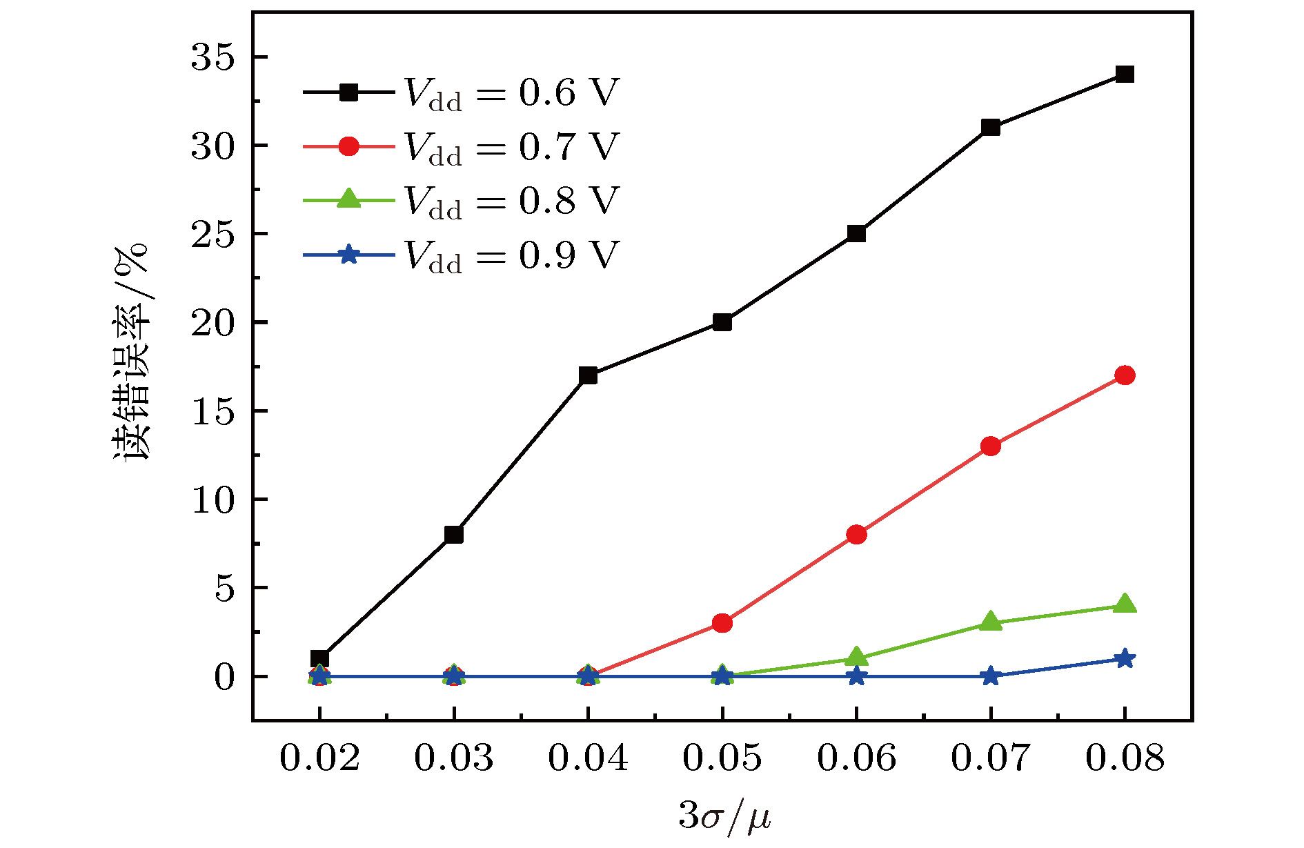
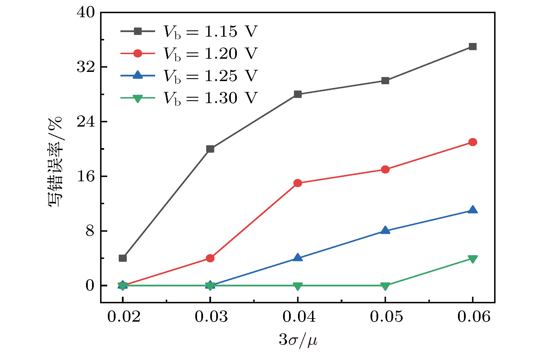
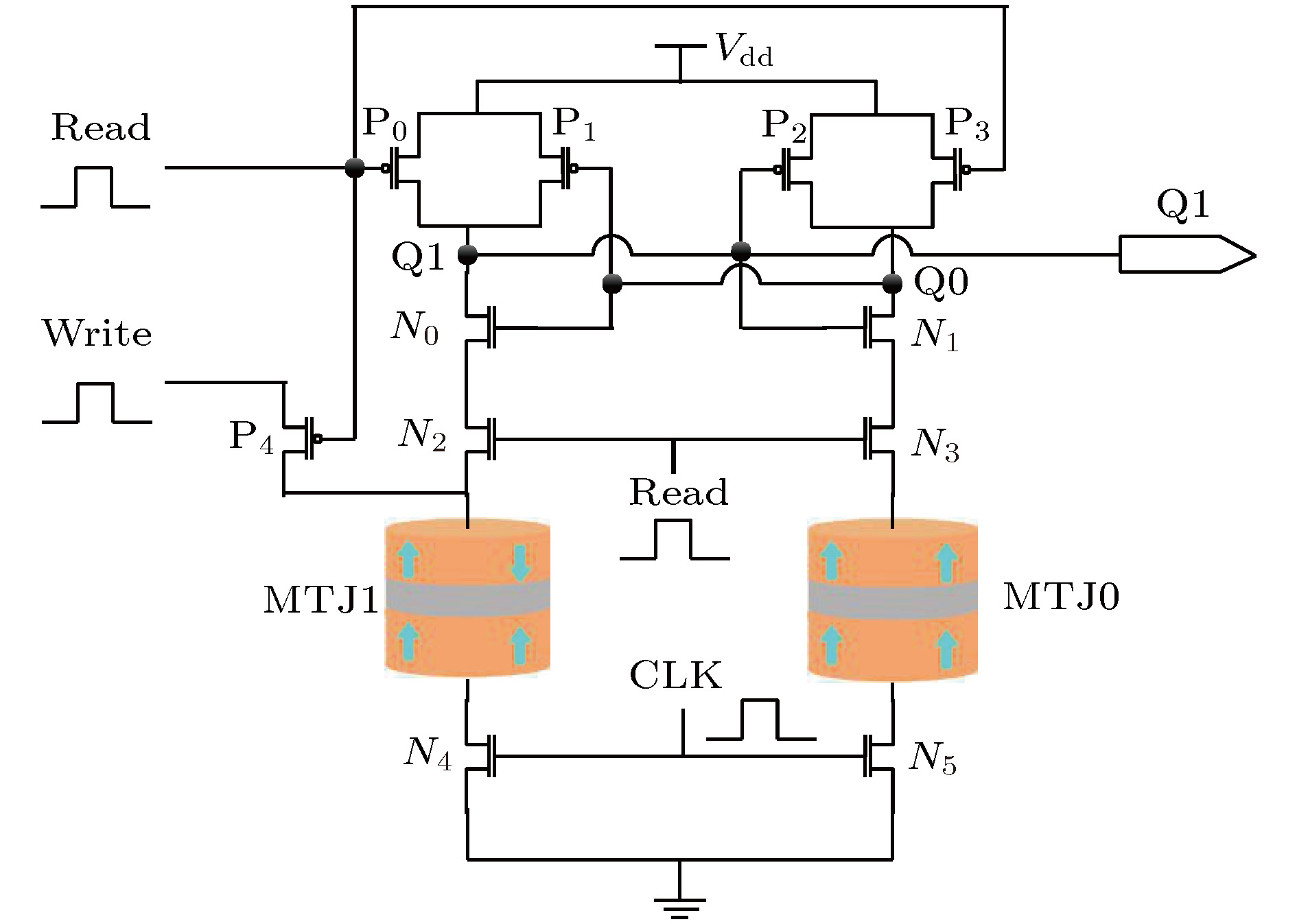
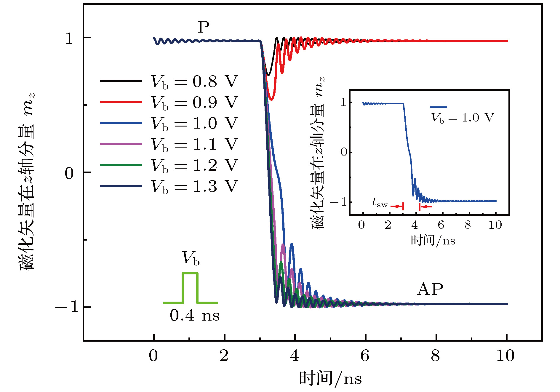
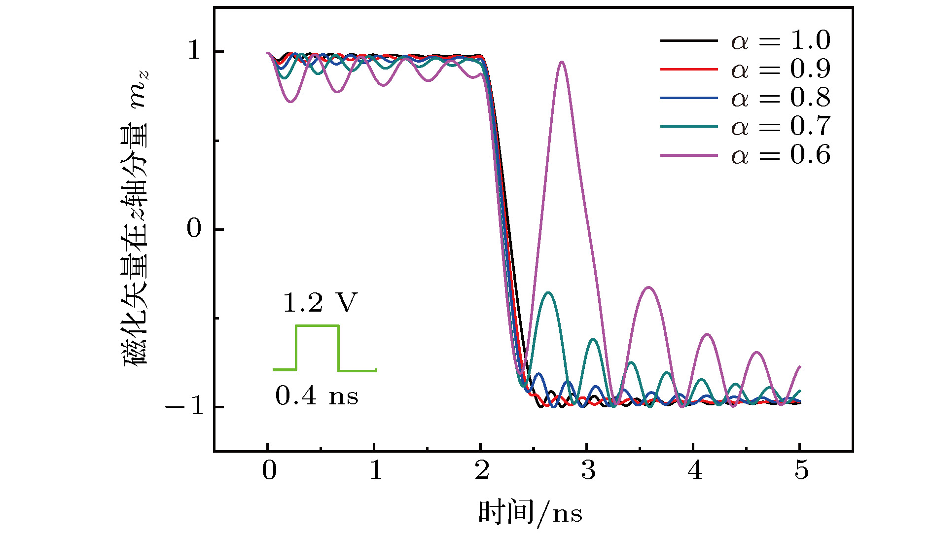
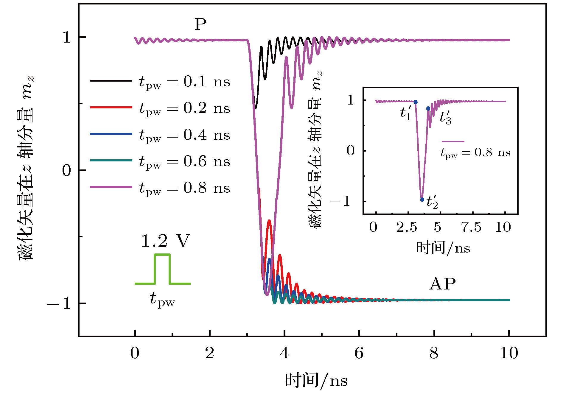
As one of the primary elements in magnetoresistive random access memory (MRAM), voltage controlled magnetic anisotropy magnetic tunnel junction (VCMA-MTJ) has received wide attention due to its fast read and write speed, low power dissipation, and compatibility with standard CMOS technology. However, with the downscaling of VCMA-MTJ and the increasing of storage density of MRAM, the effect of process deviation on the characteristics of MTJ becomes more and more obvious, which even leads to Read/Write (R/W) error in VCMA-MTJ circuits. Taking into account the depth deviation of the free layer (
γ
tf) and the depth deviation of the oxide barrier layer (
γ
tox) in magnetron sputtering technique as well as the etching process stability factor (
α) caused by the sidewall re-deposition layer in the ion beam etching process, the electrical model of VCMA-MTJ with process deviation is presented in the paper. It is shown that the VCMA-MTJ cannot achieve the effective reversal of the magnetization direction when
γ
tf≥ 13% and
γ
tox≥ 11%. The precession of magnetization direction in VCMA-MTJ also becomes instable when
α≤ 0.7. Furthermore, the electrical model of VCMA-MTJ with process deviation is also applied to the R/W circuit to study the effect of process deviation on the R/W error in the circuit. Considering the fact that all of
γ
tf,
γ
tox, and α follow Gauss distribution, The 3
σ/
μis adopted to represent the process deviation, with using Monte Carlo simulation, where
σis the standard deviation, and
μis the average value. It is shown that the write error of the circuit goes up to 30 % with 3
σ/
μof 0.05 and the voltage (
V
b) of 1.15 V. At the same time, the read error of the circuit is 20% with 3
σ/
μof 0.05 and driving voltage (
V
dd) of 0.6 V. Both the read error rate and the write error rate of the VCMA-MTJ circuit increase as process deviation increases. It is found that the write error rate can be effectively reduced by increasing
V
band reducing the voltage pulse width (
t
pw). The increasing of
V
ddis helpful in reducing the read error rate effectively. Our research presents a useful guideline for designing and analyzing the VCMA-MTJ and VCMA-MTJ read/write circuits.