Uranium (U) is one of the most natural radioactive elements widely used in the nuclear industry. In the civilian field, uranium is the most important nuclear fuel in nuclear reactors; militarily, uranium is an important raw material for nuclear weapons. In addition, uranium is also used for radiation shielding and ship ballast due to its high-density properties. Depending on the temperature, U has three kinds of allotrope phases: the orthogonal α phase at temperature below 940 K, the body-centered tetragonal (BCT) β phase at temperature ranging from 940 K to 1050 K, and the body-centered cubic (BCC) γ phase at temperature above 1050 K. Compared with the other two structures, the crystal structure of γ phase has good symmetry and excellent mechanical properties. However, γ-U is extremely unstable at low temperature. No matter what heat treatment method is adopted, γ-U will undergo phase transformation and become α phase. It is shown that adding certain alloying elements, such as Mo, Nb, Zr, Ti and Hf, into uranium can stabilize γ-U to room temperature and improve the mechanical properties of uranium greatly. As an important uranium alloy, γ-U by doping Mo atom has excellent mechanical properties, structural stability and thermal conductivity, and is an important nuclear reactor fuel.
However, uranium has special physical and chemical properties due to its complex electronic structure and strong correlation of 5f electrons. Because of its special valence electron structure, it is highly susceptible to chemical and electrochemical reactions of environmental media. After the reaction between uranium and hydrogen, hydrogen embrittlement will occur, and even easily break into powder, which reduces the performance of uranium in service and brings hidden trouble to its storage. With the increase of service life, surface corrosion becomes more serious, and the safety and reliability of U alloys are seriously affected. The adsorption and dissociation of hydrogen on U alloy surface is the primary process of hydrogenation corrosion.
Based on density functional theory, first-principles study of hydrogen adsorption and dissociation on γ-U(100) surface by Mo atoms coatings is carried out in this work. The model of γ-U(100) and Mo atoms coatings on γ-U(100) surface are established, and the structural parameters, adsorption energy, Bader charge, surface work function, and electron state density of H
2at highly symmetrical adsorption sites are calculated. The results show that H
2molecule occurs when physical dissociation adsorption takes place on γ-U(100) and U(100)/Mo surface. The electron state density shows that H
2does not bond to the surface atoms and no new hybridization peak appears. However, in the hollow parallel adsorption configuration, H
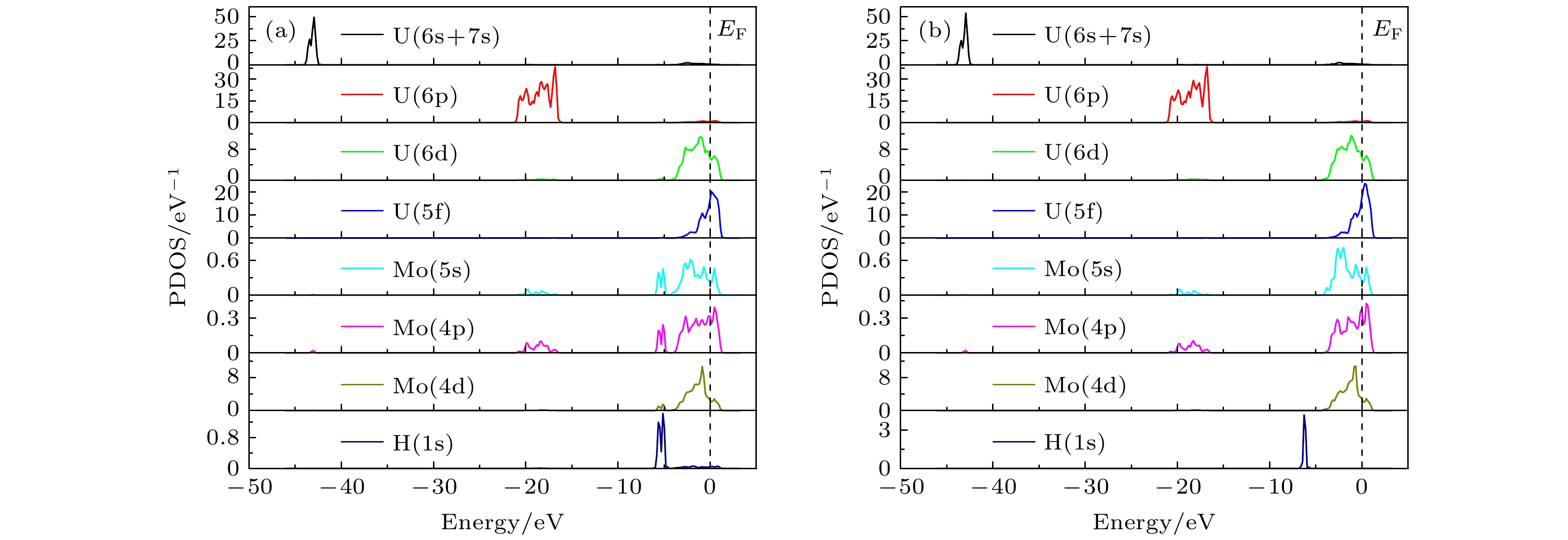
2is completely dissociated into two H atoms and occurs chemical adsorption and dissociation on γ-U(100) and U(100)/Mo surface. The H/1s orbital electrons are hybridized with the U/6p, U/6d, Mo/5s, Mo/4p, Mo/4d orbital electrons, and the H atom forms stable chemical bonds with the Mo atoms. Bader charge distribution results show that the change of chemical adsorption net charge of H
2on U(100)/Mo is more than that of physical adsorption. Because the adsorption energy of H
2in the most stable configuration (H
Mo-Hor) on U(100)/Mo is less than that of the most stable configuration (H
U-Hor) on γ-U(100), the adsorption of H
2on U(100)/Mo is more stable than that of γ-U(100) surface.