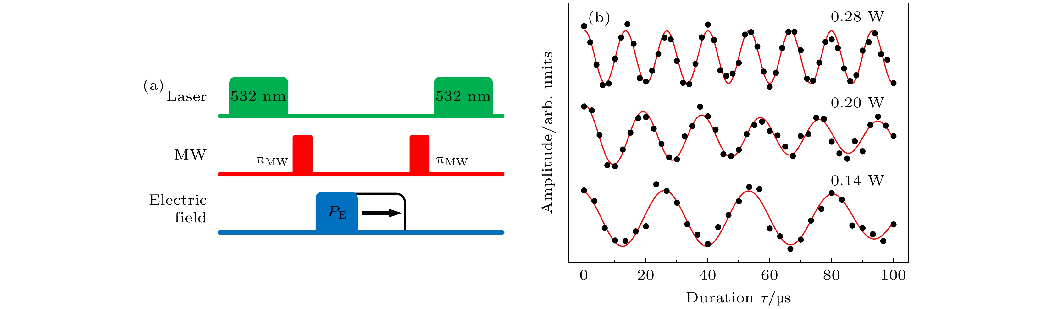
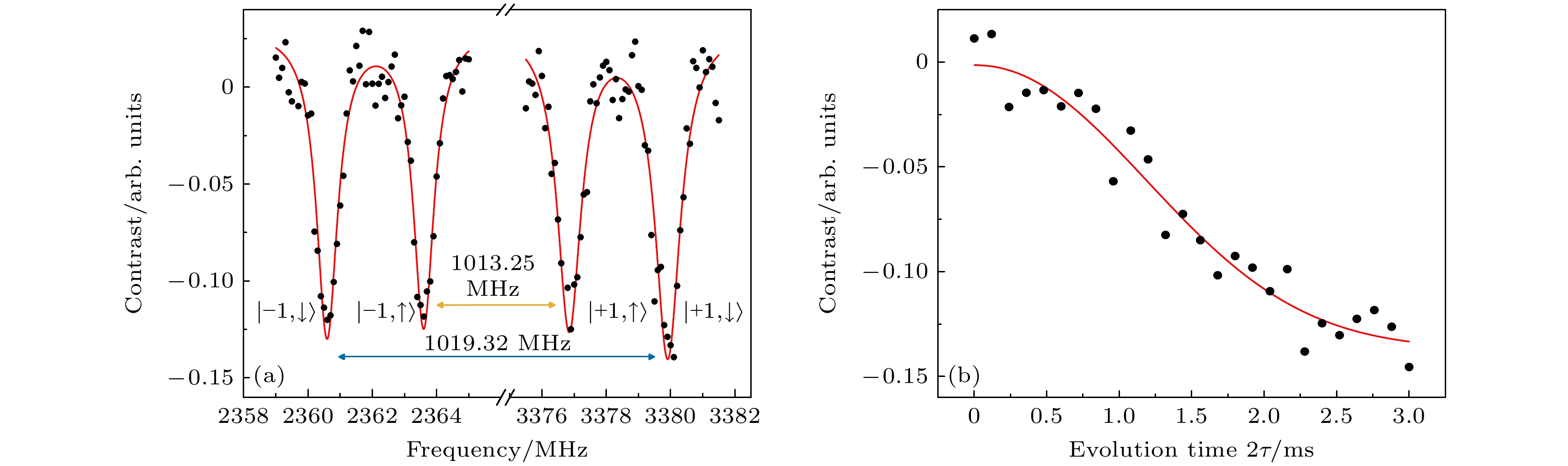
| [1] |
Shen Yuan-Yuan, Wang Bo, Ke Dong-Qian, Zheng Dou-Dou, Li Zhong-Hao, Wen Huan-Fei, Guo Hao, Li Xin, Tang Jun, Ma Zong-Min, Li Yan-Jun, Igor Vladimirovich Yaminsky, Liu Jun.High-frequency resolution diamond nitrogen-vacancy center wide-spectrum imaging technology. Acta Physica Sinica, 2024, 73(6): 067601.doi:10.7498/aps.73.20231833 |
| [2] |
Li Jun-Peng, Ren Ze-Yang, Zhang Jin-Feng, Wang Han-Xue, Ma Yuan-Chen, Fei Yi-Fan, Huang Si-Yuan, Ding Sen-Chuan, Zhang Jin-Cheng, Hao Yue.Formation mechanism and regulation of silicon vacancy centers in polycrystalline diamond films. Acta Physica Sinica, 2023, 72(3): 038102.doi:10.7498/aps.72.20221437 |
| [3] |
He Jian, Jia Yan-Wei, Tu Ju-Ping, Xia Tian, Zhu Xiao-Hua, Huang Ke, An Kang, Liu Jin-Long, Chen Liang-Xian, Wei Jun-Jun, Li Cheng-Ming.Generation of shallow nitrogen-vacancy centers in diamond with carbon ion implantation. Acta Physica Sinica, 2022, 71(18): 188102.doi:10.7498/aps.71.20220794 |
| [4] |
Lin Hao-Bin, Zhang Shao-Chun, Dong Yang, Zheng Yu, Chen Xiang-Dong, Sun Fang-Wen.Temperature sensing with nitrogen vacancy center in diamond. Acta Physica Sinica, 2022, 71(6): 060302.doi:10.7498/aps.71.20211822 |
| [5] |
Wu Jian-Dong, Cheng Zhi, Ye Xiang-Yu, Li Zhao-Kai, Wang Peng-Fei, Tian Chang-Lin, Cheng Hong-Wei.Coherent electrical control of a single electron spin in diamond nitrogen-vacancy centers. Acta Physica Sinica, 2022, 0(0): .doi:10.7498/aps.71.20220410 |
| [6] |
Shen Xiang, Zhao Li-Ye, Huang Pu, Kong Xi, Ji Lu-Min.Atomic spin and phonon coupling mechanism of nitrogen-vacancy center. Acta Physica Sinica, 2021, 70(6): 068501.doi:10.7498/aps.70.20201848 |
| [7] |
Wang Kai-Yue, Guo Rui-Ang, Wang Hong-Xing.Temperature dependence of nitrogen-vacancy optical center in diamond. Acta Physica Sinica, 2020, 69(12): 127802.doi:10.7498/aps.69.20200395 |
| [8] |
Chen Long, Chen Cheng-Ke, Li Xiao, Hu Xiao-Jun.Effects of oxidation on silicon vacancy photoluminescence and microstructure of separated domain formed nanodiamond films. Acta Physica Sinica, 2019, 68(16): 168101.doi:10.7498/aps.68.20190422 |
| [9] |
Peng Shijie, Liu Ying, Ma Wenchao, Shi Fazhan, Du Jiangfeng.High-resolution magnetometry based on nitrogen-vacancy centers in diamond. Acta Physica Sinica, 2018, 67(16): 167601.doi:10.7498/aps.67.20181084 |
| [10] |
Dong Yang, Du Bo, Zhang Shao-Chun, Chen Xiang-Dong, Sun Fang-Wen.Solid quantum sensor based on nitrogen-vacancy center in diamond. Acta Physica Sinica, 2018, 67(16): 160301.doi:10.7498/aps.67.20180788 |
| [11] |
Fang Chao, Jia Xiao-Peng, Yan Bing-Min, Chen Ning, Li Ya-Dong, Chen Liang-Chao, Guo Long-Suo, Ma Hong-An.Effects of nitrogen and hydrogen co-doped on {100}-oriented single diamond under high temperature and high pressure. Acta Physica Sinica, 2015, 64(22): 228101.doi:10.7498/aps.64.228101 |
| [12] |
Zhang Xiu-Zhi, Wang Kai-Yue, Li Zhi-Hong, Zhu Yu-Mei, Tian Yu-Ming, Chai Yue-Sheng.Effect of nitrogen on the defect luminescence in diamond. Acta Physica Sinica, 2015, 64(24): 247802.doi:10.7498/aps.64.247802 |
| [13] |
Yan Bing-Min, Jia Xiao-Peng, Qin Jie-Ming, Sun Shi-Shuai, Zhou Zhen-Xiang, Fang Chao, Ma Hong-An.Characterization of typical infrared characteristic peaks of hydrogen in nitrogen and hydrogen co-doped diamond crystals. Acta Physica Sinica, 2014, 63(4): 048101.doi:10.7498/aps.63.048101 |
| [14] |
Wang Wen-Juan, Wang Hai-Long, Gong Qian, Song Zhi-Tang, Wang Hui, Feng Song-Lin.External electric field effect on exciton binding energy in InGaAsP/InP quantum wells. Acta Physica Sinica, 2013, 62(23): 237104.doi:10.7498/aps.62.237104 |
| [15] |
Wang Kai-Yue, Zhu Yu-Mei, Li Zhi-Hong, Tian Yu-Ming, Chai Yue-Sheng, Zhao Zhi-Gang, Liu Kai.The defect luminescences of {100} sector in nitrogen-doped diamond. Acta Physica Sinica, 2013, 62(9): 097803.doi:10.7498/aps.62.097803 |
| [16] |
Lin Xue-Ling, Pan Feng-Chun.The magnetism study of N-doped diamond. Acta Physica Sinica, 2013, 62(16): 166102.doi:10.7498/aps.62.166102 |
| [17] |
Liang Zhong-Zhu, Liang Jing-Qiu, Zheng Na, Jia Xiao-Peng, Li Gui-Ju.Optical absorbance of diamond doped with nitrogen and the nitrogen concentration analysis. Acta Physica Sinica, 2009, 58(11): 8039-8043.doi:10.7498/aps.58.8039 |
| [18] |
Li Rong-Bin.Atomic-scale study of boron-nitrogen co-doping into diamond. Acta Physica Sinica, 2007, 56(1): 395-399.doi:10.7498/aps.56.395 |
| [19] |
Liu Yan-Yan, Bauer-Grosse E., Zhang Qing-Yu.Structure and growth behavior of low N-doped diamond film by microwave plasma assisted chemical vapor deposition. Acta Physica Sinica, 2007, 56(4): 2359-2368.doi:10.7498/aps.56.2359 |
| [20] |
Hu Xiao-Jun, Dai Yong-Bing, He Xian-Chang, Shen He-Sheng, Li Rong-Bin.. Acta Physica Sinica, 2002, 51(6): 1388-1392.doi:10.7498/aps.51.1388 |