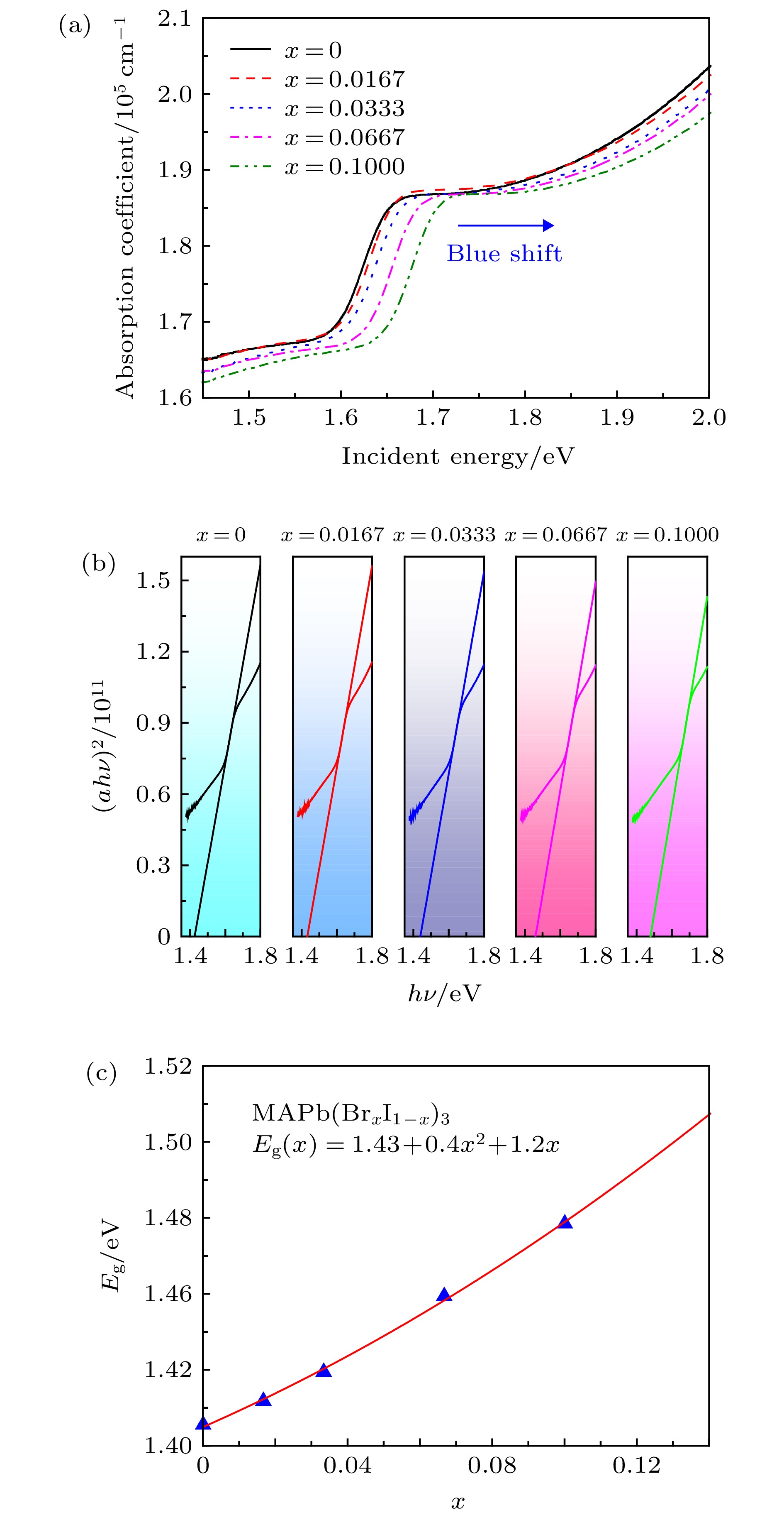
Lead halide perovskite has attracted much attention due to its high absorption coefficient, long carrier diffusion length, low binding energy, and low cost. The stability of intrinsic crystal structure in I-based perovskite can be theoretically estimated by calculating cubic structures factor and octahedral factor. Experimental methods to solve the stability of structure in I-based perovskite could be mainly to either incorporate anions (e.g. Cl
–, Br
–) or mix cations (e.g. Cs
+) into I-based perovskite matrix. Moreover, incorporating Br
–into I-based perovskite leads its band gap to widen, which might be used as a top-cell material to tandem solar cell. However, in order to understand photo-physics process of anion-mixed and/or cation-mixed perovskites, it is essential to further investigate the optical properties such as absorption spectrum, photoluminescence (PL), temperature-dependent PL (TPL) behavior, etc. In this work, anion-mixed and/or cation-mixed perovskite thin films with high quality crystallization and (110) prereferral orientation are synthesized by one-step solution method. All mixed perovskite films are characterized by using X-ray diffraction (Rigaku D MAX-3C, Cu-Kα,
λ= 1.54050 Å) and X-ray photoelectron spectroscopy (XPS) (Thermo Scientific Escalab 250Xi). A set of strong peaks of the mixed perovskite films at 14.12° and 28.48°, is assigned to (110) and (220) lattice plane of orthorhombic crystal structure of I-based perovskite, due to preferred orientation. The Pb 4f and I 3d doublet peaks, corresponding to Pb
+2and I
–states, are observed in XPS spectra. It should be noted that in the absence of other valence states of Pb and I component at lower/upper binding energy, the chemical element composition ratio of Pb
+2and I
–are close to stoichiometric proportion. For optical absorptionspectra, the optical bandgaps of the perovskite films increase with doping concentration of Br
–increasing. For TPL, the perovskite films with
x= 0 and
x= 0.05 show abnormal red-shifts in a temperature range from 10 to 100 K. The following blue shifts in a temperature range from 125 to 350 K emerge, which is mainly attributed to band gap widening. However, incorporating more Br
–into I-based perovskite leads the TPL spectra to monotonically blue-shift. A linear relationship between the TPL peak position and the doping concentration of Br
–ions is observed at the same temperatures. This indicates that the Br
–anion in I-based perovskite plays a crucial role in determining the optical properties. The low-temperature and high-temperature (HT) excitonic binding energy at
x= 0 are 186 meV and 37.5 meV, respectively. The HT excitonic binding energy first increases and then decreases with the Br
–concentration in I-based perovskite film increasing. The minimal variation of TPL peak position and FWHM (full width at half maximum) at
x= 0.0333 are 13 nm and (25.8 ± 0.5) meV, respectively, suggesting higher temperature stability in optical property. This should contribute to understanding the relationship between temperature-dependent electrical and optoelectronic performance for hybrid mixed perovskite materials and devices.