Optical microresonators supporting whispering-gallery modes have been intensively studied in past decades due to their practical applications ranging from fundamental science to engineering physics. Among such microresonators, microsphere resonators have been demonstrated to possess ultra-high quality (
Q) factor, however, their shapes usually become non-standard spherical body, leading to irregular resonant spectra. Microring resonators have unique potential in integraibility on chip, but the fabrication imperfection limits their
Q-factor only to 10
6. In addition, the free spectral range (FSR) just depends on their radius. Due to the advantages of high
Q-factor, standard shape, slender mode field distribution, the microbottle resonators are demonstrated to possess excellent performance in cavity quantum dynamics, nonlinear optics, high-sensitivity sensing, and micro-laser.
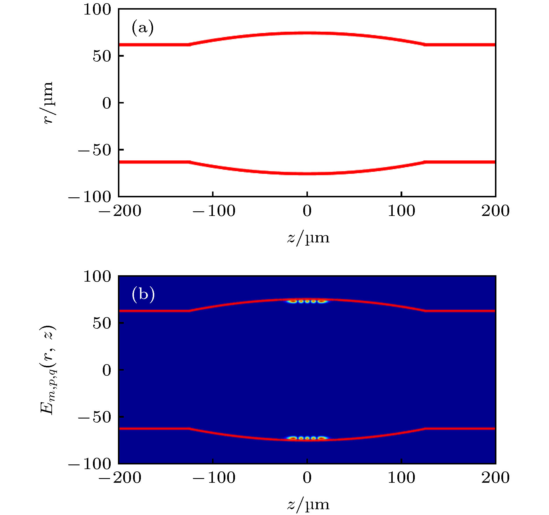
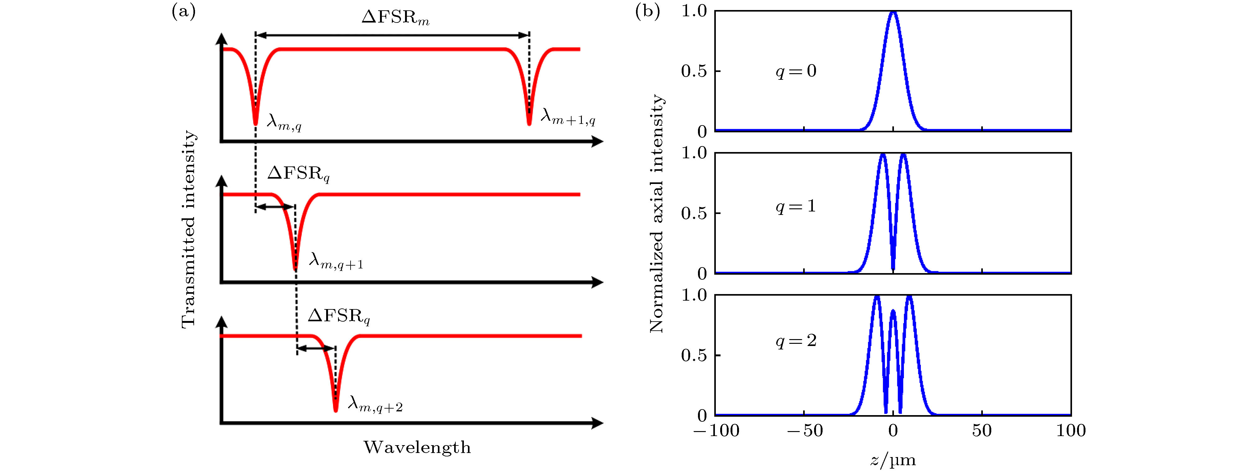
In this paper, we carry out a systematic study on the spectral characteristics of prolate microbottle resonator theoretically and experimentally. First, theoretically, the field distribution theory of the microbottle resonator is studied in detail based on Helmholtz equation. Experimentally, prolate microbottle resonators are fabriated via arc discharge technology. Second, the radial modes and axial modes of the microbottles are efficiently excited with the help of a coupled tapered fiber waveguide. By adjusting the coupling gap between the microbottle and the waveguide, The controlling of three cupling states i.e. undercoupling, critical coupling and overcoupling are realized. In our experiment, the whispering-gallery modes excited are identifiable and recognizable. The resonant mode with an ultra-high
Q-factor of up to 1.78 × 10
8is achieved. The characteristic of ultra-high
Q-factor makes the microbottle hold great potential in biochemical sensing, nonlinear optics, and micro-laser. The tuning stability is enhanced by keeping the waveguide in touch with the microbottle. We investigate the selective excitation of whispering-gallery modes by adjusting different coupling points. As a result, clean spectra with robust coupling are observed. The stable device is suitable for improving the sensing performance. Finally, Fano resonance effect is obtained by choosing the diameter of the tapered fiber waveguide. The results presented in this paper will be of great significance for enhancing the sensing, nonlinear optics and cavity quantum dynamics.