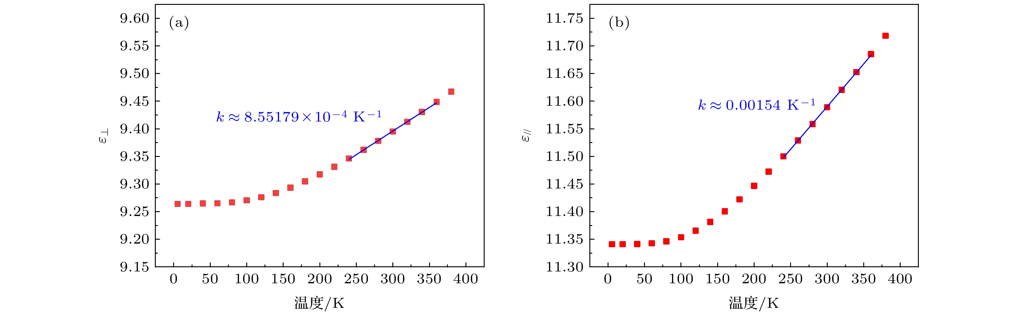
\begin{document}$71.64 \times 10^{-6}$\end{document}. The microwave oscillator consisting of the high Q sapphire resonator can be used to make an oscillator with ultra-low phase noise and high frequency stability."> - 必威体育下载

Search

Article

x

留言板

姓名
邮箱
手机号码
标题
留言内容
验证码

downloadPDF
Citation:

    Fan Si-Chen, Yang Fan, Ruan Jun
    PDF
    HTML
    Get Citation
    Metrics
    • Abstract views:3282
    • PDF Downloads:41
    • Cited By:0
    Publishing process
    • Received Date:10 June 2022
    • Accepted Date:19 July 2022
    • Available Online:26 November 2022
    • Published Online:05 December 2022

      返回文章
      返回