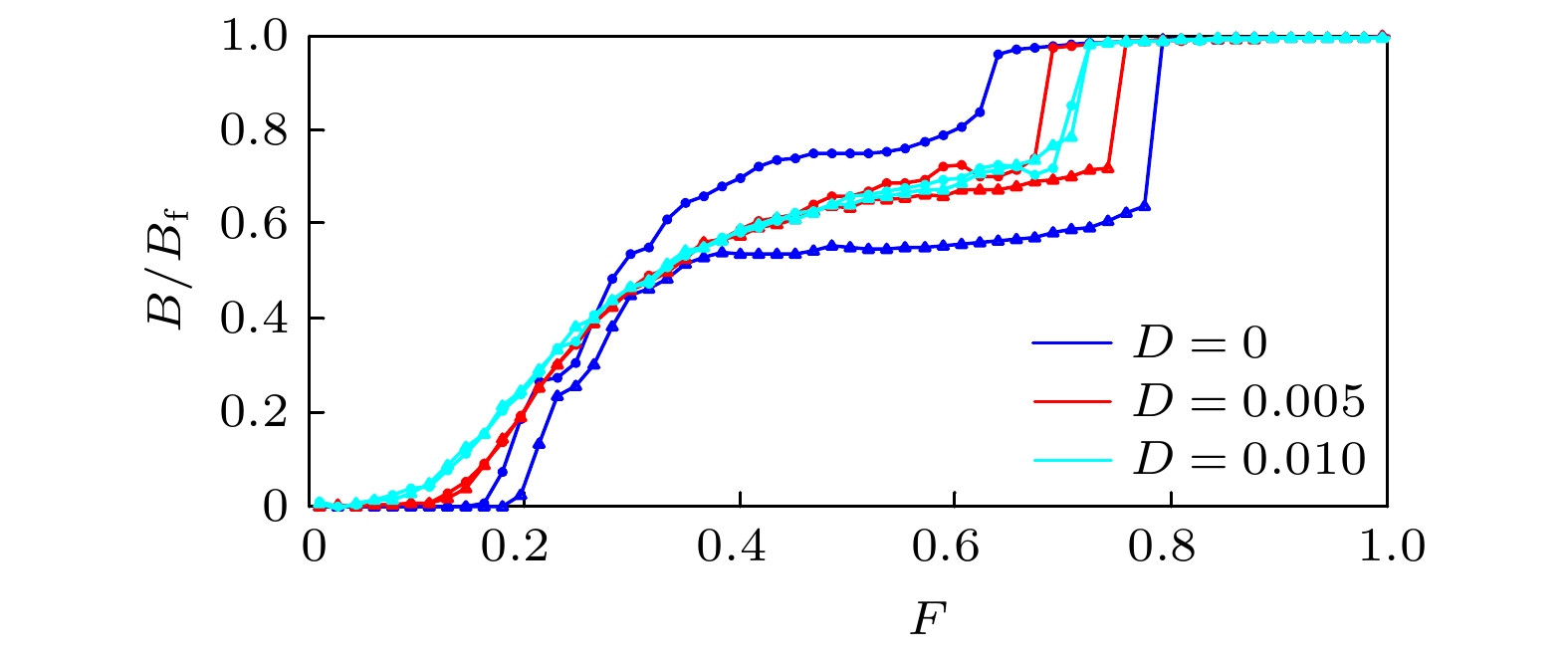
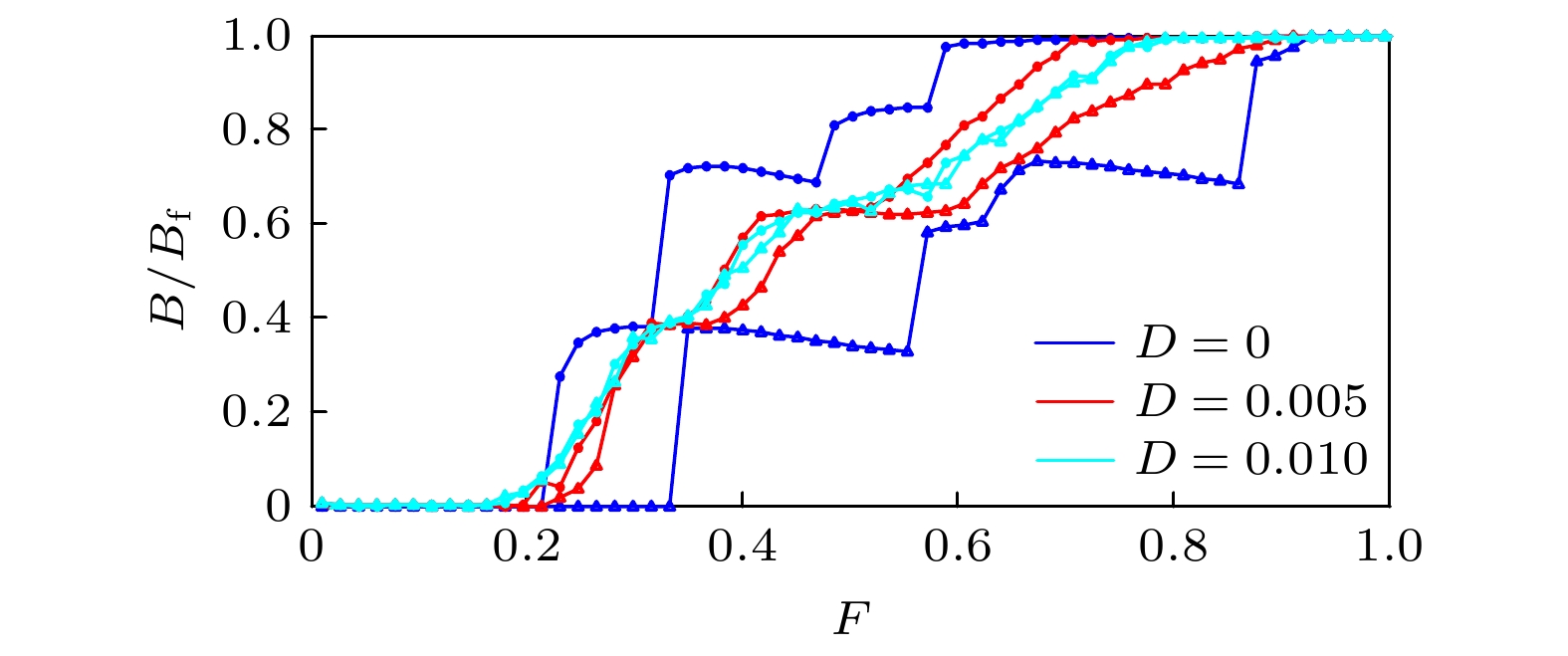
In this paper, the effects of a Gaussian white noise excitation on the one-dimensional Frenkel-Kontorova (FK) model are studied by the stochastic Runge-Kutta method under two different types of substrate cases, i.e. incommensurate case and commensurate case. The noise excitation is considered through the inclusion of a stochastic force via a Langevin molecular dynamics approach, and we uncover the mechanism of nano-friction phenomenon in the FK model driven by the stochastic force. The relationship between the noise intensity and the nano-friction phenomenon, such as hysteresis, maximum static friction force, and the super-lubricity, is investigated by using the stochastic Runge-Kutta algorithm. It is shown that with the increase of noise intensity, the area of the hysteresis becomes smaller and the maximum static friction force tends to decrease, which can promote the generation of super-lubricity. Similar results are obtained from the two cases, in which the ratios of the atomic distance to the period of the substrate potential field are incommensurate and commensurate, respectively. In particular, a suitable noise density gives rise to super-lubricity where the maximum static friction force vanishes. Hence, the noise excitation in this sense is beneficial to the decrease of the hysteresis and the maximum static friction force. Meanwhile, with the appropriate external driving force, the introduction of a noise excitation can accelerate the motion of the system, making the atoms escape from the substrate potential well more easily. But when the chain mobility reaches a saturation state (
B= 1), it is no longer affected by the stochastic excitation. Furthermore, the difference between the two circumstances lies in the fact that for the commensurate interface, the influence of the noise is much stronger and more beneficial to triggering the motion of the FK model than for the incommensurate interface since the atoms in the former case are coupled and entrapped more strongly by the substrate potential.