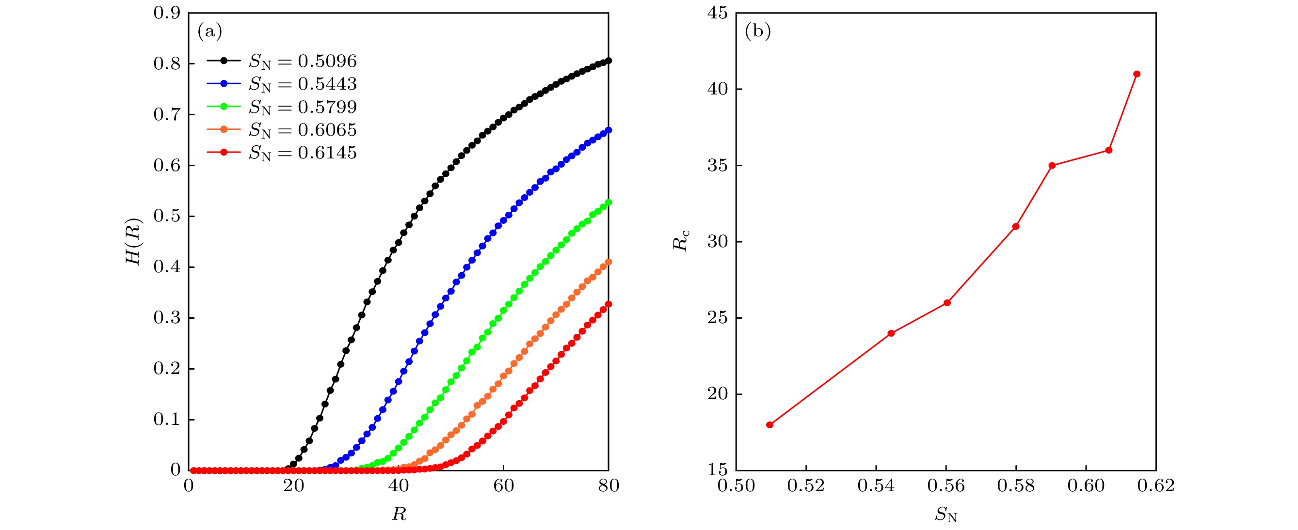
The transmission performance of the network depends to a certain extent on the topology of the network. This article analyzes the traffic dynamics of complex networks from the perspective of structural information, and looks for information structure measurement indicators that affect network traffic capacity. Existing research shows that the communicability sequence entropy of complex networks can effectively quantify the overall structure of the network. Based on this measurement, the difference between networks can be effectively quantified, and the connotation of sequence entropy of communicability can be explained. Communication sequence entropy can effectively quantify the overall structure information of the network. In order to characterize the overall traffic capacity of the network, the communication sequence entropy is introduced into the phenomenon of complex network congestion, the correlation between the network communication sequence entropy and the transmission performance is studied, and the internal mechanism of this correlation is analyzed. Simulations in BA scale-free network model and WS small-world network model show that the communication sequence entropy of the network is closely related to its traffic capacity. As the communication sequence entropy increases, the uniformity of the network topology will increase, and the traffic capacity will increase significantly. The traffic capacity of the network is a monotonically increasing function of the entropy of the communication sequence, and is positively correlated with the entropy of the communication sequence. The communication sequence entropy of the network can effectively evaluate the traffic capacity of the network. This conclusion can provide a theoretical basis for the design of a high traffic capacity network and help provide an effective strategy for the design of the high traffic capacity of the network, which can be optimized by increasing the communication sequence entropy.