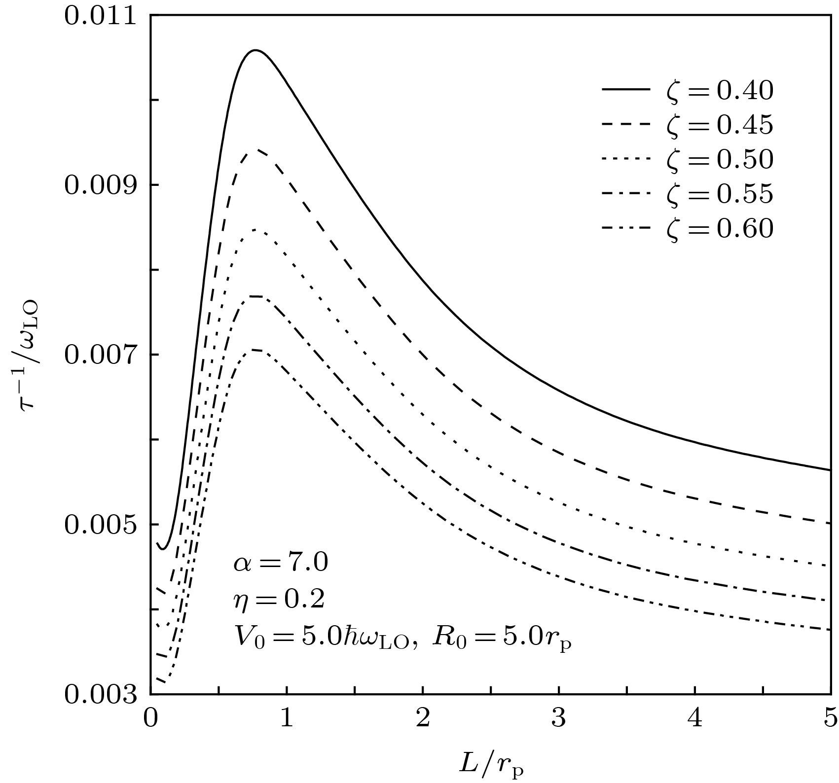
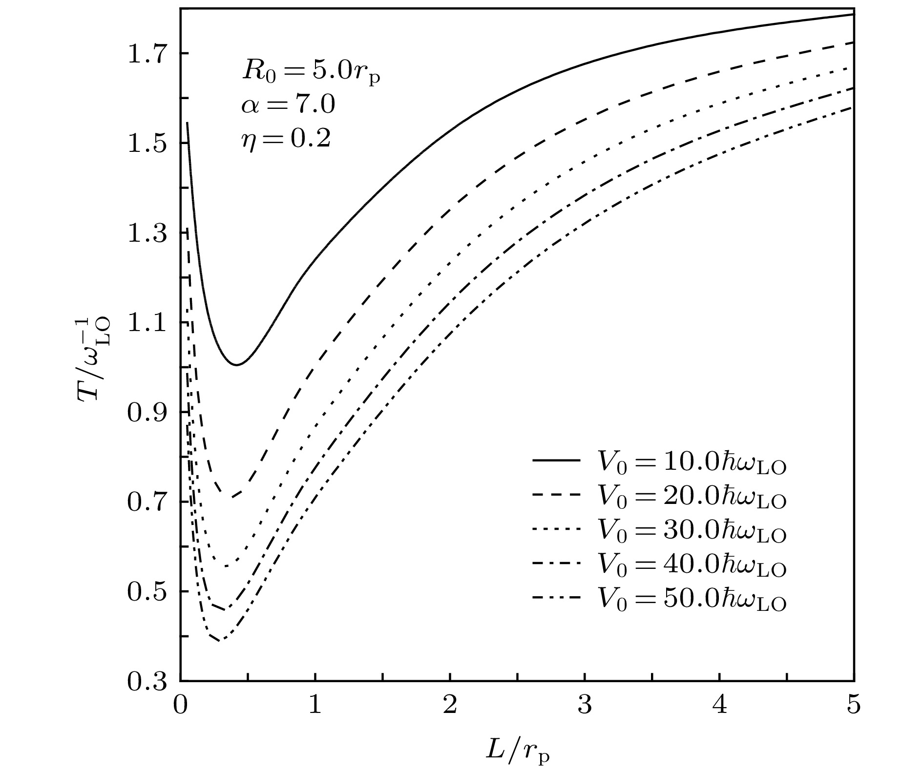
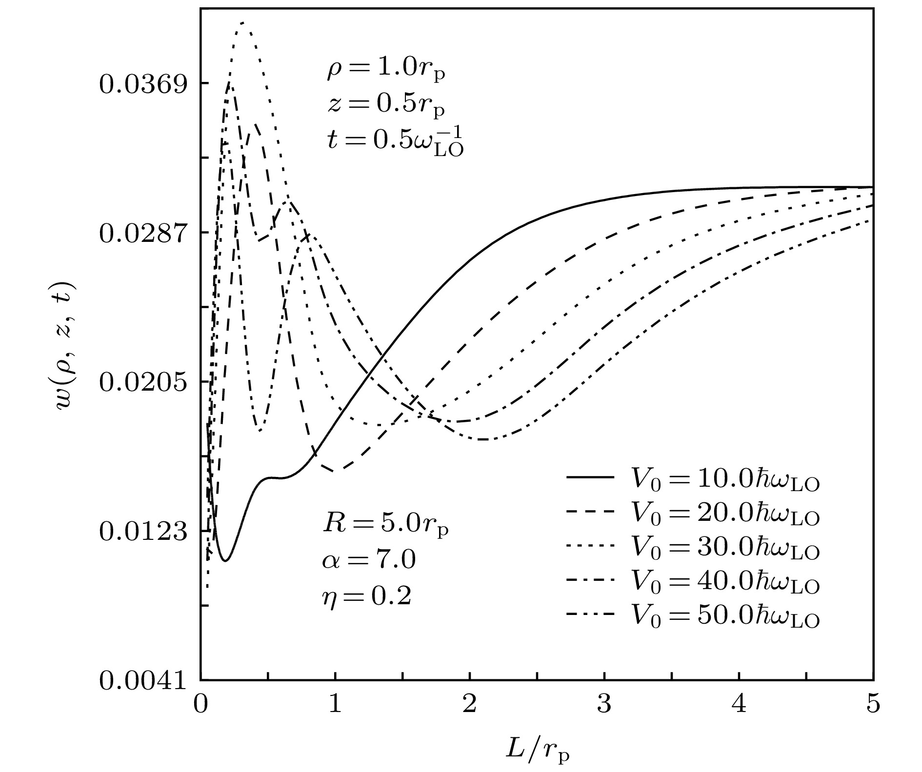
Selecting the double-parameter asymmetric Gaussian (AG) potential to describe the confinement effect of electrons in a quantum dot, the ground state and the first excited state energy eigenvalues and eigenfunctions of the three-body interaction system that are composed of the electrons, the impurity and the longitudinal optical phonon are derived by using the Lee-Low-Pines unitary transformation and the Pekar-type variational method, and the two-level structure required for a qubit is constructed. The influences of material parameters such as the dispersion coefficient, dielectric constant (DC) ratio, and electron-phonon coupling (EPC) constant on the probability density and the oscillation period of electron in the AG potential qubit are investigated. Based on the Fermi gold rule and the even-order approximation, the effects of the DC ratio, the dispersion coefficient and the EPC constant on the qubit decoherence are studied. And then the influences of the dispersion coefficient, the DC ratio and the EPC constant on the phase rotation manipulation of the qubit sphere are discussed. Numerical results show that the dispersion coefficient, the DC ratio and EPC constant of the medium have both advantages and disadvantages for the formation and information storage of qubits. The probability density of electrons in quantum dot qubits decreases with DC ratio increasing and exhibits significant oscillations as the well width of the AG potential decreases; the oscillation period of the qubit decreases with the well depth of the AG potential or the DC ratio increasing; the decoherence time increases with DC ratio or dispersion coefficient increasing; the phase rotation quality factor increases with DC ratio or dispersion coefficient increasing. Using the double-parameter AG potential to describe the confinement of electrons in quantum dot will better reflect the quantization properties of qubit. Increasing the dispersion coefficient or the DC ratio of the material is beneficial to not only the phase rotation manipulation of the qubit sphere, but also improving the coherence of the quantum dot qubit. The results of this paper can be used for reference in the experimental work on the constructing and manipulating of the quantum dot qubits.