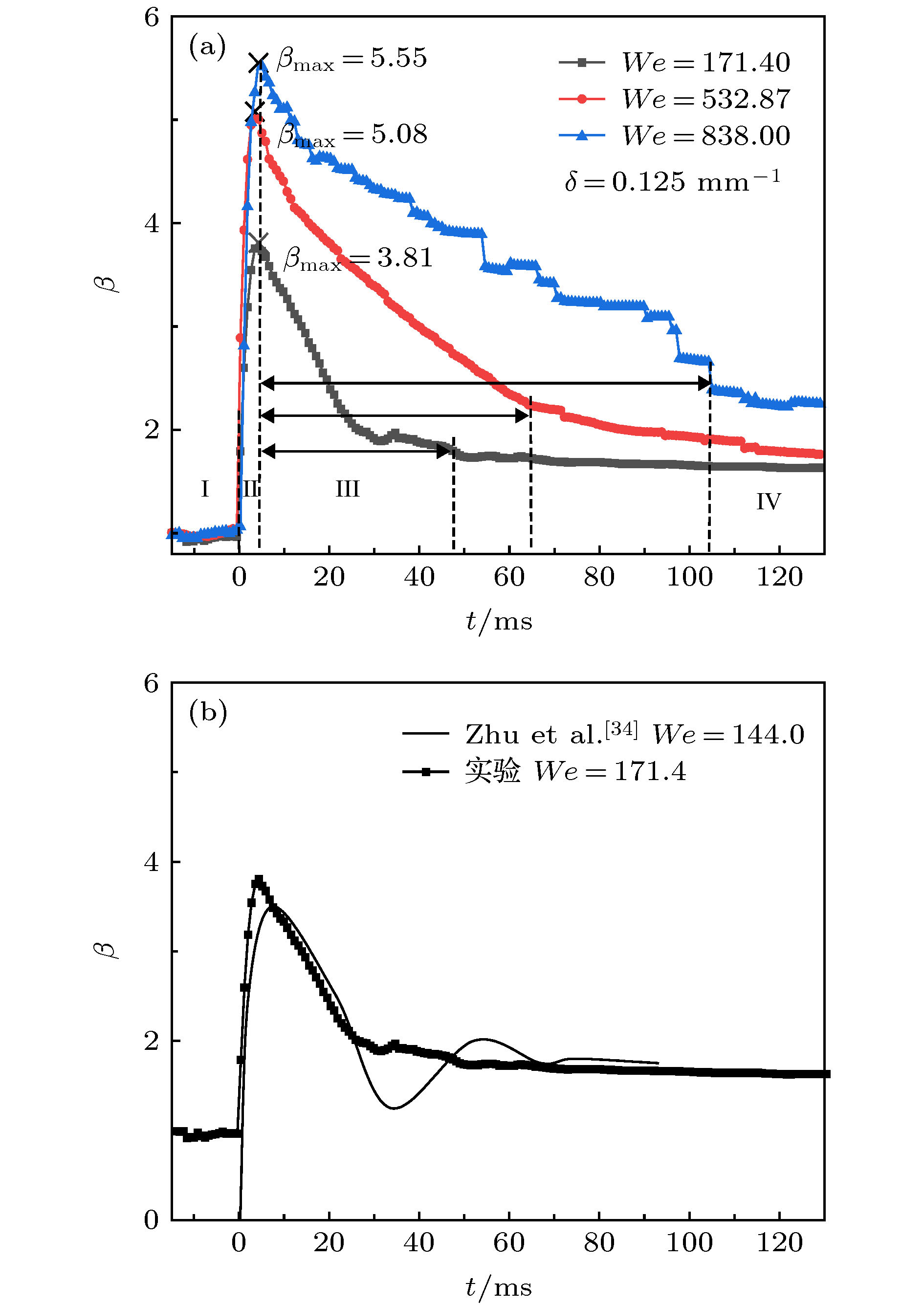
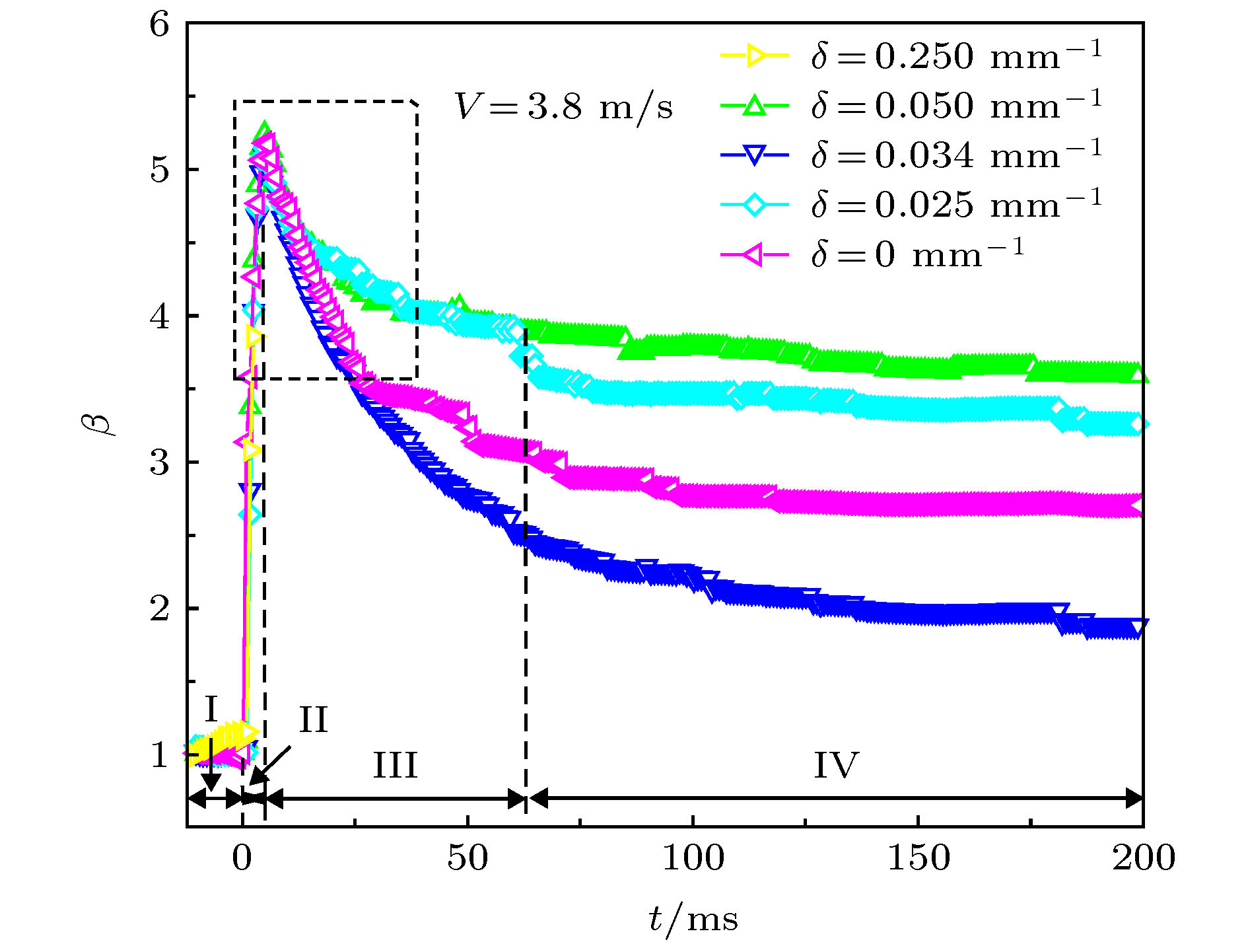
| [1] |
Gu Jing-Xuan, Zheng Ting, Guo Ming-Shuai, Xia Dong-Sheng, Zhang Hui-Chen.Fluid dynamics simulation on water lubricating performance of micro-/nano-textured surfaces considering roughness structures. Acta Physica Sinica, 2024, 73(11): 114601.doi:10.7498/aps.73.20240333 |
| [2] |
Liu He, Yang Ya-Jing, Tang Yu-Ning, Wei Yan-Ju.Dynamics of acoustically-induced droplet instability. Acta Physica Sinica, 2024, 73(20): 204204.doi:10.7498/aps.73.20240965 |
| [3] |
Feng Shan-Qing, Gong Lu-Yuan, Quan Sheng-Lin, Guo Ya-Li, Shen Sheng-Qiang.Molecular dynamics simulation of nanodroplet impacting on high-temperature plate wall. Acta Physica Sinica, 2024, 73(10): 103106.doi:10.7498/aps.73.20240034 |
| [4] |
Qin Wei-Guang, Wang Jin, Ji Wen-Jie, Zhao Wen-Jing, Chen Cong, Lan Ding, Wang Yu-Ren.Spreading dynamics of liquid-liquid driving. Acta Physica Sinica, 2022, 71(6): 064701.doi:10.7498/aps.71.20211682 |
| [5] |
Pan Ling, Zhang Hao, Lin Guo-Bin.Molecular dynamics simulation on dynamic behaviors of nanodroplets impinging on solid surfaces decorated with nanopillars. Acta Physica Sinica, 2021, 70(13): 134704.doi:10.7498/aps.70.20210094 |
| [6] |
Yang Ya-Jing, Mei Chen-Xi, Zhang Xu-Dong, Wei Yan-Ju, Liu Sheng-Hua.Kinematics and passing modes of a droplet impacting on a soap film. Acta Physica Sinica, 2019, 68(15): 156101.doi:10.7498/aps.68.20190604 |
| [7] |
Ye Xue-Min, Zhang Xiang-Shan, Li Ming-Lan, Li Chun-Xi.Thermocapillary migration characteristics of self-rewetting drop. Acta Physica Sinica, 2018, 67(18): 184704.doi:10.7498/aps.67.20180660 |
| [8] |
Ye Xue-Min, Zhang Xiang-Shan, Li Ming-Lan, Li Chun-Xi.Dynamics of evaporating drop on heated surfaces with different wettabilities. Acta Physica Sinica, 2018, 67(11): 114702.doi:10.7498/aps.67.20180159 |
| [9] |
Dong Qi-Qi, Hu Hai-Bao, Chen Shao-Qiang, He Qiang, Bao Lu-Yao.Molecular dynamics simulation of freezing process of water droplets impinging on cold surface. Acta Physica Sinica, 2018, 67(5): 054702.doi:10.7498/aps.67.20172174 |
| [10] |
Liang Hong, Chai Zhen-Hua, Shi Bao-Chang.Lattice Boltzmann simulation of droplet dynamics in a bifurcating micro-channel. Acta Physica Sinica, 2016, 65(20): 204701.doi:10.7498/aps.65.204701 |
| [11] |
Huang Hu, Hong Ning, Liang Hong, Shi Bao-Chang, Chai Zhen-Hua.Lattice Boltzmann simulation of the droplet impact onto liquid film. Acta Physica Sinica, 2016, 65(8): 084702.doi:10.7498/aps.65.084702 |
| [12] |
Lin Lin, Yuan Ru-Qiang, Zhang Xin-Xin, Wang Xiao-Dong.Spreading dynamics of liquid droplet on gradient micro-structured surfaces. Acta Physica Sinica, 2015, 64(15): 154705.doi:10.7498/aps.64.154705 |
| [13] |
Mao Xiao-Li, Xiao Shao-Rong, Liu Qing-Quan, Li Min, Zhang Jia-Hong.Fluid dynamic analysis on solar heating error of radiosonde humidity measurement. Acta Physica Sinica, 2014, 63(14): 144701.doi:10.7498/aps.63.144701 |
| [14] |
Jiang Yi-Min, Liu Mario.Hydrodynamic theory of grains, water and air. Acta Physica Sinica, 2013, 62(20): 204501.doi:10.7498/aps.62.204501 |
| [15] |
Su Tie-Xiong, Ma Li-Qiang, Liu Mou-Bin, Chang Jian-Zhong.A numerical analysis of drop impact on solid surfaces by using smoothed particle hydrodynamics method. Acta Physica Sinica, 2013, 62(6): 064702.doi:10.7498/aps.62.064702 |
| [16] |
Li Da-Ming, Wang Zhi-Chao, Bai Lin, Wang Xiao.Investigations on the process of droplet impact on an orifice plate. Acta Physica Sinica, 2013, 62(19): 194704.doi:10.7498/aps.62.194704 |
| [17] |
Ma Li-Qiang, Liu Mou-Bin, Chang Jian-Zhong, Su Tie-Xiong, Liu Han-Tao.Numerical simulation of droplet impact onto liquid films with smoothed particle hydrodynamics. Acta Physica Sinica, 2012, 61(24): 244701.doi:10.7498/aps.61.244701 |
| [18] |
Ma Li-Qiang, Chang Jian-Zhong, Liu Han-Tao, Liu Mou-Bin.Numerical simulation of droplet impact on liquid with smoothed particle hydrodynamics method. Acta Physica Sinica, 2012, 61(5): 054701.doi:10.7498/aps.61.054701 |
| [19] |
Bi Fei-Fei, Guo Ya-Li, Shen Sheng-Qiang, Chen Jue-Xian, Li Yi-Qiao.Experimental study of spread characteristics of droplet impacting solid surface. Acta Physica Sinica, 2012, 61(18): 184702.doi:10.7498/aps.61.184702 |
| [20] |
Wang Xiao-Liang, Chen Shuo.Simulation of vapor-liquid coexistence using dissipative particle dynamics. Acta Physica Sinica, 2010, 59(10): 6778-6785.doi:10.7498/aps.59.6778 |