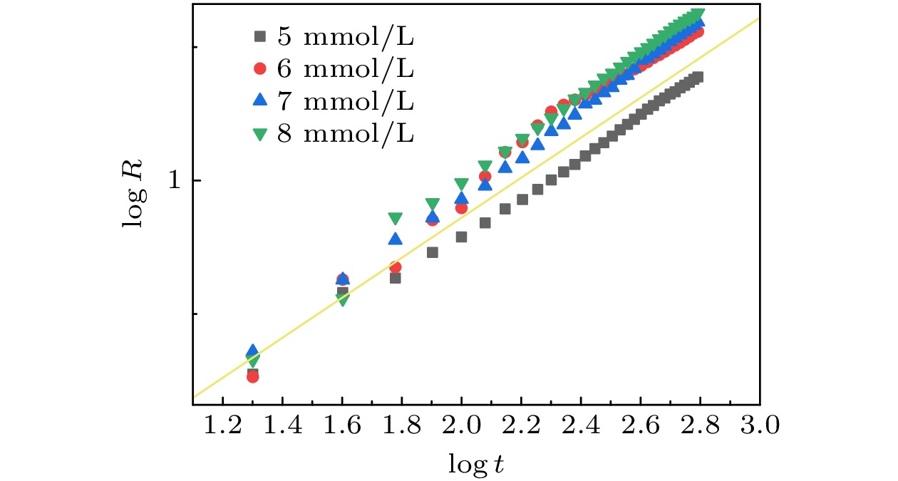
\begin{document}$ \mathrm{r}\mathrm{e}\mathrm{l}\mathrm{a}\mathrm{t}\mathrm{i}\mathrm{o}\mathrm{n}\;R\left(t\right)\propto {t}^{3/4} $\end{document}. In addition, the classical analysis model is used to explain the instability pattern of n-hexadecane breaking into small beads from rim in the liquid-driven spreading process, which is called Rayleigh-Plateau instability. The fastest instability wavelength \begin{document}$ {\lambda }_{\mathrm{s}} $\end{document} and the constant radius \begin{document}$ {r}_{\mathrm{c}} $\end{document} of the n-hexadecane liquid rim are related by \begin{document}$ {\lambda }_{\mathrm{s}}\approx 9{r}_{\mathrm{c}} $\end{document}. Our results prove the applicability of the spreading scaling law to the liquid-driven spreading process, and also help to understand in depth the mechanism of the liquid-driven spreading and the instability pattern in the spreading process."> - 必威体育下载

Search

Article

x

留言板

姓名
邮箱
手机号码
标题
留言内容
验证码

downloadPDF
Citation:

    Zhao Wen-Jing, Wang Jin, Qin Wei-Guang, Ji Wen-Jie, Lan Ding, Wang Yu-Ren
    PDF
    HTML
    Get Citation
    Metrics
    • Abstract views:6119
    • PDF Downloads:176
    • Cited By:0
    Publishing process
    • Received Date:12 March 2021
    • Accepted Date:11 April 2021
    • Available Online:07 June 2021
    • Published Online:20 September 2021

      返回文章
      返回