfrac{{\varLambda - {\varLambda _0}}}{{3{H_0}^2}}} + 1} \right)$ $\dot {\cal{K}} + 2H{\cal{K}} + \dfrac{1}{2}{{\cal{K}}^2} = \dfrac{1}{2}\left( {{\varLambda _0} - \varLambda } \right);$ CaseC1 ${\cal{K}}\left( {{t_0}} \right) = {H_0}\left( {\sqrt {1 - \dfrac{{\varLambda - {\varLambda _0}}}{{3{H_0}^2}}} - 1} \right)$ $\begin{array}{l} \left( {3{w_0} + 1} \right){{\cal{K}}^2} + \left( {6{w_0} + 4} \right)H{\cal{K}} + 2\dot {\cal{K}} = \left( {{w_0} + 1} \right){\varLambda _0}; \\ \end{array} $ CaseC2 ${\cal{K}}\left( {{t_0}} \right) = - {H_0}\left( {\sqrt {1 - \dfrac{{\varLambda - {\varLambda _0}}}{{3{H_0}^2}}} + 1} \right)$ $\begin{array}{l} \left( {3{w_0} + 1} \right){{\cal{K}}^2} + \left( {6{w_0} + 4} \right)H{\cal{K}} + 2\dot {\cal{K}} = \left( {{w_0} + 1} \right){\varLambda _0}. \\ \end{array} $ ${\cal{K}}\left( {{t_0}} \right)$的值 ${\varLambda _0}$的临界值 CaseA ${\cal{K}}\left( {{t_0}} \right) = {H_0}\left( {\sqrt {1 - \dfrac{{\varLambda - {\varLambda _0}}}{{3{H_0}^2}}} - 1} \right)$ $ - 0.05\varLambda $ ${\cal{K}}\left( {{t_0}} \right) = - {H_0}\left( {\sqrt {1 - \dfrac{{\varLambda - {\varLambda _0}}}{{3{H_0}^2}}} + 1} \right)$ $ - 0.187\varLambda $ CaseB ${\cal{K}}\left( {{t_0}} \right) = {H_0}\left( {\sqrt {1 - \dfrac{{\varLambda - {\varLambda _0}}}{{3{H_0}^2}}} - 1} \right)$ $ - 0.066\varLambda $ ${\cal{K}}\left( {{t_0}} \right) = - {H_0}\left( {\sqrt {1 - \dfrac{{\varLambda - {\varLambda _0}}}{{3{H_0}^2}}} + 1} \right)$ $ - 0.2144\varLambda $ CaseC (${w_0} = - 1$) ${\cal{K}}\left( {{t_0}} \right) = {H_0}\left( {\sqrt {1 - \dfrac{{\varLambda - {\varLambda _0}}}{{3{H_0}^2}}} - 1} \right)$ $0.00001\varLambda $ ${\cal{K}}\left( {{t_0}} \right) = - {H_0}\left( {\sqrt {1 - \dfrac{{\varLambda - {\varLambda _0}}}{{3{H_0}^2}}} + 1} \right)$ $0.00001\varLambda $ CaseC(${w_0} = - {8}/{9}$) ${\cal{K}}\left( {{t_0}} \right) = {H_0}\left( {\sqrt {1 - \dfrac{{\varLambda - {\varLambda _0}}}{{3{H_0}^2}}} - 1} \right)$ $0.119\varLambda $ ${\cal{K}}\left( {{t_0}} \right) = - {H_0}\left( {\sqrt {1 - \dfrac{{\varLambda - {\varLambda _0}}}{{3{H_0}^2}}} + 1} \right)$ $0.075\varLambda $ CaseC(${w_0} = - {7}/{9}$) ${\cal{K}}\left( {{t_0}} \right) = {H_0}\left( {\sqrt {1 - \dfrac{{\varLambda - {\varLambda _0}}}{{3{H_0}^2}}} - 1} \right)$ 无 ${\cal{K}}\left( {{t_0}} \right) = - {H_0}\left( {\sqrt {1 - \dfrac{{\varLambda - {\varLambda _0}}}{{3{H_0}^2}}} + 1} \right)$ $0.152\varLambda $ CaseC(${w_0} = - {2}/{3}$) ${\cal{K}}\left( {{t_0}} \right) = {H_0}\left( {\sqrt {1 - \dfrac{{\varLambda - {\varLambda _0}}}{{3{H_0}^2}}} - 1} \right)$ 无 ${\cal{K}}\left( {{t_0}} \right) = - {H_0}\left( {\sqrt {1 - \dfrac{{\varLambda - {\varLambda _0}}}{{3{H_0}^2}}} + 1} \right)$ $0.225\varLambda $ CaseC(${w_0} = - {1}/{3}$) ${\cal{K}}\left( {{t_0}} \right) = {H_0}\left( {\sqrt {1 - \dfrac{{\varLambda - {\varLambda _0}}}{{3{H_0}^2}}} - 1} \right)$ 无 ${\cal{K}}\left( {{t_0}} \right) = - {H_0}\left( {\sqrt {1 - \dfrac{{\varLambda - {\varLambda _0}}}{{3{H_0}^2}}} + 1} \right)$ $0.397\varLambda $ -
[1] [2] [3] [4] [5] [6] [7] [8] [9] [10] [11] [12] [13] [14] [15] [16] [17] [18] [19] [20] [21] [22] [23] [24] [25] [26] [27] [28] [29] [30] [31] [32] [33]
Catalog
Metrics
- Abstract views:7062
- PDF Downloads:46
- Cited By:0













DownLoad:










