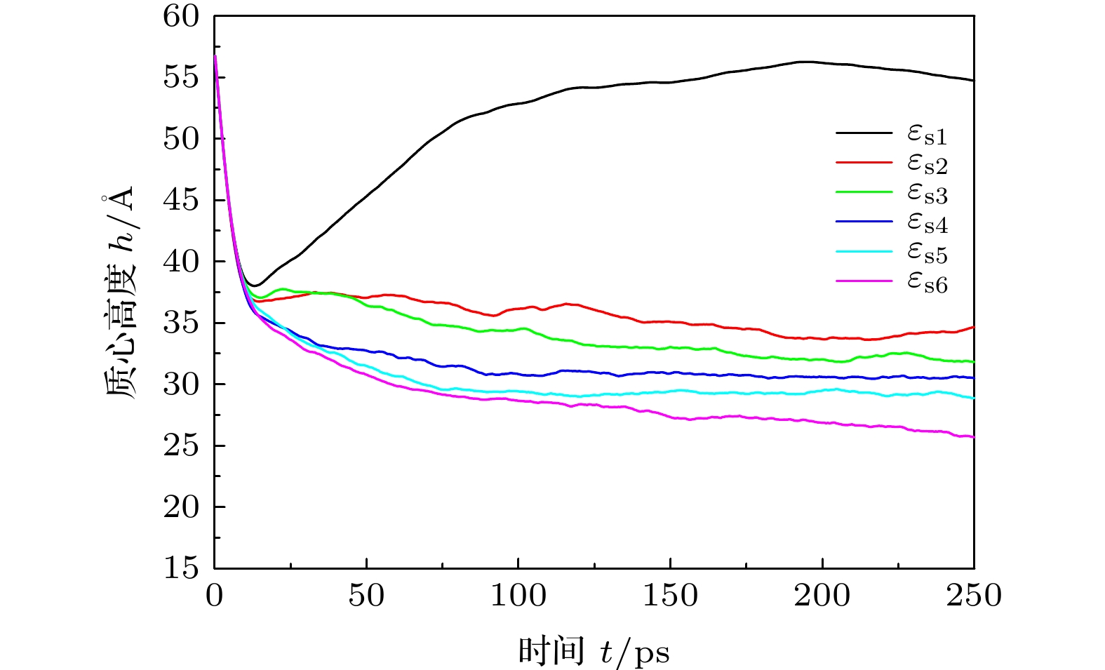
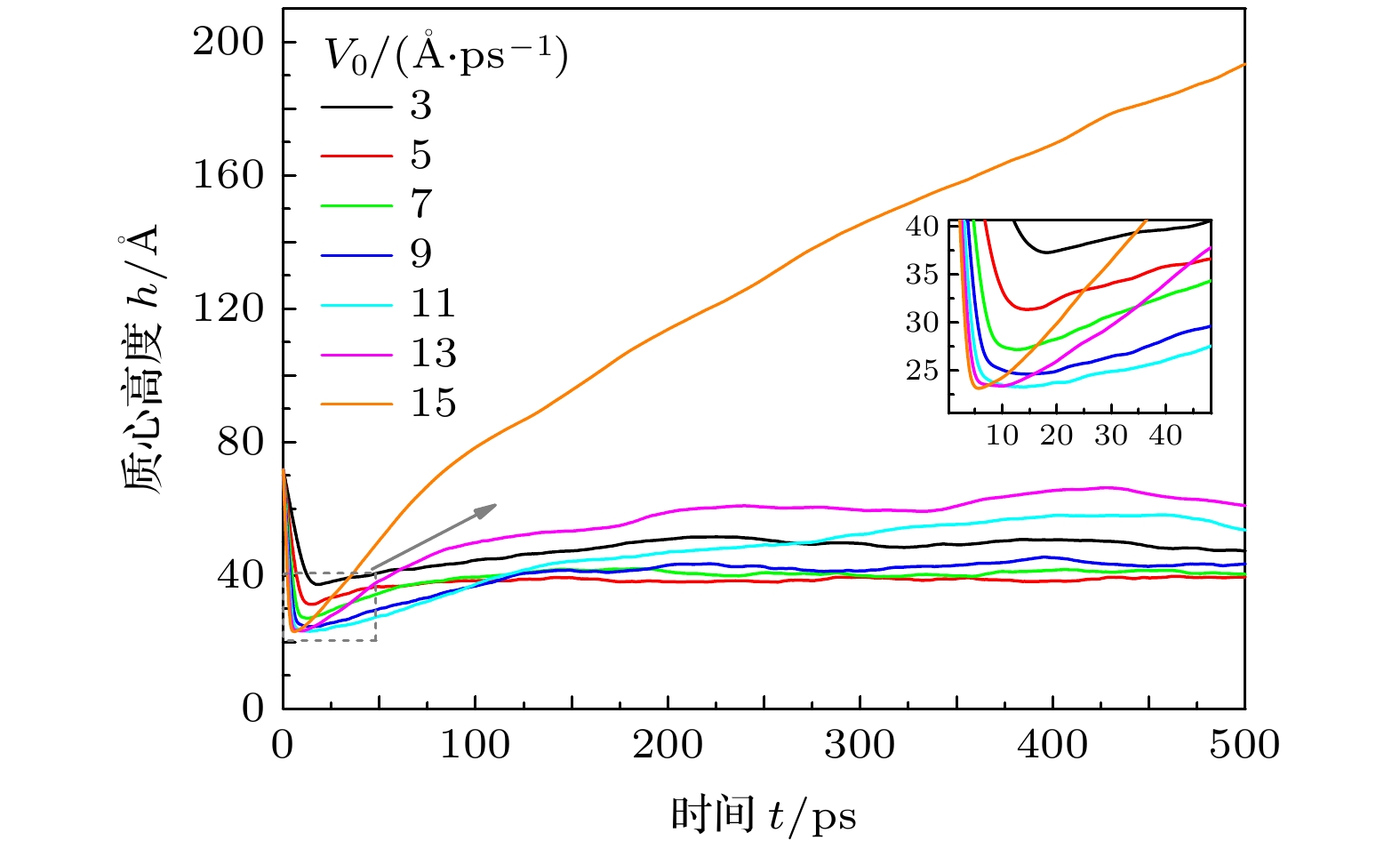
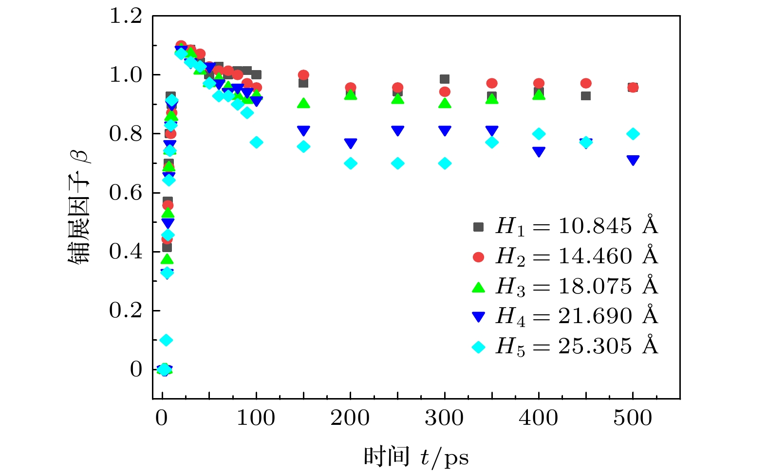
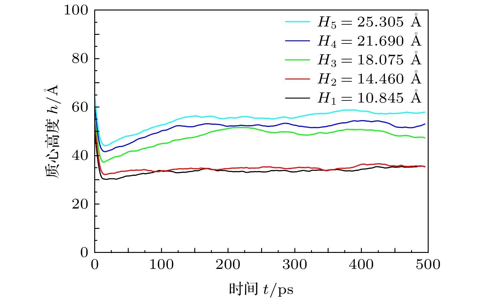
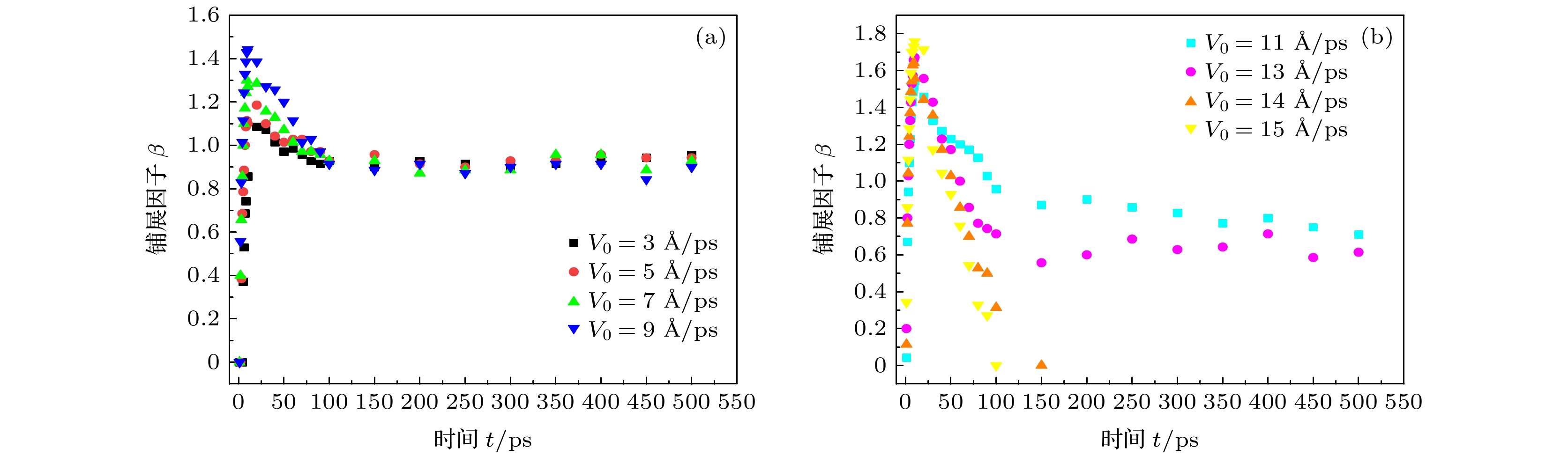
Droplets’ impinging on a solid surface is a common phenomenon in industry and agriculture. With the development of micro and nano technology, the quantitative descriptions of impinging behaviors for nanodroplets are expected to be further explored. Molecular dynamics (MD) simulation is adopted to investigate the behaviors of water nanodroplets impinging on cooper surfaces which have been decorated with square nanopillars. The dynamical characteristics of nanodroplets are analyzed at 5 different pillar heights, 6 different surface characteristic energy values, and a wide range of droplet velocities. The results show that there is no obvious difference among the dynamical behaviors for nanodroplets, whose radii are in a range from 35 to 45 Å, impinging on a solid surface. With the increase of droplet velocity, the wetting pattern of steady nanodroplets first transfers from Cassie state (
V
0= 2–3 Å/ps) to Wenzel state (
V
0= 4–10 Å/ps), then it returns to the Cassie state (
V
0= 11–13 Å/ps) again. Nanodroplets bounce off the solid surface when
V
0> 13 Å/ps. The relationship between the maximum spreading time and droplet velocity is presented. Inflection points in the curve of the relationship are discovered and their formation mechanism is studied. The spreading factors of steady states for nanodroplets with velocity lower than 9 Å/ps are nearly the same; however, they decrease gradually for nanodroplets with velocity higher than 9 Å/ps. In addition, the increasing height of square nanopillars facilitates the transition from Wenzel state to Cassie state and reduces the spreading radius of steady nanodroplets. The mechanism, which yields Wenzel state when the nanodroplets impinge on solid surface with lower height nanopillars, is investigated. In the spreading stage, spreading radii of nanodroplets impinging on surfaces with different height nanopillars are almost identical. The influence of nanopillar height mainly plays a role in the retraction stage of droplets and it fades away as the height further increases. Moreover, the higher surface characteristic energy benefits the spreading of nanodroplets and reduces the retraction time. Especially, nanodroplets do not experience retraction stage, and the spreading stage is kept until the nanodroplets reach a stable state when the surface characteristic energy is increased to 0.714 kcal/mol. Compared with the spreading factor, the centroid height of nanodroplet is very sensitive to the change of surface characteristic energy.