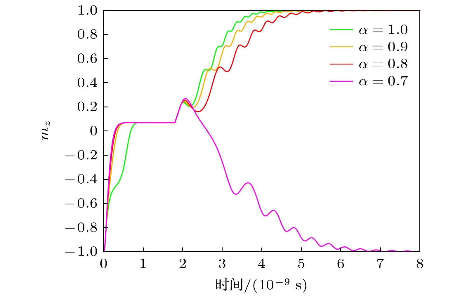
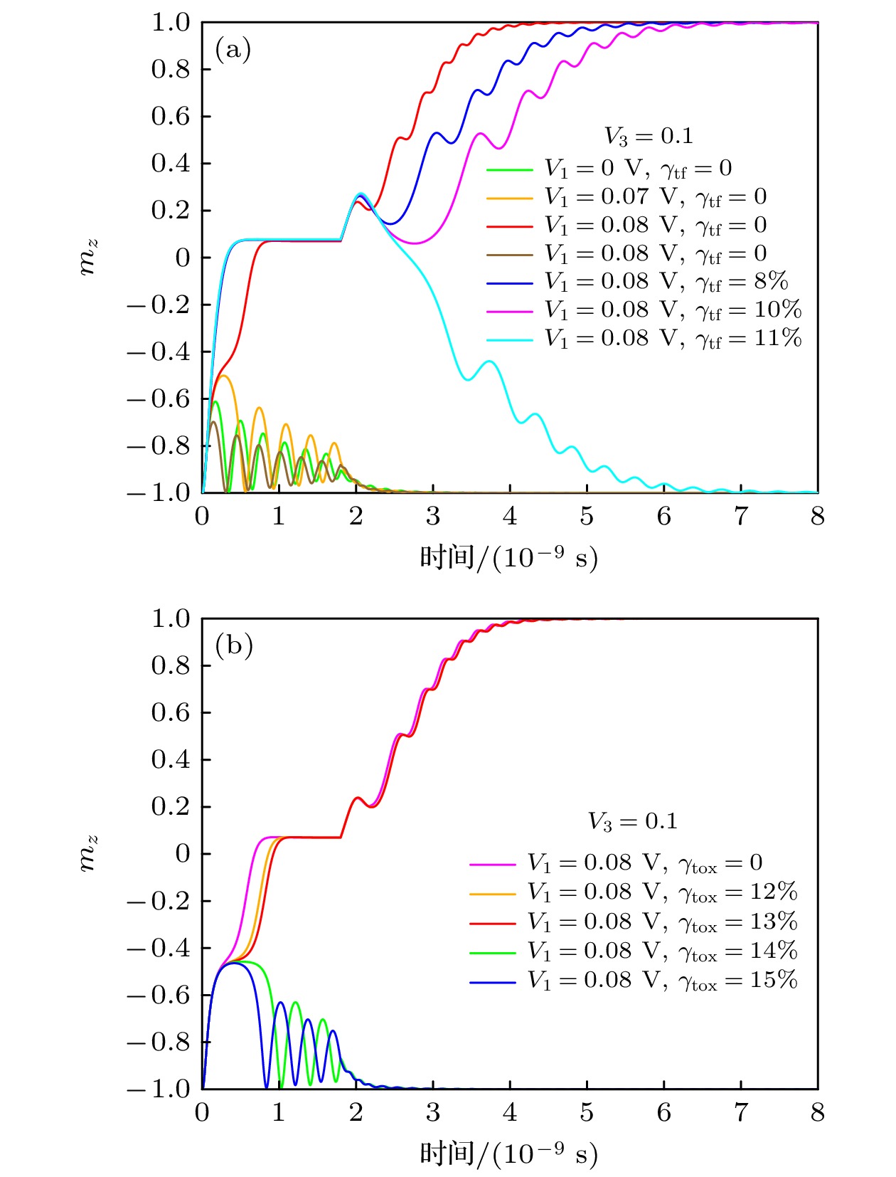
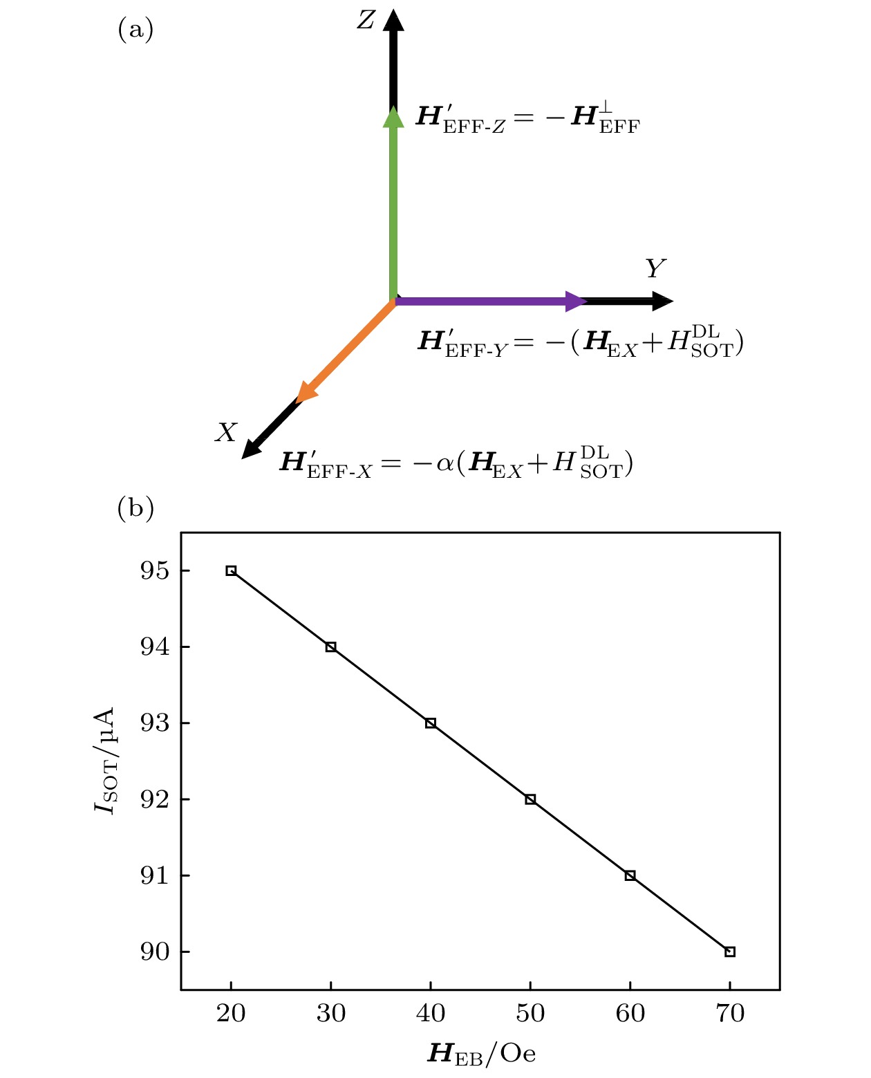
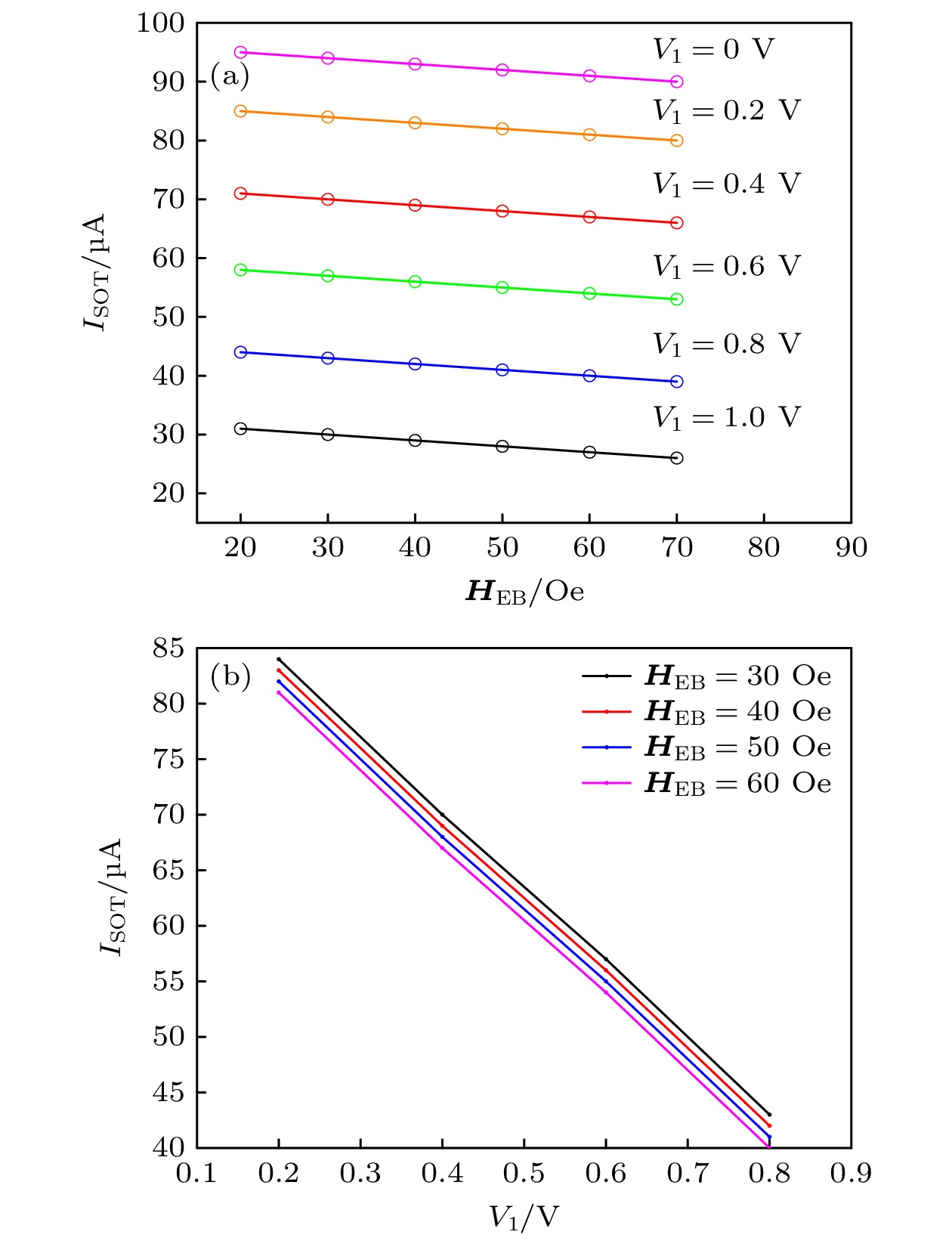
The effect of spin-orbit torque (SOT) provides a new method of implementing ultra-low power spintronic devices. The in-plane exchange bias (EB) field in antiferromagnetic material can effectively assist SOT magnetization switching. Meanwhile, the utilization of voltage-controlled magnetic anisotropy (VCMA) can effectively reduce the switching barrier. Taking advantage of the EB and VCMA effect, it is possible to realize SOT magnetic tunnel junctions without external field assistance. In this work, a spin-orbit torque magnetic tunnel junction model composed of antiferromagnetic/ferromagnetism/oxides without external magnetic field is developed by solving the modified Landau-Lifshitz-Gilbert (LLG) modular equation, and its magnetization dynamics is analyzed and studied. The effective fields in the model include the demagnetization field, thermal noise field, perpendicular magnetic anisotropy field with VCMA effect, and exchange bias field. Taking IrMn/CoFeB/MgO material system for example, the factors affecting the precession of magnetization are investigated, such as the effect of the exchange bias field, the VCMA effect and the mechanism of SOT field-like torque. Considering the practical applications, the effect of the deviation of the fabrication process of magnetic tunnel junctions is also analyzed. The simulation results demonstrate that the combined effect of
$ {{\boldsymbol{H}}_{{\text{EB}}}} $
with VCMA effect can greatly reduce the critical
I
SOT, thus assisting and realizing the complete field-free magnetization reversal; the SOT field-like torque plays a dominant role in realizing the magnetization reversal, and by adjusting the ratio of the SOT field-like torque to the damping-like torque, field free switching can be realized in the device at the ps grade ; and the MTJ can realize effective switching when the deviation of oxide thickness
$ {\gamma _{{\text{tf}}}} \leqslant 10{\text{%}} $
or the deviation of free layer thickness
$ {\gamma _{{\text{tox}}}} \leqslant 13{\text{%}}$
. Spin-orbit torque devices based on the antiferromagnetic without external magnetic field will provide highly promising solutions for a new-generation ultra-low power, ultra-high speed, and ultra-high integration devices and circuits.