Piezoelectric ceramics are mainly used in the electronic fields such as actuators, sensors, etc. However, at present the piezoelectric ceramics widely used are lead-based ceramics, which are detrimental to the environment. Based on the needs of environmental protection and social sustainable development, the research of lead-free piezoelectric ceramics becomes urgent. (K, Na) NbO
3(KNN) lead-free piezoelectric ceramics have attracted much attention due to their high piezoelectric coefficient and Curie temperature. However, temperature stability of ceramics is poor, which limits their applications. In this work, (1–
x)(Na
0.52K
0.48)
0.95Li
0.05NbO
3-
xCaZrO
3(NKLN-
xCZ) ceramics with temperature stability are prepared by two-step synthesis. The effects of CaZrO
3on the phase structure, microstructure and electrical properties of KNN-based ceramics are studied. The results show that the appropriate introduction of CaZrO
3can improve the sintering properties of the samples and obtain dense ceramics. All the samples have typical perovskite structure without impurity. With the increase of CaZrO
3, the temperature of orthorhombic(O)-Tetragonal (T) phase transition (
T
O-T) and Curie temperature (
T
C) move from high temperature to low temperature, while the transition temperature (
T
O-R) moves from low temperature to room temperature, and then, tetragonal (T) phase and rhombohedral (R) phase coexist in NKLN-
xCZ ceramics as
$0.05 \leqslant x \leqslant0.06 $
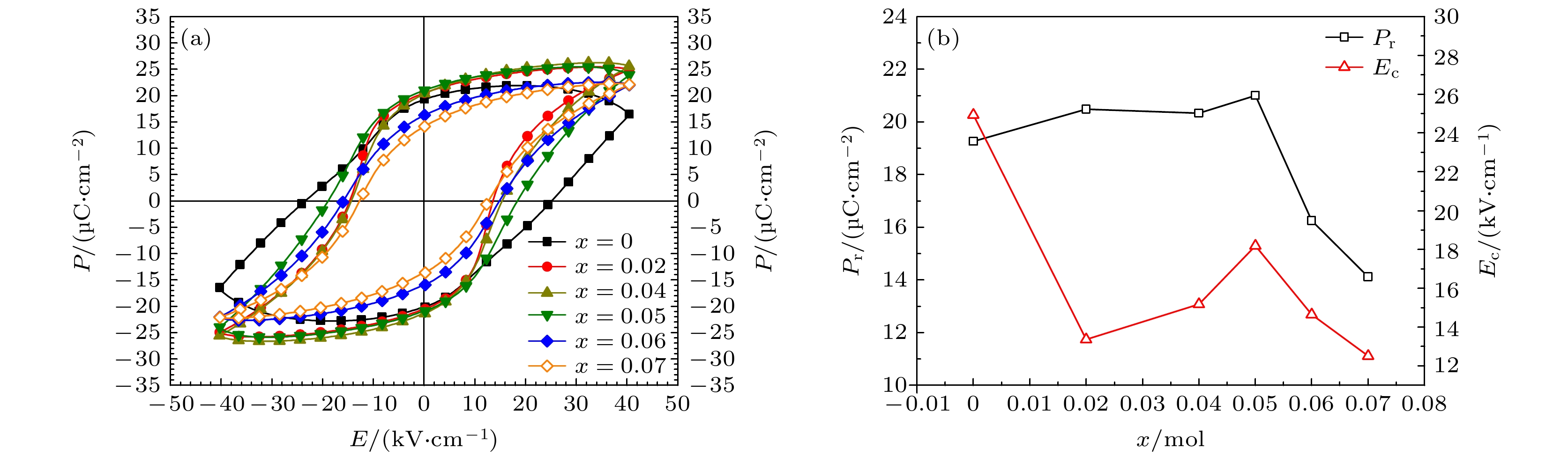
. When
x= 0.05, the ceramics have high Curie temperature (
T
c= 373 ℃), and show good piezoelectric and ferroelectric properties (piezoelectric constant
d
33= 198 pC/N, planar electromechanical coupling coefficient
k
p= 39%,
ε
r= 1140, tan
δ= 0.034,
P
r= 21 μC/cm
2,
E
c= 18.2 kV/cm) because of the density of ceramics and existence of R-T phase boundary around room temperature. In addition, the relative permittivity of ceramics changes with the increase of frequency, which shows a certain relaxation behavior. The relaxation characteristics can be expressed by the modified Curie-Weiss law (1/
ε
r–1/
ε
r,m) =
C(
T–
T
m)
α. With the increase of CZ content, the dispersion coefficient
αof ceramics increases (
x= 0.07,
α= 1.96), which can be ascribed to
A-site cation disorder induced by the addition of CZ. The temperature range of phase transition is widened because of the diffused R-T phase transition. Therefore, the ceramics have temperature-stable electrical properties: the
k
pof NKLN-0.05CZ ceramics is kept at 34%–39% (variation of
k
p
$\leqslant 13\% $
) in a temperature range of –50–150 ℃. It provides methods and ideas for further exploring the temperature stability of KNN-based ceramics.