Vol. 68, No. 24 (2019)
2019-12-20
INVITED REVIEW
COVER ARTICLE
2019, 68 (24): 248101.
doi:10.7498/aps.68.20191494
Abstract +
REVIEW
2019, 68 (24): 247301.
doi:10.7498/aps.68.20191369
Abstract +
Metal surface plasmon is a collective oscillation effect of free electrons at the micro-nanostructure surface under the stimulation of incident light. Since the corresponding oscillating electric field is strongly bound below the sub-wavelength scale, it can be used as an information carrier for future micro-nano photonic circuit and device, and can also be used to enhance the interaction between light and matter on a micro-nano scale, such as surface enhanced photoluminescence, Raman scattering, nonlinear signal generation, surface enhanced catalysis, photothermal conversion, photovoltaic conversion, etc. How to theoretically understand the unique optical behavior dominated by the plasmon oscillation mode is one of the hot research spots in the field of surface plasmon photonics. In recent years, the theory of surface plasmon has been continuously improved with the support of a large number of experimental researches. In this paper, we first systematically summarize the optical behaviors and properties of metal under the excitation of incident electromagnetic waves, and then briefly describe the plasmonic modes existing in the metal and their corresponding physical natures, the oscillation dynamics process and the currently prevailing surface plasmon coupling theories. We hope that this paper can provide a theoretical basis for those researchers who have just dabbled in the field of surface plasmons and help them to master the relevant basic knowledge quickly.
GENERAL
2019, 68 (24): 240201.
doi:10.7498/aps.68.20190701
Abstract +
Tungsten (W) alloys and W-based alloys are the primary candidate materials for plasma-facing components in future fusion reactors (e.g. ITER and CFETR). One of the critical issues still to be clarified in the design of the fusion reactor materials is the retention of hydrogen (H) isotopes in W, when the plasma-facing materials are supposed to sustain high-flux plasma and high-energy neutron. The dynamical behaviours of H in W with radiation defects (e.g. vacancy) are of serious concerns for understanding the mechanism of H capture, retention and permeation in W. In this work, a new model to extract the effective capture radius (ECR) and dissociation coefficient simultaneously is presented through coupling the trapping process and detrapping process of H in W vacancy. In the new model, the quantity ratio of vacancy to H atom in vacancy-H complex (VHx+1) in the molecular dynamics (MD) simulations is described as a function of time, while the exact occurrence time of corresponding event is not required. This new model, combined with extensive MD calculations, enables the simultaneous determining of the ECR and dissociation coefficient of H in W vacancy. It is found that the parameters are dependent not only on the event type but also on temperature. The dissociation energy of H from vacancy-H complex decreases gradually with the increase of the trapped number of H atoms in the vacancy-H complex. It is also found that the common assumption (i.e. the ECR is equal to one lattice constant and the pre-exponential factor is equal to 1013s–1) in the long-term simulation methods (e.g. kinetic Monte Carlo and rate theory) is not always valid, since these calculated dynamical parameters are dispersive. The new model to obtain more reliable results with lower cost of computing resources can be easily extended into the other similar kinetic processes (e.g. H/He trapping and detrapping processes in other materials systems). These calculated dynamical parameters should be potentially helpful in supplying the initial input parameters for the long-term simulation methods.
2019, 68 (24): 240301.
doi:10.7498/aps.68.20191364
Abstract +
Reference-frame-independent measurement-device-independent quantum key distribution is adopted to avoid aligning the reference frames in realistic setup, which can guarantee the system security against the slow drift of reference frame. However, the relative motion of reference frame including deviation and fluctuation can influence the performance of reference-frame-independent measurement-device-independent quantum key distribution in practical experimental demonstration. In this paper, taking finite effect into consideration, the performance of reference-frame-independent measurement-device-independent quantum key distribution with biased bases under reference frame deviation and fluctuation is presented to evaluate the effect of the relative motion of reference frame on our scheme, which makes the analysis conform to reality. Our simulation results imply that the key rates fluctuate periodically with the reference frame rotating, while declining with the reference frame fluctuation increasing.
2019, 68 (24): 240501.
doi:10.7498/aps.68.20191203
Abstract +
2019, 68 (24): 240502.
doi:10.7498/aps.68.20190919
Abstract +
The problem of how to generate the Lorenz attractor from several nonlinear control systems is investigated in this paper. To be more precise, the conversions from the controlled Shimizu-Morioka system and the controlled Finance system to the Lorenz system are achieved by using the differential geometric control theory. For each case a scalar control input and a state transformation are proposed. The main approach of this paper is to convert all of those three-order systems into so called lower triangular forms which all have the same first two equations. Thus converting the controlled Shimizu-Morioka system or the controlled Finance system into the Lorenz attractor is feasible by choosing an appropriate scalar control input in the third equation of each of the two control systems. To this end, firstly, in order to use the tools of the differential geometry we construct a controlled Lorenz system by treating the vector field of the Lorenz attractor as the drift vector field and treating a linear vector field with three parameters as an input vector field. When those parameters are selected in a special manner, the conditions under which the controlled Lorenz system can be equivalently transformed into the lower triangular form are satisfied. Secondly, a state transformation, through which the controlled Lorenz system can be described as a lower triangular form, is obtained by a method like Gaussian elimination instead of solving three complicated partial differential equations. Employing several partial state transformations, choosing those three parameters and setting a scalar control input, we can reduce the equations of the controlled Lorenz system into its simplest lower triangular form. Thirdly, through two state transformations designed for the controlled Shimizu-Morioka system and the controlled Finance system respectively, the two control systems are converted into their lower triangular forms which are both similar to that of the Lorenz system in a way aforementioned. A smooth scalar controller is given to achieve the anti-control from the controlled Shimizu-Morioka system to the Lorenz attractor while another non-smooth scalar controller is designed to realize the generalized synchronization from the controlled Finance system to the Lorenz system no matter what the initial values of the two systems are. Finally, two numerical simulations demonstrate the control schemes designed in this paper.
2019, 68 (24): 240503.
doi:10.7498/aps.68.20191362
Abstract +
An optical encryption method of multiple-image based on spatial angle multiplexing and double random phase encoding is proposed in this paper. In the encryption process, firstly the original images are modulated by random phase in Fresnel transform with different diffraction distances. Secondly, the modulated images are coherently superposed with reference beams which have different spatial angles and random phases, to generate interference fringes. Finally, the interference fringes from different directions are superposed to form a compound encrypted image. In the decryption process, the compound image is placed in a spatial filtering and Fresnel diffraction system, and the decrypted images are obtained after implementing the different phase keys’ demodulation and Fresnel diffraction with correct distance. This method encrypts multiple images into a single gray-scale image, which is easy to save and transmit. The double random phases are placed in object light and reference light respectively, which reduces the complexity of the encryption system and overcomes the difficulty of pixel-by-pixel alignment of random phase keys in traditional decryption experiment. At the same time, the multiplexing capacity of the proposed encryption system is analyzed, and the result shows that the system has sufficient encryption capacity. So the proposed method possesses the characteristics of high storage efficiency, simple calculation and strong anti-noise ability, and thus can encrypt multiple images simultaneously. In this paper, the encryption effect is evaluated by correlation coefficient, while the effectiveness and security are verified by simulation experiment.
2019, 68 (24): 240504.
doi:10.7498/aps.68.20190707
Abstract +
In order to investigate the following behaviors of pedestrians under limited visibility, pedestrian evacuation is simulated by an improved cellular automata model. Considering the familiarity of pedestrians with the environment, pedestrians are divided into two types: Informed type and uninformed type. For the informed pedestrians, an extended cost potential field cellular automata model is proposed. For the uninformed pedestrians, some following behavior strategies are suggested to study their evacuation behaviors. These following behaviors include following a pedestrian in the visibility (S1), following the most people’s position in the visibility (S2), following the most movement direction in the visibility (S3), and walking along the wall (S4). To investigate the evacuation efficiency of these different following strategies, we compare the performances of different densities of informed pedestrians, different visibility and different pedestrian proportions. As demonstrated by the simulation results, evacuation efficiency and the effectiveness of the following strategies are related to the visibility and density of informed pedestrians. The simulation results show that when the density of informed pedestrians is constant, S4 is more efficient at very poor visibility (R= 1), strategy S3 and S4 are more efficient at poor visibility (1 <R< 7), and the four strategies are equally efficient at good visibility (R> 6). In addition, when the visibility is constant, the density of informed pedestrians is less than 0.5, strategy S3 is the most efficient strategy. When the visibility is constant, the density of informed pedestrians is more than 0.5, the four strategies have a better performance. Moreover, it is noted that the same regular changes also exist in a single strategy environment. These findings can provide some insights into the emergency evacuation of large public places such as supermarkets and stadiums, and help develop effective guidance strategies under limited visibility.
2019, 68 (24): 240505.
doi:10.7498/aps.68.20191306
Abstract +
Interference between pedestrians and motor vehicles at signalized intersections not only leads the traffic to delay and traffic efficiency to decrease, but also induces traffic crashes to happen frequently. In this paper, a microscopic discrete model for traffic flow is adopted to study the mutual interference mechanism between pedestrians and vehicles at signalized intersection. The vehicular traffic flow model is based on the refined NaSch model, and traffic lights are introduced to consider the driver anticipating in traffic signal switching. Based on the multi-step lattice gas model, the pedestrian flow model considers the fact that the pedestrians’ speed increases gradually during pedestrian cross-street green time. Both models reflect real features of movement of vehicles (pedestrians) in daily life. When the traffic light signal switches, the vehicles (pedestrians) staying in the conflict area result in the delay of pedestrians (vehicles). It is assumed that pedestrians and vehicles cannot coexist in the conflict area at the same time. In the simulation, the periodic boundary condition is applied to the lane, and the open boundary condition is applied to the crosswalk. The arrival rate of pedestrian is assumed to satisfy the Poisson distribution. Both the fundamental diagram of vehicular traffic flow and the pedestrian waiting time are calculated, and the phase diagram revealing the global nature of the presented model is obtained accordingly. The quantitative characteristics of vehicle (pedestrian) delay time caused by pedestrians (vehicles) staying in the conflict area are given as well. Simulation results show that there is a critical split. When the split is less than the critical value, three kinds of traffic phases, i.e., free flow phase, saturated flow phase, and jamming flow phase, appear with the increase of density. When the split is larger than the critical value, four kinds of traffic phases, i.e., free flow phase, coexisting phase, saturated flow phase, and jamming flow phase are distinguished. The delay caused by the mutual interference between pedestrians and motor vehicles is closely related to the state of vehicle flow and the state of pedestrian flow. When the arrival rate of pedestrians is quite large and the split is large enough, these pedestrians in the waiting area cannot be emptied once in a single pedestrian cross-street cycle. The qualitative and quantitative characteristics of mutual interference between pedestrians and vehicles are discussed in more detail. The setting of a reasonable split not only ensures the efficiency of traffic flow, but also reduces the waiting time of pedestrians to cross the street.
2019, 68 (24): 240506.
doi:10.7498/aps.68.20190525
Abstract +
In recent years, the property of nonequilibrium thermodynamics in closed system, especially in spin chain system undergoing a quenching process, has become one of the hot topics in the quantum thermodynamics. The nonequilibrium thermodynamic properties of XY spin chain with XZX + YZY type of three-site interaction under a transverse field are studied by considering an exactly solvable model. First we review some basic concepts, i.e., the work distribution, the averaged work, the fluctuation of work, and the irreversible entropy in the nonequilibrium thermodynamics, and give the theoretical model and its solutions. Then, we concretely discuss the effects of the three-site interaction of XZX + YZY type on the average work, the fluctuation of work and the irreversible entropy in the extended XY chain undergoing a quench process. The theoretical calculation and numerical simulation show that the three-site interaction of XZX + YZY type may play a positive and negative role in the increase of the averaged work, which depends on the strength of initial external magnetic field. Moreover, we also find that work fluctuation can be effectively suppressed by adjusting the intensity of XZX + YZY three-site interaction. Finally, it is found that the irreversible entropy production presents a sharp peak characteristic near the critical magnetic field, and the value of the peak sharp decreases with the increase of XZX + YZY three-site interaction. Simultaneously, the corresponding physical explanations are also given. In a word, the results given in present paper may increasingly arouse one’s interest in the nonequilibrium quantum thermodynamics.
2019, 68 (24): 240701.
doi:10.7498/aps.68.20190497
Abstract +
Micro-X-ray diffraction (μ-XRD) plays a significant role in measuring the phase structures of small samples or micro areas of larger samples. In this article, we propose a new type of desktop micro-X-ray diffractometer named μ-Hawk focused by polycapillary optics. It consists mainly of a microfocus X-ray tube, polycapillary optics, receiving slits, a silicon drift diode (SDD) X-ray detector integrated with single/multi-channel pulse analyzer, independently rotatingθ-θgoniometer, high precisionXYZsample stage, computer programs developed by LabVIEW codes, etc. The main interface of the program has micro-X-ray diffraction analysis mode and micro energy dispersive X-ray fluorescence analysis mode. In addition, the monochromatization of X-ray, the angular resolution and the accuracy of the results of μ-Hawk are discussed. In order to demonstrate the feasibility of the instrument, the phase of micro area in the middle of the first stroke on the Chinese character “Jiao” from a 5-Jiao coin (Chinese currency) is measured by the μ-Hawk, and the phase of a copper wire 140 μm in diameter is also detected by it. After that, the phase of 1.0 mm × 0.6 mm area on the welding joint of the motherboard from an iPhone is two-dimensionally scanned by μ-Hawk. Theθ-θscanning is performed at each detected point inside the two-dimensional area. Four motors drive theXandYaxis of the sample stage as well as theθ1andθ2axis of the goniometer to accomplish the above functions. The results show that the micro energy dispersive X-ray fluorescence analysis mode of μ-Hawk can provide elementary reference information for the analysis of phase structure. Compared with conventional X-ray diffractometer, the μ-Hawk can detect the same diffraction peaks on the coin with lower background. Furthermore, the accurate diffraction peaks can be measured with a lower power and shorter time. The measured results can better reflect the true phase structure of the micro area. Six diffraction peaks and their phases can be clearly identified from the diffraction pattern of the copper wire. For the welding joint, the phase mapping of SnO2(3 1 2) is acquired through data processing. Therefore, the μ-Hawk can adapt to the micro-X-ray diffraction analysis of small samples or micro areas of samples as well as the two-dimensional scanning analysis of phase mapping. The μ-Hawk exhibits the unique advantages of accomplishing accurate micro-X-ray diffraction analysis, convenient software, low working power, time saving, and small in size. It indicates a wide application prospect in the fields of materials, geosciences and heritage protection.
ATOMIC AND MOLECULAR PHYSICS
2019, 68 (24): 243101.
doi:10.7498/aps.68.20191341
Abstract +
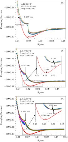
The potential energy curves (PECs) of the low-lying electronic states of TiAl are calculated with the complete active space self-consistent field (CASSCF) method combined with theN-electron valence perturbation theory (NEVPT2) approximation. The complete active space is mainly composed of the (3s23p1) valence orbital of Al and (3d24s2) valence orbital of Ti. Moreover, the valence splitting all-electron basis set def2-nZVPP (n= T, Q) proposed by Karlsruhe group is used in the calculation. On the basis of confirming that the ground state of TiAl is a quadruple state, the PECs of the ground state and the lowest two excited states of TiAl are obtained in a range of nuclear distanceRof 0.200–0.500 nm, and the electronic states are identified. It is found that there is a “break” of the electronic structure nearR= 0.255 nm. In theR> 0.255 nm region, the ground state and the two excited states are X4Δ, A4Π and B4Γ respectively; in theR< 0.255 nm region, the ground state is still X4Δ, but the two excited states become A'4Φ and B'4Π, and the degeneracy of the excited state tends to be eliminated. Based on the PECs of TiAl obtained by the dynamic correlation correction with NEVPT2, the characteristic parameters of three low-lying quadruple electronic states (such as equilibrium nuclear distance, binding energy, adiabatic excitation energy) and transition dipole moment, are obtained, and these parameters are used to explain the reason why the electronic transition spectrum of TiAl is not observed experimentally. The characteristic of “break” in the electronic state structure also provides a meaningful reference for analyzing and understanding the brittleness of TiAl alloy at room temperature.
ELECTROMAGNETISM, OPTICS, ACOUSTICS, HEAT TRANSFER, CLASSICAL MECHANICS, AND FLUID DYNAMICS
2019, 68 (24): 244101.
doi:10.7498/aps.68.20190823
Abstract +
In this paper, a propagation matrix method for lossy layered medium with conductive interfaces is presented. Firstly, on the basis of phase matching principle, an approach to calculating the real and imaginary part of wave vector in a lossy layered medium is given for the case of oblique incident plane electromagnetic wave. Since the direction of real and imaginary part of wave vector are different, the plane wave propagating in lossy dielectric layers is inhomogeneous, which extends the traditional propagation matrix method and makes it suitable for the complex lossy medium. Then, the propagation matrix across graphene interface is deduced by using the electromagnetic field boundary conditions, and the analytical expression of the reflection and transmission coefficient for “infinite thin” graphene layer are given. Finally, the propagation matrix of lossy layered medium with conductive interface is obtained by embedding graphene interface into the layered medium, which can be used for fast analyzing the reflection, transmission and propagation of plane wave in composite structure of layered medium and conductive interface. The validity of the proposed method is demonstrated by calculating the single-layered shielding effectiveness of grapheme. The effects of graphene coating on the reflection, transmission and absorption of plane wave in half-space medium and one-dimensional photonic crystal are also investigated. The results show that the graphene layer can enhance surface reflection and optical absorption.
2019, 68 (24): 244102.
doi:10.7498/aps.68.20190620
Abstract +
The resolution of traditional far-field imaging system is generally restricted by half of the wavelength of incident light due to the diffraction limit. The more specific reason is that evanescent waves carrying sub-wavelength information cannot propagate in the far field and make no contribution to the imaging. However, higher imaging resolution is required in practical applications. To realize the far-field super-resolution imaging, the imaging system should be able to collect both propagating waves and evanescent waves. Many designs have been proposed to solve this issue. In 2007, a far-field superlens was proposed by Liu et al. (Liu Z W, Durant S, Lee H, Pikus Y, Fang N, Xiong Y, Sun C, Zhang X 2007Nano Lett.7403) to realize far-field super-resolution in optical range, which consisted of a silver film and a nanoscale grating coupler. The silver film was used to amplify the evanescent waves, which were then converted into propagating waves by the sub-wavelength gratings. However, the special material properties limit the freedom of design. In microwave band, the incident components can be converted into Bloch modes by the resonant metalens, which consists of subwavelength resonators, and then be radiated to far field. Nevertheless, Green function between antenna and target is necessary, which is difficult to obtain due to the complex and even time-dependent imaging environment in practical applications, especially for super-resolution imaging system. It has been demonstrated in recent research that frequency information can be associated with spatial information of imaging target by localization resonant modes. Therefore, super-resolution imaging can be realized based on frequency information, without using Green function. Thus, a novel microstructure array is proposed to realize the far-field super-resolution scanning imaging based on a fractal resonator. The fractal resonator can work at several frequencies because of the self-similarity, which provides higher selectivity according to practical conditions. Several working statuses can be obtained for the resonator by adding photoconductive semiconductor switches, which are controlled by laser. On account of localization mode resonance, the array can realize the conversion between evanescent waves and propagating waves. Then with the help of antennas in the far-field to receive the frequency information, the location of imaging source can be confirmed according to the spectrum. Then by using the magnitude of resonant peak, sub-wavelength image can be reconstructed without using Green function. To verify the super-resolution scanning imaging characteristics of the array, an imaging simulation of “laugh face”-shaped target is performed. The image is reconstructed very well and the resolution determined by the period of the array is 20 mm, corresponding toλ/10. In view of the particularity of proposed fractal resonator, a novel scanning method is proposed. By combining the first and the third resonance, the imaging efficiency can be well improved compared with by the traditional point-by-point scanning method.
2019, 68 (24): 244201.
doi:10.7498/aps.68.20190844
Abstract +
In continuous-wave cavity ring-down spectroscopy (CW-CRDS), the measurement sensitivity is seriously affected by the multimode excitations in the ring-down cavity. The using of an intracavity aperture is a common way to restrain the excitation of high-order modes, thus leading the laser power to additionally lose and the signal-to-noise ratio to degrade. In this paper, two numerical methods, named “trigger threshold method” and “curve fitness method”, are proposed for selecting the mode in which the decays excited by the high-order modes can be removed. The laser coupling efficiency between the incident laser and the oscillating fundamental or high-order modes is studied in a misadjusted ring-down cavity. It is found that with a misadjusted ring-down cavity, the laser energy is partially coupled into the high-order modes, and the coupling energy increases with the extent of the cavity misadjustment increasing. In this case, the ring-down decaying traces excited by these high-order modes are different from and much shorter than those excited by the fundamental mode, which are respectively called “bad decays” and “good decays” in this paper. Both the fundamental mode and the high-order modes can reach the threshold in the case of low triggering threshold selection and result in the components of both good and bad decays in the output ring-down curves. When the trigger threshold rises, the bad decays are effectively restrained by the deficient coupling into the high-order modes. Thus raising the trigger threshold is an effective method to restrain bad decays for the mode selection. Another approach is to consider the time spent on turning off the laser injection since the fitting goodness of good decays is better than that of bad decays. In this paper this characteristic is also used to separate the good decays from the bad ones. These two methods are demonstrated in the CW-CRDS experiments. The results show that the sensitivity of the CW-CRDS instrument can be greatly improved by one order of magnitude in the trigger threshold method with the minimum of Allan deviations gradually approaching to a constant, while the acquisition rate of the ring-down decays slows down with the increase of the trigger threshold. The results also explain the relationship between single sampling and averaged sampling, which presents an answer to the question about the sequence choice between averaging and fitting. A numerical model is proposed to estimate the probability of good decays versus the trigger threshold, which can be used to choose appropriate trigger threshold for CW-CRDS experiment. The applicable conditions and the limitations of these two methods in CW-CRDS for trace gas detection are also discussed in the paper.
2019, 68 (24): 244202.
doi:10.7498/aps.68.20190843
Abstract +
In a multi-optical parametric oscillator by pulse pumping, energy conversion process for 1.57 μm and 3.84 μm parametric light can be expressed by time-dependent wave equations. The split-step integration method is used to solve the equations. By analyzing the simulation results of the output waveform for the multi-optical parametric amplifier, it is confirmed that back conversion and mode competition are the important factors affecting the multi-optical parametric oscillation. The 1.57 μm and 3.84 μm parametric light in an external cavity multi-optical parametric oscillator are simulated under different output mirror transmittances, crystal working lengths and cavity lengths. The conversion efficiency of 1.57 μm and 3.84 μm increase with the output mirror transmittance increasing, which means that the conversion efficiency can be adjusted by changing the parametric light transmittance of the output mirror. There exist an optimal crystal working length and a cavity length in the external cavity multi-optical parametric oscillator. The experiment on external cavity multi-optical parametric oscillator is carried out. The conversion efficiency of 1.57 μm and 3.84 μm parametric light are consistent with the theoretical values. The energy conversion process in the multi-optical parametric oscillator can be simulated by this method, which could be used for optimizing the multi-optical parametric oscillator and increasing the parametric conversion efficiency.
EDITOR'S SUGGESTION
2019, 68 (24): 244203.
doi:10.7498/aps.68.20191051
Abstract +
In this work, we report a two-step thermal pressing method of fabricating microdisk lasers that are suitable for processing thermally stable glass materials, and we utilize a tellurite glass (TeO2-ZnO-Na2O) to demonstrate the feasibility of this method. Compared with the conventional microdisk fabricating methods that rely on a series of complicated procedures, such as lithography, etching, thermal reflow, and ion implantation, this thermal pressing method involves only two heating procedures and can be accomplished with simple laboratory resistive heating furnaces. In the first heating procedure, we crush bulk tellurite glass into powders and drop those powders through a vertical heating furnace. Glass powders are transformed into microspheres by surface tension in the furnace. In the second heating procedure, microspheres are placed between two flat/smooth surfaces and are thermally treated when being pressed with suitable weights. With this procedure, the “flattened” microspheres turn into the microdisks. In this work, we demonstrate that our fabricated tellurite glass microdisks possess diameters of 100-400 μm, thinnest thickness of ~ 8 μm, and typical quality-factor (Q-factor) of ~ 105. We also dope tellurite glass with active dopants such as Nd3+and Tm3+to fabricate the active microdisk resonators. We couple those active microdisk resonators with fiber tapers and demonstrate that with appropriate pump power, apparent fluorescence whispering gallery mode and laser mode can be obtained. Taking a 105.74-μm-diameter, 10.4-μm-thickness, and Nd3+-doped tellurite glass microdisk for example, we show that as the pump power increases above a threshold of 1.364 mW, a lasing peak near 1.06 μm can be obtained. We also show that lasing peaks near 1.9 μm can be obtained by coupling/pumping Tm3+doped microdisks.
2019, 68 (24): 244204.
doi:10.7498/aps.68.20191034
Abstract +
The stress-sensitive and temperature-insensitive characteristics of the tapered fiber grating can be used effectively to suppress the cross-sensitive problem of temperature and stress. In this paper, a fiber grating with a symmetric double-cone shape is proposed, which is made by using a fused taper technology. The theoretical model of sensing characteristics is established and analyzed by the transfer matrix method. Firstly, the factors affecting the change of radon coefficient are studied, and the relationship between the radon coefficient and the amount of grate length change is obtained, and then the spectral characteristics of the symmetric fused-tapered fiber grating are analyzed to discuss the origin of dense modulation at the short wavelength of the spectrum. The effects of temperature and stress on the reflection spectrum of symmetrically fused-tapered fiber grating are studied, and the relationship between the corresponding center wavelength and spectral bandwidth is obtained. In order to solve the problem of low stress sensitivity of the fiber grating, a scheme is presented that the radius difference of the optical fiber in the sensing cone region is enhanced by using polymer to coat the tapered area. Finally, a fused taper technology is used to prepare the symmetrically molten fiber grating, and verify the correctness of theoretical simulation in experiment, indicating that its stress sensitivity is 0.11391 nm/N. Firstly, the ripple coefficient of the symmetrically fused-tapered fiber grating is linearly related to the amount of change in the length of the grating. Secondly, because the grating cycle is small at the end of the symmetrically melt-pull-cone fiber-optic grating, and the reflectivity is less than 1, the left-hand transmission light and the right-hand reflected light will produce interference, so the spectral short wavelength will present dense modulation phenomenon. Thirdly, the center wavelength shifts to long wavelength region and the reflection bandwidth is broadened as stress is raised, and the center wavelength and reflection bandwidth are both linearly changed with the applied stress. Finally, the center wavelength shifts to long wavelength region as the temperature rises gradually, and the effect on the spectral bandwidth can be ignored. The stress sensitivity of the fiber grating increases hundreds of times by increasing the difference in fiber optic grating radius in the sensing tapered area, and the stress sensitivity can be further improved by increasing the fused taper variation of the grating. The spectral bandwidth of the symmetrical fused tapered fiber grating is only sensitive to stress but not to temperature. The characteristics can be used to realize the double-parameter measurement of temperature and stress.
2019, 68 (24): 244301.
doi:10.7498/aps.68.20191253
Abstract +
In this paper, the interaction between elastic particle and cavitation bubble is considered, the expression of microstreaming velocity and shear stress around the elastic particle are derived by using the theory of acoustic scattering. Taking into account the two predominant modes of elastic particle:n= 0 mode andn= 1 mode, the effects of the distance and the ratio of the radius and the relative position on microstreaming distribution, and the effects of the particle radius and the driving frequency on shear stress distribution are investigated. It is demonstrated that the interaction can increase the amplitude of microstreaming velocity, especially the tangential component of microstreaming velocity, and the shear stress. As the distance between elastic particle and cavitation bubble increases, the interaction weakens and the amplitude of the microstreaming velocity around the elastic particle decreases. When the bubble is in resonance, the microstreaming velocity around the elastic particle is significantly enhanced. The shear stress of the particle is affected by the particle radius and the frequency of sound field. As the particle radius and the frequency of sound field are larger, the external scattering sound becomes stronger and the amplitude of shear stress on the surface of particles turns larger.
2019, 68 (24): 244401.
doi:10.7498/aps.68.20190945
Abstract +
The distinct physical properties of liquid nitrogen make liquid nitrogen spray cooling a promising technique in aerospace engineering, the electronic industry, superconductor cooling, cryobiology, etc. In-depth study of the dynamics and thermodynamic behavior of liquid nitrogen droplets impinging on the wall surface is helpful to understand the heat transfer mechanism of spray cooling technology with liquid nitrogen. Therefore, the mathematical model of single-liquid nitrogen droplet impacted solid surface is developed by Level Set-VOF method. The effects of wall wettability (30°-150°), initial velocity (0.1, 1.6 m/s) and wall temperature (300-500 K) on the phase change behavior during the evolution of droplets are investigated, and the mathematical model of film thickness is established. The results show that enhancing the wall wettability and increasing the impact speed facilitate the spreading of the droplets in the radial direction, thereby increasing the heat exchange area and reducing the thermal resistance. Ultimately, the heat exchange performance is significantly improved. Increasing the wall temperature results in an increase in the difference between temperatures of the solid surface and the liquid, thereby significantly increasing the wall heat flux density. The lower thermal resistance at the three-phase contact line results in a higher heat flux density at the edge than in the center; the difference among the heat flux distributions on different wetted walls decreases due to the increase of initial velocity, showing a significant velocity effect. In the film boiling region, the heat transfer process is mainly concentrated in the initial stage of impact, and the gas film is the main heat transfer resistance. Based on conservation of mass and energy, a numerical model of film thickness is developed in this paper. The model predictions are in good agreement with the simulation results of this paper and others.
2019, 68 (24): 244701.
doi:10.7498/aps.68.20190974
Abstract +
Magnesium particles have broad application prospects as fuel or additive for detonation combustion power systems due to their high energy density, ignition characteristics and combustion efficiency. In this paper, a one-dimensional steady-state model is established for the magnesium particle-air mixture. The distribution of the flow field and the influences of factors such as phase transition process, inlet velocity, particle radius and initial particle density on the structure of detonation wave are analyzed numerically under different working conditions. The studies have shown that the process accelerating to the sound speed due to the expansion of the gas phase mainly occurs in the pure evaporation reaction stage of the magnesium particles. The duration of magnesium and magnesium oxide melting accounts for a small proportion of the entire combustion process. Under the initial conditions of normal temperature and pressure, the theoretical maximum temperature in the detonation wave during self-sustaining propagation is lower than the dissociation temperature of the magnesium oxide. The heat absorbed in the magnesium melting process is released into the gas phase for expansion work as the reaction progresses, leading to a small effect of magnesium melting on the structure of the detonation wave. The amount of exothermic heat absorbed in the magnesium oxide melting process is so large that the process of expansion of the gaseous working fluid is almost stopped. Moreover, the absorbed heat cannot be used for gas phase expansion work. Therefore, the melting process of magnesium oxide has a great influence on the structure of the detonation wave. The detonation wave of the magnesium particle-air mixture can be stabilized and self-sustained only at the eigenvalue velocity. Below this value, a singular point appears in the flow field. Above this value, the wave cannot be accelerated to the speed of sound, and the downstream flow field disturbance can pass through the reaction combustion zone and weaken the intensity of the detonation wave. When the end of the detonation wave is in the melting process, the detonation wave can still stabilize the self-sustaining propagation when a certain inflow velocity and a magnesium particle density are satisfied. Otherwise, the detonation wave can propagate only at an average speed with oscillation. The initial particle concentration corresponding to the peak of the eigenvalue velocity is smaller than the stoichiometric one corresponding to the peaks of the density, pressure and temperature, indicating that the eigenvalue velocity is not dependent solely on the heat release of the reaction because the interaction between the two phases also affects the conversion efficiency of thermal energy into gas phase kinetic energy. Under the premise of uniform distribution of internal temperature of magnesium particles, the particle size mainly affects the size of the detonation wave, but has little effect on the characteristic value of the eigenvalue velocity and the Chapman-Jouguet parameters. The model in this paper comprehensively reflects the influence of the phase transition process in the combustion process on the structure of the detonation wave and the self-sustaining propagation mechanism. It has a certain guiding significance for designing the detonation power device using powder fuel.
CONDENSED MATTER: STRUCTURAL, MECHANICAL, AND THERMAL PROPERTIES
2019, 68 (24): 246101.
doi:10.7498/aps.68.20191312
Abstract +
In the present work, the nanocrystalline CeB6and SmB6powder are successfully prepared by evaporative condensation method. The phase composition, grain morphology, microstructure and optical absorption properties for each of the prepared powders are studied systematically. The results show that the main phase of nanocrystalline CeB6powder and SmB6powder are both composed of CaB6-type cubic structure with space group ofPm-3m. The scanning electron microscope results show that the synthesized CeB6and SmB6nanoparticles display an spherical morphology with an average grain size of 50 nm. The high resolution transmission electron microscopy observation results show that there exist many intrinsic crystal defects in nanocrystalline SmB6, such as lattice distortions or edge dislocations, due to the high volatility characteristic of Sm atom in the condensation (crystallization) process. The optical absorption results show that the absorption valley of nanocrystalline CeB6and SmB6are respectively located at 599 nm and 632 nm, indicating the high transparency characteristic of visible light. To further qualitatively explain the difference in optical absorption mechanism between CeB6and SmB6, the first principle calculations are employed to calculate their band structures, densities of states, optical absorption energy, and plasma resonance frequency energy. The calculation results show that there is an electron band crossing the Fermi energy for both CeB6and SmB6, indicating their typical conductor behaviors. The upmost valence band of CeB6and SmB6are composed of B-2p and B-2s states, and their bottommost conduction bands are mainly composed of Ce-4f, Ce-5d, Sm-4f, Sm-5d, B-2p and B-2s states. In addition, the volume plasma of carrier electrons can be described in the electron energy-loss function. The peak position in the low energy region of the loss function corresponds to the relevant plasma frequency. As a result, the calculated low energy loss function of CeB6and SmB6are 1.96 eV and 1.5 eV, respectively. Moreover, the calculated absorption valley of CeB6and SmB6respectively appear at 639 nm and 800 nm, which are in good accordance with the experimental results. Therefore, as an efficient optical absorption materials, the nanocrystalline CeB6and SmB6should open the way to extending the optical applications of rare-earth hexaborides.
2019, 68 (24): 246102.
doi:10.7498/aps.68.20190920
Abstract +
In this work, we investigate the triaxial deformation of single crystal iron at a strain rate of 5 × 10–9s–1by using molecular dynamics simulation through the embedded atomic method, and thus study the temperature effect on the void nucleation and growth, and we also discuss the applicability of nucleation and growth (NAG) model in single crystal iron. The molecular dynamics model size is 28.55 nm × 28.55 nm × 28.55 nm and contains 2 × 106atoms. The results show that the maximum tensile stress of single crystal iron decreases with temperature increasing. The maximum tensile stress reduces 35.9% when temperature rises from 100 K to 1100 K. We find that at 100−700 K temperatures, there are two peaks in the tensile stress-time profile. To ascertain the origin of the double-peak in the stress-time profile, we compute the void volume fraction evolution. In addition, we conduct the dislocation analysis, radial distribution function analysis and common neighbor analysis. The analysis results show that the relaxation of tensile stress in the first peak of stress-time profile takes place through the structural change and the body-centered cubic crystal structure transforming into face-centered cubic crystal structure, hexagonal close packed crystal structure and other structures. We find that there are no voids’ nucleation in the first peak of stress-time profile. The second-peak of stress-time profile proceeds through the nucleation and growth of voids. And the rapid increase of the void volume fraction corresponds to the rapid decline of the tensile stress. The void volume evolution can be divided into three stages. With the increase of temperature, the double peak characteristic of the tensile stress-time profile disappears at 900−1100 K. While at 900−1100 K the nucleation and growth of voids are the only way to release the built-up stress. It is shown that the nucleation and growth of voids are more preferred at high temperature than at low temperature. The nucleation and growth of voids in single iron under high strain rate follow the NAG model. We calculate the best-fit NAG parameters at 100−1100 K, and analyze the sensitivity of NAG parameters to temperature. It is shown that the nucleation and growth threshold of the single crystal iron are much higher than those of mild steel. The results can be useful for developing the fracture models of iron at high strain rate to describe the dynamic damage on a continuum length scale.
EDITOR'S SUGGESTION
2019, 68 (24): 246301.
doi:10.7498/aps.68.20191258
Abstract +
The geometric structure, electronic structure, magnetic properties and absorption spectrum of graphene-like ZnO (g-ZnO) monolayer supercell with defects are systemically studied by the first-principles calculation based on density functional theory in this work. The defect supercell model includes zinc atom vacancy (VZn_g-ZnO), oxygen atom vacancy (VO_g-ZnO), nitrogen atom substituted for oxygen atom (NO_g-ZnO) and nitrogen adsorbed on the g-ZnO monolayer (N@g-ZnO). The results indicate that the geometric deformation induced by N-doping in NO_g-ZnO and N@g-ZnO structure is negligible, while that of supercell with vacancy is relatively large. The O atoms neighboring a Zn vacancy center in VZn_g-ZnO model move away from each other as a result of symmetry breaking. As a contrast, three N atoms around VOcenter move into VZn_g-ZnO supercell. The pristine g-ZnO is non-magnetic. But the magnetic moment of VZn_g-ZnO is 2.00 μBin total as a result of symmetry breaking. The partial magnetic moment mainly results from the p-orbitals of the three neighboring O atoms. VO_g-ZnO has no magnetic moment, but possesses the electronic structure with identical spin-up and spin-down. The total magnetic moment of the N-doped NO_g-ZnO is 1.00 μB, and the total magnetic moment of N@g-ZnO is 3.00 μB. Their local magnetic moments are mainly contributed by the p-orbitals of N atom. The density of states and the spin density are given to analyze the magnetic properties. Based on the supercell local symmetry and molecular orbital theory, the origin of magnetic moment is well explained. The magnetic VZn_g-ZnO, NO_g-ZnO and N@g-ZnO supercell are found to have aD3h,D3handC3vlocal symmetry, respectively, which well explains that their total magnetic moments are 2.00 μB, 1.00 μBand 3.00 μB, respectively. The optical absorption characteristics are also discussed. An enhancement of light absorption can be observed for the defective supercells, due to the introduction of defect states into the band gap. The optical transition between gap state and valance band leads to the below band gap absorption. These results are of insightful guidance for understanding properties of graphene-like ZnO monolayer as well as g-ZnO with vacancy and N dopant, and can be theoretically adopted for investigating the nano-electronic devices and catalytic applications based on g-ZnO monolayer.
2019, 68 (24): 246302.
doi:10.7498/aps.68.20190607
Abstract +
Nanomechanical oscillators have not only the advantages of extremely small mass and volume, but also high vibration frequency and quality factor, so they are widely used in the field of sensors. In recent years, nanomechanical oscillators comprised of graphene nanoribbons, carbon nanotubes, molybdenum disulfide and other materials have been used to make mass sensors. Great progress has been made in the application of mass sensing, but the measurement environment is limited to ultra-low temperature. Presented in this paper is a hybrid quantum dot-nanomechanical resonator (QD-NR) system which is based on semiconductor chips with quantum dots embedded at the bottom of inverted semiconductor conical nanowires. The system has the advantages of high integration level, full optical interface and low temperature compatibility. In addition, it has a coupling strength, a frequency as large as the vibration frequency of the mechanical oscillator, and a long spin life, which provides the possibility of realizing the quantum unassembled readout of a single spin at room temperature. We investigate the coherent optical properties with the optical pump-probe scheme, and an all-optical mean for determining the resonator frequency and the coupling strength of the QD and NR is presented with the absorption spectrum under different parameter regimes. We set the frequency of the pump light to be equal to the exciton frequency and scan the frequency range of the detection light, and then two sharp peaks will appear in the absorption spectrum of the probe light, and the sharp peak is for the frequency of the mechanical oscillator. Moreover, the coupling strength can be obtained from the linear relationship between the peak splitting width and the coupling strength in the absorption spectrum. Further, we put forward a room temperature mass sensing based on the hybrid QD-NR system, and the frequency shift caused by additional nanoparticles can be directly measured with the absorption spectrum, and then the mass of extra nanoparticles can be determined. Comparing with the previous nanomechanical oscillator, the exciton-phonon coupling strength is very strong in the system and can reach the ultra-strong coupling, which is advantageous for observing the coherent optical properties and reaching high precision and resolution mass sensing. In this system, the mass responsivity can reach. The scheme is expected to be applied to mass measurement of some biomolecules, isotopes and other materials, and also be widely used in other fields at a nanogram level.
EDITOR'S SUGGESTION
2019, 68 (24): 246801.
doi:10.7498/aps.68.20191238
Abstract +
Lead halide perovskite has attracted much attention due to its high absorption coefficient, long carrier diffusion length, low binding energy, and low cost. The stability of intrinsic crystal structure in I-based perovskite can be theoretically estimated by calculating cubic structures factor and octahedral factor. Experimental methods to solve the stability of structure in I-based perovskite could be mainly to either incorporate anions (e.g. Cl–, Br–) or mix cations (e.g. Cs+) into I-based perovskite matrix. Moreover, incorporating Br–into I-based perovskite leads its band gap to widen, which might be used as a top-cell material to tandem solar cell. However, in order to understand photo-physics process of anion-mixed and/or cation-mixed perovskites, it is essential to further investigate the optical properties such as absorption spectrum, photoluminescence (PL), temperature-dependent PL (TPL) behavior, etc. In this work, anion-mixed and/or cation-mixed perovskite thin films with high quality crystallization and (110) prereferral orientation are synthesized by one-step solution method. All mixed perovskite films are characterized by using X-ray diffraction (Rigaku D MAX-3C, Cu-Kα,λ= 1.54050 Å) and X-ray photoelectron spectroscopy (XPS) (Thermo Scientific Escalab 250Xi). A set of strong peaks of the mixed perovskite films at 14.12° and 28.48°, is assigned to (110) and (220) lattice plane of orthorhombic crystal structure of I-based perovskite, due to preferred orientation. The Pb 4f and I 3d doublet peaks, corresponding to Pb+2and I–states, are observed in XPS spectra. It should be noted that in the absence of other valence states of Pb and I component at lower/upper binding energy, the chemical element composition ratio of Pb+2and I–are close to stoichiometric proportion. For optical absorptionspectra, the optical bandgaps of the perovskite films increase with doping concentration of Br–increasing. For TPL, the perovskite films withx= 0 andx= 0.05 show abnormal red-shifts in a temperature range from 10 to 100 K. The following blue shifts in a temperature range from 125 to 350 K emerge, which is mainly attributed to band gap widening. However, incorporating more Br–into I-based perovskite leads the TPL spectra to monotonically blue-shift. A linear relationship between the TPL peak position and the doping concentration of Br–ions is observed at the same temperatures. This indicates that the Br–anion in I-based perovskite plays a crucial role in determining the optical properties. The low-temperature and high-temperature (HT) excitonic binding energy atx= 0 are 186 meV and 37.5 meV, respectively. The HT excitonic binding energy first increases and then decreases with the Br–concentration in I-based perovskite film increasing. The minimal variation of TPL peak position and FWHM (full width at half maximum) atx= 0.0333 are 13 nm and (25.8 ± 0.5) meV, respectively, suggesting higher temperature stability in optical property. This should contribute to understanding the relationship between temperature-dependent electrical and optoelectronic performance for hybrid mixed perovskite materials and devices.
CONDENSED MATTER: ELECTRONIC STRUCTURE, ELECTRICAL, MAGNETIC, AND OPTICAL PROPERTIES
2019, 68 (24): 247201.
doi:10.7498/aps.68.20191221
Abstract +
EDITOR'S SUGGESTION
2019, 68 (24): 247202.
doi:10.7498/aps.68.20191276
Abstract +
Thermoelectric materials, which can convert heat energy into electric energy and also from electric energy into heat energy, have aroused widespread interest of both theoretical and technological researches recently. Graphene is a typical two-dimensional carbon nanomaterial and regarded as a competitive candidate for the next-generation micro/nano-devices. Unfortunately, graphene is an inefficient thermoelectric material due to the extremely high thermal conductivity. To overcome this drawback, exploring an effective way to improve the thermoelectric performance is of critical importance. In this paper, using the nonequilibrium Green’s function approach, we systematically investigate the effects of grain boundary on the thermoelectric properties of graphene nanoribbons. The results show that owing to the existence of grain boundary, the phonons and electrons encounter great scatterings when they transmit through the polycrystalline graphene nanoribbons. These scatterings cause the phononic and electronic transmission coefficient to decrease dramatically, and thus leading the thermal conductance (including both electron and phonon parts) of graphene nanoribbons to be evidently suppressed. Meanwhile, such scatterings induce more intense transmission peaks and pits in the electronic transmission spectrum of polycrystalline graphene nanoribbons. Generally, the Seebeck coefficient depends on the derivative of electronic transmission coefficient. The larger the logarithmic derivative of transmission, the higher the Seebeck coefficient can be obtained. Therefore Seebeck coefficient is improved obviously in the polycrystalline graphene nanoribbons. Based on such two positive effects, the thermoelectric performance of polycrystalline graphene nanoribbons is significantly enhanced. At room temperature, the thermoelectric figure of merit of polycrystalline graphene nanoribbons can approach to 0.3, which is about 6 times larger than that of pristine graphene nanoribbon (figure of merit is about 0.05). It is also found that the quantity of grain boundaries and length of system can further improve the thermoelectric properties of the polycrystalline graphene nanoribbons, while the width of system has a limited influence on it. This is because the quantity of grain boundaries and length of polycrystalline graphene nanoribbons can give rise to more intense phonon and electron scatterings and further decreasing of thermal conductance and enhancement of Seebeck coefficient. The results presented in this paper demonstrate that polycrystalline structure is indeed an effective way to improve the thermoelectric conversion efficiency of graphene nanoribbons, and provide a theoretical guideline for designing and preparing thermoelectric devices based on graphene nanoribbons.
Effect of structure parameters on performance of N-polar GaN/InAlN high electron mobility transistor
2019, 68 (24): 247203.
doi:10.7498/aps.68.20191153
Abstract +
Based on the drift-diffusion transport model, Fermi-Dirac statistics and Shockley-Read-Hall recombination model, the effect of the structure parameters on the performance of N-polar GaN/InAlN high electron mobility transistor is investigated by self-consistently solving the Schrodinger equation, Poisson equation and carrier continuity equation. The results indicate that the saturation current density of the device increases and the threshold voltage shifts negatively with GaN channel thickness increasing from 5 nm to 15 nm and InAlN back barrier thickness increasing from 10 nm to 40 nm. The maximum transconductance decreases with GaN channel thickness increasing or InAlN back barrier thickness decreasing. The change trends of the various performance parameters become slow gradually with the increase of the thickness of the GaN channel layer and InAlN back barrier layer. When the GaN channel thickness is beyond 15 nm or the InAlN back barrier thickness is more than 40 nm, the saturation current, the threshold voltage and the maximum transconductance tend to be stable. The influence of the structure parameter on the device performance can be mainly attributed to the dependence of the built-in electric field, energy band structure and the two-dimensional electron gas (2DEG) on the thickness of the GaN channel layer and InAlN back barrier layer. The main physical mechanism is explained as follows. As the GaN channel thickness increases from 5 nm to 15 nm, the bending of the energy band in the GaN channel layer is mitigated, which means that the total built-in electric field in this layer decreases. However, the potential energy drop across this GaN channel layer increases, resulting in the fact that the quantum well at the GaN/InAlN interface becomes deeper. So the 2DEG density increases with GaN channel thickness increasing. Furthermore, the saturation current density of the device increases and the threshold voltage shifts negatively. Moreover, due to the larger distance between the gate and the 2DEG channel, the capability of the gate control of the high electron mobility transistor decreases. Similarly, the depth of the GaN/InAlN quantum well increases with InAlN back barrier thickness increasing from 10 nm to 40 nm, which results in the increase of the 2DEG concentration. Meanwhile, the electron confinement in the quantum well is enhanced. Therefore the device saturation current and the maximum transconductance increase with InAlN back barrier thickness increasing.
2019, 68 (24): 247302.
doi:10.7498/aps.68.20191304
Abstract +
The stability and electronic structure properties of graphene fumigated by nitric acid are systematically studied by the first-principles method based on ultrasoft pseudopotentials. The model of graphene oxide fumigated by nitric acid is built based on the 2 × 2 supercell model with orthogonal graphene unit cells, which contains 15 carbon and 2 oxygen atoms. The results show that the fumigated graphene containing a carbon atom bonded to an oxygen atom is a stable structure with lower energy, which is consistent with the experimental result. In addition, the mechanical stability analysis shows
${ {C_{66}} > 0,\;{C_{11}} > 0,\;{C_{11}}{C_{22}} > C_{12}^2} $
, which satisfies the mechanical stability condition. By analyzing the reactant and product, it can be concluded that the nitric acid acts as catalyst. Moreover, the process of graphene oxidation catalyzed by nitric acid is endothermic and the reaction needs heating. By analyzing the electronic properties of the structure, the graphene oxide is determined to be an intrinsic semiconductor with a direct band gap of 1.12 eV and work function of 5.28 eV. These results provide theoretical basis for preparing the graphene oxide and its applications in the field of optoelectronic devices.
2019, 68 (24): 247303.
doi:10.7498/aps.68.20190983
Abstract +
In recent years, graphene has received wide attention due to its excellent optoelectronic properties and has been applied to transparent electrodes of light-emitting diodes to replace the scarce and expensive indium antimony oxide (ITO), which is a typical current spreading layer in lateral GaN LED. However, there are some problems in graphene transparent electrode, such as the mismatch between graphene work function and p-GaN work function, and difficult-to-form good Ohmic contact with p-GaN, resulting in poor current expansion and high voltage of devices. In this paper, a thin ITO layer is used as an insertion layer between a three-layer graphene transparent electrode and and p-GaN, thereby improving the Ohmic contact between them. And a three-layer graphene/ITO composite transparent electrode LED is prepared and also compared with the pristine three-layer graphene LED. The thickness of ITO is only 50 nm, which is much thinner than the thickness of ITO in conventional LED. The sheet resistance of the prepared three-layer pristine graphene transparent electrode is 252.6
$ \Omega/\Box $
, and the sheet resistance of the three-layer graphene/ITO composite transparent electrode is reduced to 70.1
$ \Omega/\Box $
. The specific contact resistance between the three-layer pristine graphene transparent electrode and the p-GaN layer is 1.92 × 10–2Ω·cm2, after the ITO being inserted, the specific resistance is reduced to 1.01 × 10–4Ω·cm2. Based on the three-layer graphene transparent electrode LED, the forward voltage is 4.84 V at an injection current of 20 mA, while the forward voltage of the three-layer graphene/ITO composite transparent electrode LED is reduced to 2.80 V; under small currents, the ideal factor of the three-layer graphene/ITO composite transparent electrode LED is less than that of the three-layer graphene transparent electrode LED. In addition, with the current increasing, the luminous intensity of the three-layer graphene/ITO composite transparent electrode LED increases, so does the radiant flux, which is because the addition of the ITO thin layer reduces the barrier height at the interface between the three layers of graphene and p-GaN, and the sheet resistance of the composite transparent electrode is also reduced, thereby improving the Ohmic contact between graphene and p-GaN. At the same time, the current spread is more uniform. The composite transparent electrode uses the much less ITO and obtains better optoelectronic performance, and thus providing a feasible solution for the LED transparent electrode.
2019, 68 (24): 247801.
doi:10.7498/aps.68.20191223
Abstract +
A novel approach to using tunable diode laser absorption spectrum (TDLAS) is developed for nonuniform velocity distribution measurement by Doppler effect. An analysis of the energy in direct absorption spectrum at low frequencies is made by Fourier transform, because the TDLAS method offers the advantages in using Beer law to deal with coupling relations between velocity distribution and corresponding length of velocity region. By comparing with traditional TDLAS-Doppler velocity measurement, advantages of this approach to the more exact solution of core flow velocity by signal process without using extra lasers and detectors are explored. Following the published theory, between velocity regions at multiple projections the absorbance about average in frequency offsets and the absorbance about difference in frequency offsets are incorporated into an improved fitting model. A solution to obtaining changes of absorbance energy at low frequencies by Fourier transform is used to demonstrate the ability to recover minor change in absorbance under different conditions, inferring a better method to realize the simultaneous measurement of velocity distribution. The influences of these parameters, such as projection angles and noise during absorption, are investigated by the multiple projection simulations at rovibrational transitions of H2O near 7185.6 cm–1from three projections. This approach is validated in a two-stage velocity distribution model, demonstrating the ability to exactly measure core flow, with a precision of 0.9% RMS (root mean square). The high velocity in the core flow is less influenced by the random noise in absorption due to nearly linear relationship between the difference in frequency offsets and the ratio of length of velocity region. Some satisfied results can be obtained when larger angles of projection are arranged. The combination of 0°, 30°, and 60° will be a reasonable optic design considering the limitation of spatial resolution. In conclusion, the novel approach to velocity distribution measurement based on TDLAS-Doppler from multiple projections has great potential applications in engine diagnosis and gas dynamic research.
2019, 68 (24): 247802.
doi:10.7498/aps.68.20191216
Abstract +
With the increasing scarcity of spectrum resources, terahertz wave technologies have attracted more and more attention in recent decades, and have made tremendous progress. Terahertz wave referring to electromagnetic waves with a frequency in a range of 0.1-10 THz has a wide range of applications in wireless communication, nondestructive imaging and remote sensing. Due to the advantages of high absorption, ultra-thin thickness, frequency selectivity and design flexibility, metamaterial absorbers have attracted more attention in terahertz band. In this paper, two terahertz metamaterial absorbers with different performances are designed which are named “T” terahertz multi-band absorber and “T” terahertz tunable broadband absorber, respectively. The absorbers are both comprised of three layers: metal substrate, matched dielectric layer and surface metamaterial layer. The main structures of these two absorbers are composed of four T-shape Au plates on the top of polyimide dielectric layer and an Au sheet acting as a bottom layer. The only difference between these two absorbers is that the terahertz broadband tunable absorber possesses a square photosensitive silicon in the metamaterial layer. The simulations results show that the terahertz multi-band absorber has six absorption peaks at 2.918, 3.7925, 4.986, 6.966, 7.2685, and 7.4665 THz, with the absorptivity peaks of 95.631%, 99.508%, 96.34%, 94.835%, 96.485%, 94.732%, respectively, and the average absorption rate is 96.26%. Terahertz tunable broadband absorber has the characteristics of broadband absorption. When the conductivity of silicon is 1600 S/m, the absorber reaches its absorption peak at 0.786 THz with the absorptivity of 99.998%, and the frequency bandwidth with the absorption rate exceeding 90% reaches 240 GHz. The more interesting thing is that by changing the conductivity of silicon, the terahertz tunable broadband absorber shows the ability to dynamically control the existence of absorption band and adjust the frequency position of absorption peak. For terahertz tunable broadband absorber, the frequency of absorption peak can be regulated in a bandwidth of about 30 GHz. The terahertz wave absorbers designed in this paper possess rather simple structures, therefore the proposed absorbers are easy to fabricate. Because of these excellent properties, the absorbers may have potential applications in optical switch, optical detection, optical imaging, band-stop devices, and other fields.
2019, 68 (24): 247803.
doi:10.7498/aps.68.20190960
Abstract +
Selecting the double-parameter asymmetric Gaussian (AG) potential to describe the confinement effect of electrons in a quantum dot, the ground state and the first excited state energy eigenvalues and eigenfunctions of the three-body interaction system that are composed of the electrons, the impurity and the longitudinal optical phonon are derived by using the Lee-Low-Pines unitary transformation and the Pekar-type variational method, and the two-level structure required for a qubit is constructed. The influences of material parameters such as the dispersion coefficient, dielectric constant (DC) ratio, and electron-phonon coupling (EPC) constant on the probability density and the oscillation period of electron in the AG potential qubit are investigated. Based on the Fermi gold rule and the even-order approximation, the effects of the DC ratio, the dispersion coefficient and the EPC constant on the qubit decoherence are studied. And then the influences of the dispersion coefficient, the DC ratio and the EPC constant on the phase rotation manipulation of the qubit sphere are discussed. Numerical results show that the dispersion coefficient, the DC ratio and EPC constant of the medium have both advantages and disadvantages for the formation and information storage of qubits. The probability density of electrons in quantum dot qubits decreases with DC ratio increasing and exhibits significant oscillations as the well width of the AG potential decreases; the oscillation period of the qubit decreases with the well depth of the AG potential or the DC ratio increasing; the decoherence time increases with DC ratio or dispersion coefficient increasing; the phase rotation quality factor increases with DC ratio or dispersion coefficient increasing. Using the double-parameter AG potential to describe the confinement of electrons in quantum dot will better reflect the quantization properties of qubit. Increasing the dispersion coefficient or the DC ratio of the material is beneficial to not only the phase rotation manipulation of the qubit sphere, but also improving the coherence of the quantum dot qubit. The results of this paper can be used for reference in the experimental work on the constructing and manipulating of the quantum dot qubits.
INTERDISCIPLINARY PHYSICS AND RELATED AREAS OF SCIENCE AND TECHNOLOGY
2019, 68 (24): 248401.
doi:10.7498/aps.68.20190907
Abstract +
The sheet beam extended interaction klystron is an important kind of millimeter-wave and sub-millimeter-wave vacuum electron device, which has extensive applications such as in high resolution radar, imaging system, satellite communication and precision guided missiles. Compared with conventional pencil beam klystron, the sheet beam extended interaction klystron, in which a thin rectangular sheet beam is used, can generate higher power by obtaining higher current and reducing space-charge-effect of electron beam. Kinematical theory and space charge wave theory are extensively used to analyze the bunching process of electrons. Kinematical theory is precise when electron beam is especially small because the influence of space charge effect is ignored, while space charge wave theory is accurate when the modulation of electron beam is small since it is based on the premise of small amplitude. Electron flow oscillatory theory is a compromise between kinematical theory and space charge wave theory, which adapts to the bigger modulation of electron beam than space charge wave theory, while it is inaccurate in the case of big bunching parameter. Based on electron flow oscillatory theory under the small signal condition, the influence of electron beam on standing wave electric field of 2π mode in a three-gap cavity is analyzed, and the expressions of beam loading conductance and beam loading susceptance in a three-gap cavity are obtained. The influences of plasma frequency, transit angle of single gap and transit angle of drift on the interaction of beam and wave in a three-gap cavity are discussed. The results show that space-charge-effect of beam is unbeneficial to the interaction between beam and wave, otherwise beam loading conductance and beam loading susceptance fluctuate with the increasing of transit angle of single gap and transit angle of drift. A W-band sheet beam extended interaction klystron is designed by theoretical analysis and 3D PIC software. The output power of 5773 W at 94.47 GHz is obtained with an efficiency of 8.46%, a gain of 37.6 dB and a 3 dB bandwith of about 140 MHz, when beam voltage is 19.5 kV, current is 3.5 A and focus magnetic field is 0.85 T. This research is important for the engineering of the W-band sheet beam extended interaction klystron amplifier.
2019, 68 (24): 248501.
doi:10.7498/aps.68.20191311
Abstract +
Due to the excellent properties of GaN, such as wide band gap, high electron mobility, high saturation speed, and high breakdown electric field, AlGaN/GaN high electron mobility transistor (HEMT) possesses highly promising applications in the fields of high power, radio frequency, and high temperature applications. However, they are still subjected to the influence of current collapse which strangles its development. Based on the double-pulse technique, the effect of GaN buffer layer trap on the current collapse of AlGaN/GaN HEMT is studied. The results show that the electric field peak at the gate edge is one of the main causes of current collapse. The channel electrons are trapped by the buffer trap under the peak electric field. Because the response speed of the trap in the buffer layer is slow, the channel can not be turned on immediately after the gate voltage has jumped to 0 V, which leads the current to collapse. In this paper, the new structure is proposed by introducing a groove structure in the barrier layer. The channel two-dimensional electron gas is modulated by the groove structure, which influences the channel electric field of AlGaN/GaN HEMT device, reduces the electric field peak at the gate edge, and improves the current collapse effect of the device. Comparing with the traditional AlGaN/GaN HEMT, the inhibition effect of the new device structure on current collapse is increased by 22.30%. The length and height of the groove structure are the critical parameters to affect the new HEMT performance. The optimal parameters of length and hight show that when the length of the groove is 1 μm and the height is 0.01 μm, the current collapse of HEMT and its performance are significantly improved.




