Laser cooling and magneto-optical trapping of molecules is regarded as one of the state-of-the-art research fields in physics, which possesses broad applications in exploring fundamental physics beyond the Standard Model, quantum many-body physics, cold/ultracold chemistry and collision studies and so forth. Owing to the characteristic of highly diagonal Franck-Condon factors, lower saturation irradiance and larger scattering rate, the CaH molecule has been proposed as a promising candidate for laser cooling and magneto-optical trapping ever since 2004. Taking advantage of the multi-energy-level rate equation as well as the dual frequency effect, we evaluate the damping and trapping forces contained in the optical transitions of
$ {\mathrm{A}}^{2}{\mathrm{Π}}_{1/2}\leftarrow {\mathrm{X}}^{2}{\mathrm{Σ }}^{+} $
and
${\mathrm{B}}^{2}{\mathrm{Σ }}^{+}\leftarrow {\mathrm{X}}^{2}{\mathrm{Σ }}^{+}$
, analyze the cooling and trapping performance for different laser polarization sets, power values and detunings of four laser components, and determine the variations in the damping and trapping forces due to an additional frequency component. It is discovered that if the laser polarization is set to be
σ
-
σ
+
σ
+
σ
+
σ
+, the detuning for the second laser component is
Γ
while the detuning of other components are set to be -2
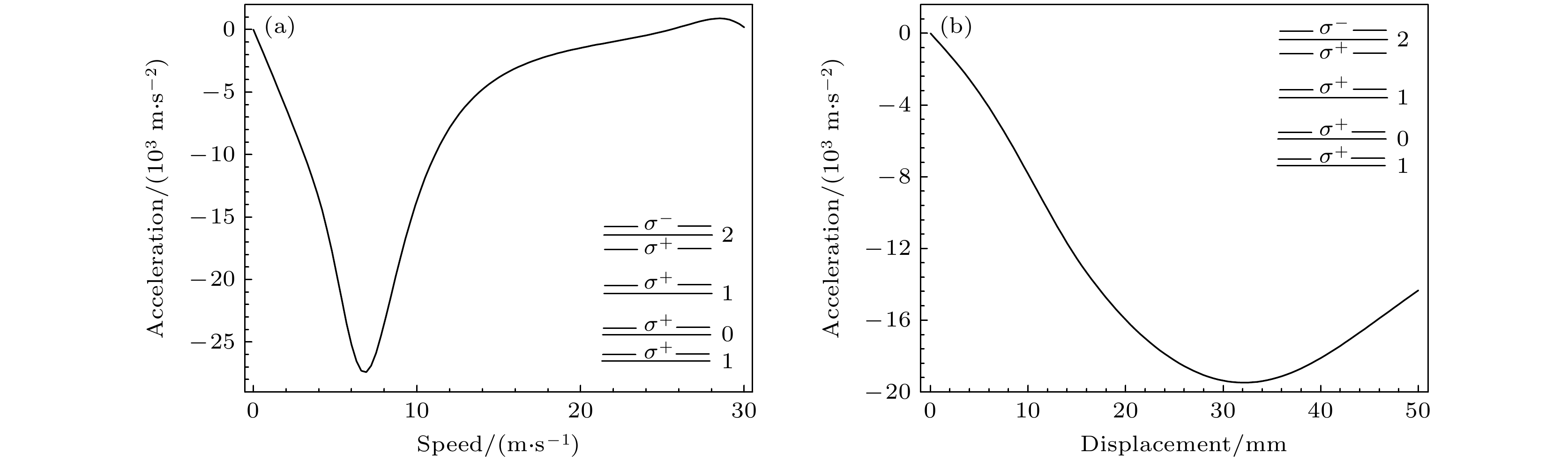
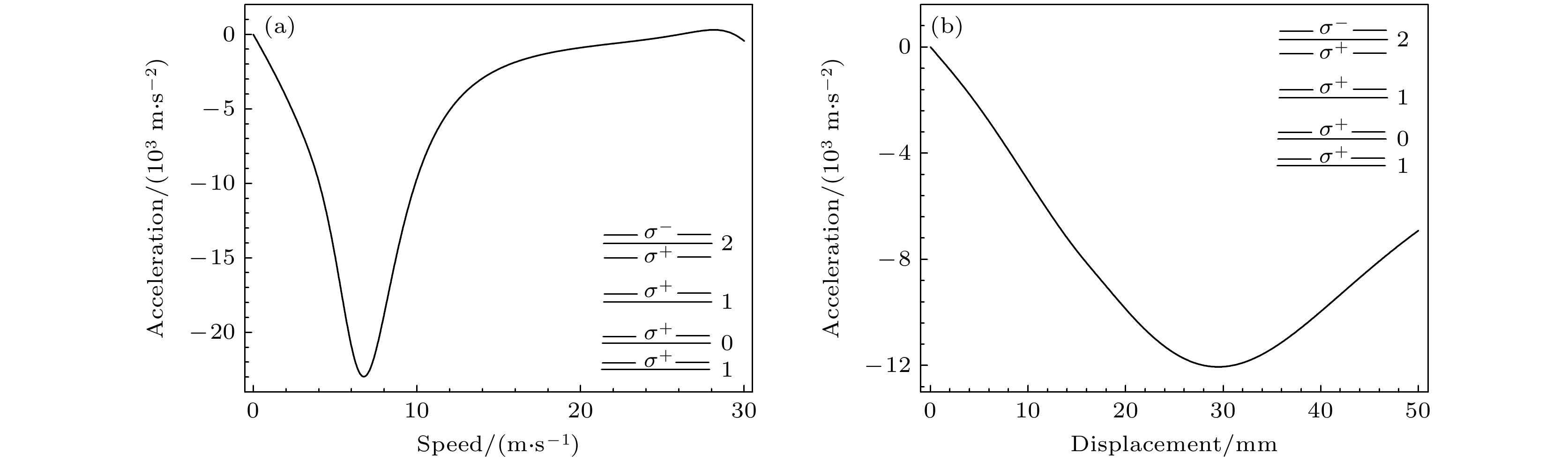
Γ, and the laser power is set to be 150 mW, one can obtain a damping acceleration of 28000 m/s
2, and a trapping acceleration of 19000 m/s
2for the transition of
$ {\mathrm{A}}^{2}{\mathrm{Π}}_{1/2}\leftarrow {\mathrm{X}}^{2}{\mathrm{Σ }}^{+} $
, both of which reach the optimal values under the current scope of the research and exhibit better performance than the CaF molecule. Our results, on one hand, not only offer an ideal method to comprehend the CaH MOT in theory but also help design the CaH MOT experiment or even achieve the Bose-Einstein condensation (BEC) of cold diatomic molecules. On the other hand, alkaline-earth-metal monohydrides (AEMHs) such as CaH, SrH and BaH are well-known for their permanent electric dipole moment, therefore these trapped diatomic molecules can be utilized to untangle the mechanism of dipole-dipole interaction, thus paving the way to realizing the molecular entanglement and quantum computing. More interestingly, current experimental systems for the non-zero measurement of the electron’s electric dipole moment (eEDM), including ThO, YbF and HfF
+, still cannot be conducted simultaneously under the laser cooling and magneto-optical trapping technique while maintaining the ease of full polarization and internal co-magnetometry, all of which undoubtedly can increase the coherent measurement time and hence the statistical sensitivity, as well as the immunity to the systematic sensitivity. Previous studies reported that AEMHs share some similar characters with alkaline-earth-metal monofluorides (AEMFs) such as in electron correlation effects, however, the hyperfine energy level structures of AEMHs are relatively simpler than those of AEMFs, and AEMHs are prone to being polarized under the externally applied electric field. All of these lead to the trend that AEMHs may possess the dual character that it can be not only laser cooled and trapped in a MOT but also adopted as an candidate to measure the eEDM. Therefore, our work lays a substantial foundation for the theoretical and experimental study of SrH and BaH that inevitably will contribute to the exploration of the CP violation and new physics beyond the Standard Model on a scientific platform based on cold polar molecules, which is obviously different from large facilities such as the Large Hadron Collider.