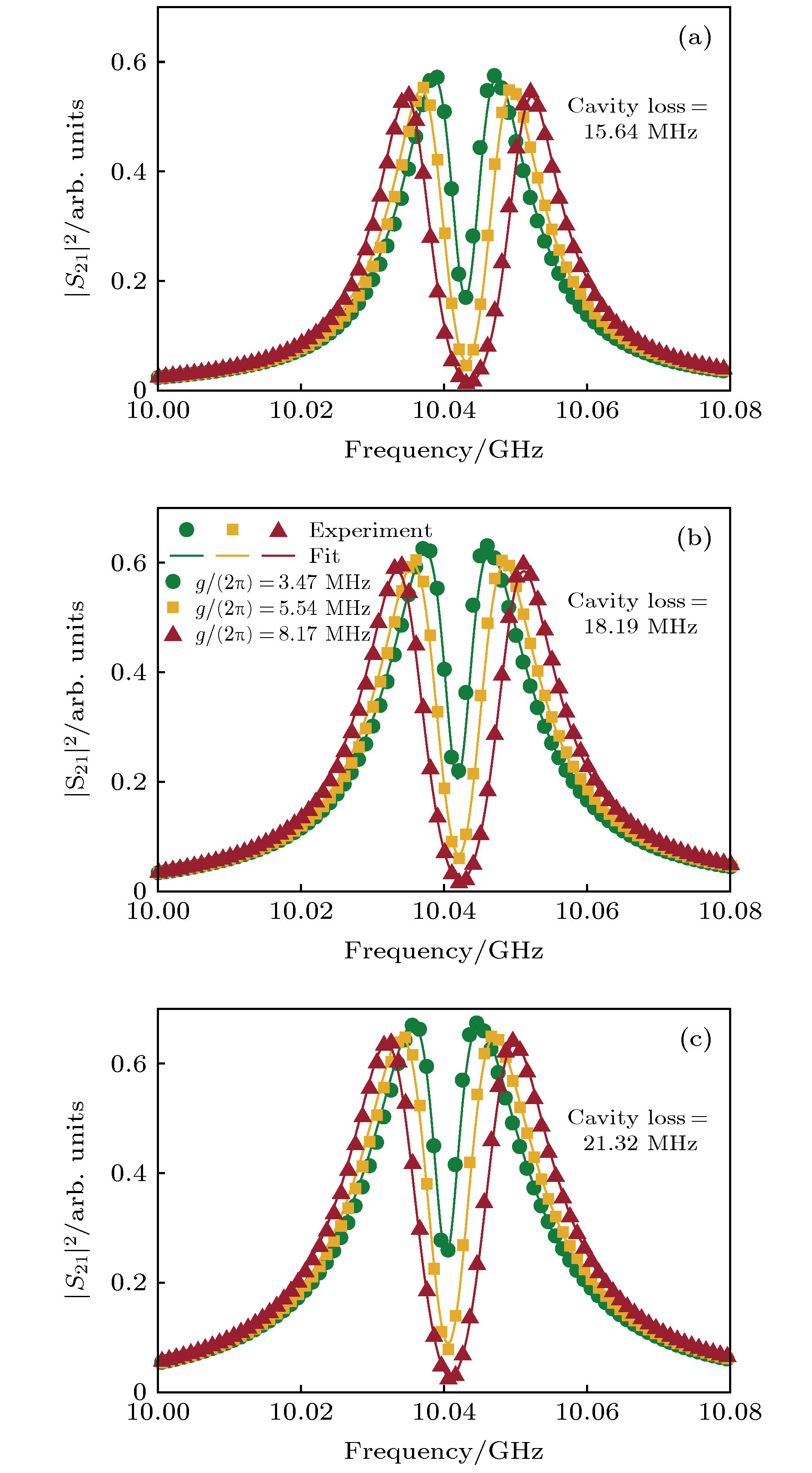
We theoretically and experimentally demonstrate the anisotropic exceptional points (EPs) in the cavity magnonics system where magnons in a one millimeter-diameter yttrium iron garnet (YIG) sphere are coherently coupled with the microwave photons in a three-dimensional microwave cavity. The damping nature makes the cavity magnonics system inherently non-Hermitian. By solving the eigenvalues and eigenvectors of non-Hermitian Hamiltonian, a series of interesting and essential characteristics of the system can be obtained. Therefore, non-Hermitian physics has received more and more attention in both theory and experiment communities. Among them, exceptional points correspond to the non-Hermitian system’s degenerate states where the eigenvalues of the non-Hermitian system are identical, and the eigenvectors are parallel. The coupled cavity photon-magnon system has high tunability of coupling strength and cavity external damping rate, which is very suitable for studying EPs -related physics.
Exceptional points (EPs) are crucial in all kinds of non-Hermitian physical systems, which have both fundamental and applicational importance. For instance, it can be used for sensitive detection by monitoring spectrum splitting of degenerate modes when a perturbation to be sensed occurs. The EPs can be anisotropic, which means that it has a different function relation when the system approaches the EPs along different parameter paths of the system. In this paper, by carefully designing the parameter space, we observe the anisotropic exceptional point in the coupled cavity photon-magnon system. It shows the linear and square-root behavior when the EPs are approached from different directions in the parameter space. One of the parameters is the position of the YIG sphere in the cavity, which determines the coherent coupling strength between the cavity mode and the magnon mode. Another parameter is the number of the gasket between the cavity signal loading port and the cavity external surface, which determines the external damping rate of the cavity mode. Both of these parameters can be easily and accurately adjusted experimentally.
Our study paves the way for exploring anisotropic EPs based sensing technologies and more non-Hermitian related physics in the cavity magnonics system.