Vol. 71, No. 22 (2022)
2022-11-20
VIEWS AND PERSPECTIVES
VIEWS AND PERSPECTIVES
2022, 71 (22): 226701.
doi:10.7498/aps.71.20221756
Abstract +
Fermions are basic building blocks in the standard model. Interactions among these elementary particles determine how they assemble and consequently form various states of matter in our nature. Simulating fermionic degrees of freedom is also a central problem in condensed matter physics and quantum chemistry, which is crucial to understanding high-temperature superconductivity, quantum magnetism and molecular structure and functionality. However, simulating interacting fermions by classical computing generically face the minus sign problem, encountering the exponential computation complexity. Ultracold atoms provide an ideal experimental platform for quantum simulation of interacting fermions. This highly-controllable system enables the realizing of nontrivial fermionic models, by which the physical properties of the models can be obtained by measurements in experiment. This deepens our understanding of related physical mechanisms and helps determine the key parameters. In recent years, there have been versatile experimental studies on quantum ground state physics, finite temperature thermal equilibrium, and quantum many-body dynamics, in fermionic quantum simulation systems. Quantum simulation offers an access to the physical problems that are intractable on the classical computer, including studying macroscopic quantum phenomena and microscopic physical mechanisms, which demonstrates the quantum advantages of controllable quantum systems. This paper briefly introduces the model of interacting fermions describing the quantum states of matter in such a system. Then we discuss various states of matter, which can arise in interacting fermionic quantum systems, including Cooper pair superfluids and density-wave orders. These exotic quantum states play important roles in describing high-temperature superconductivity and quantum magnetism, but their simulations on the classical computers have exponentially computational cost. Related researches on quantum simulation of interacting fermions in determining the phase diagrams and equation of states reflect the quantum advantage of such systems.
GENERAL
2022, 71 (22): 220201.
doi:10.7498/aps.71.20220765
Abstract +
The development of supercritical fluid technology is becoming more and more mature. The research on the adsorption behaviors of supercritical fluid in nanoporous materials has theoretical significance and application value for the development and application of supercritical fluid technology. In this paper, the grand canonical Monte Carlo (GCMC) method is used to simulate the adsorption behaviors of N2in single-walled carbon nanotubes under supercritical condition and subcritical condition, and the isosteric heat of adsorption and integral molar enthalpy change in different adsorption systems are discussed. The results show that the adsorption isotherms of N2in SWCNT do not strictly follow the layered adsorption mechanism under supercritical condition, as a result of the increase of molecular thermal motion, the degree of free mobility becomes higher, and it is easier for nitrogen molecule to intersperse and jump between different molecular layers. The nitrogen adsorption isotherm has a peak, which decreases gradually with the increase of temperature, while the critical pressure at peak increases with the temperature increasing. Around the critical point temperature (126 K), a small change in pressure can cause large fluctuations in the bulk gas phase density, resulting in a sharp drop in the adsorption isotherm after peaking. What is different from the subcritical condition is that the adsorption peak of local density distribution curve of the fluid under supercritical condition cannot represent the increase of excess adsorption capacity, and the influence of gas phase density on the adsorption process cannot be ignored. By studying the adsorption integral molar enthalpy under the supercritical condition, it is found that the excess integral molar enthalpy decreases with the pore size increasing; the adsorption integral molar enthalpy decreases with the augment of pore size at lower pressure, but due to a fact that the proportion of gas phase fluid in large-pore SWCNTs increases at higher pressure, on the contrary, it increases with the pore size at higher pressure increasing.
2022, 71 (22): 220301.
doi:10.7498/aps.71.20220871
Abstract +
In the application of quantum communication networks, it is an important task to realize the optimal allocation of resources according to the current situation. For example, We need to select the optimal quantum key distribution (QKD) protocol and parameters. Traditionally, the most commonly implemented method is the local search algorithm (LSA), which costs a lot of resources. Here in this work, we propose a machine learning based scheme, in which the regression machine learning is used to simultaneously select the optimal protocol and corresponding parameters. In addition, we make comparisons among a few machine learning models including random forest (RF), K-nearest neighbor (KNN) and logistic regression. Simulation results show that the new scheme takes much less time than the LSA scheme, and the RF achieves the best performance. In addition, through the RF residual analysis, we find that the machine learning scheme has good robustness. In conclusion, this work may play an important role in promoting the practical application of quantum communication networks.
2022, 71 (22): 220302.
doi:10.7498/aps.71.20221125
Abstract +
Quantum communication is a frontier hotspot of current research, and it has ideal information security. In order to enable quantum systems in arid and desertified areas to work almost under all-weather condition, it is necessary to study the attenuation of free-space quantum signal transmission and the influence of the turbulence atmosphere carrying sand and dust on communication performance. Using Mie scattering theory, multiple scattering simulation method, and atmospheric turbulence theory, the attenuation of optical wave transmission in sand and dust turbulent atmospheric channels with different visibility, and the influence of multiple scattering and turbulence on attenuation are studied. The results show that the effect of multiple scattering increases with the decrease of visibility, the turbulence effect gradually strengthens with the increase of distance. According to the quantum amplitude damped channel model, the effects of multiple scattering and turbulence in the sand and dust turbulent atmosphere with different visibility on the quantum channel capacity, fidelity and bit error rate are analyzed. The results show that as the visibility decreases, the multiple scattering effect increases, resulting in the decrease of attenuation and bit error rate, but an increase in channel capacity, fidelity and the boundaries of security key rate. The existence of turbulence in the dust atmosphere will increase the attenuation and bit error rate, but reduce the channel capacity, fidelity and security key rate. It can be seen that the influence of multiple scattering and turbulence on the communication performance, when the visibility of the sand and dust atmosphere are both low, cannot be ignored. In practical applications, the relevant parameters of quantum communication should be adaptively adjusted according to the visibility and turbulence intensity to improve the probability, efficiency and reliability of quantum communication.
EDITOR'S SUGGESTION
2022, 71 (22): 220303.
doi:10.7498/aps.71.20220760
Abstract +
All open quantum systems are affected by environmental noises due to their interactions with the external environment and inevitably suffer from decoherence. Hence, it is fundamentally important and necessary to investigate decoherence suppression for open quantum systems via proper control strategies. Inspired by feed-forward control in the classical control theory, this paper proposes a novel decoherence suppression scheme via weak measurement and environment-assisted measurement. We first take the single-qubit system as an example to illustrate steps of the proposed scheme. To be specific, the single-qubit system is transferred to a state that is more robust to environmental noises via pre-weak measurement operators and feed-forward control operators before the decoherence channel, a measurement is performed on the environment coupled to the protected qubit during the decoherence channel, and the initial state is recovered via reversed feed-forward control operators and post-weak measurement operators after the decoherence channel. The optimum post-weak measurement strength is derived by setting the normalized final state equal to the initial state. By considering the optimum post-weak measurement strength, analytical formulas of the total success probability and the total fidelity are deduced. The proposed scheme is applicable for protecting quantum states from arbitrary decoherence channels with at least one invertible Kraus operator although only the amplitude damping channel and the phase damping channel are taken into account. Provided that the decay rate of the amplitude or phase damping channel is completely known, one can always achieve unit fidelity even for heavy damping cases, which is the biggest advantage of the proposed scheme. Influences of several parameters including strengths of weak measurements, the initial state and the decay rate of the decoherence channel on the performance of decoherence suppression are analyzed, and detailed procedures of a single-qubit pure and mixed state protection are presented on the Bloch sphere, respectively. Subsequently, the Kronecker product is employed to construct operators of dimension
$ 2^N \times 2^N$
, the proposed scheme is extended to the generalN-qubit case, and unified analytical formulas of the total success probability and the total fidelity are deduced. By applying the proposed scheme to the protection of two-qubit entangled states, it is demonstrated that post-weak measurement operators are not necessary sometimes because of the particular structure of two-qubit entangled states. Furthermore, two numerical simulations are designed to enhance the concurrence of two-qubit entangled states and improve the average fidelity of the standard quantum teleportation in a noisy environment. Analytical formulas of the improvement of concurrence and the average teleportation fidelity are deduced, and the superiority of the proposed scheme is highlighted in comparison with unprotected scenarios.
2022, 71 (22): 220304.
doi:10.7498/aps.71.20221312
Abstract +
2022, 71 (22): 220701.
doi:10.7498/aps.71.20220775
Abstract +
The spin relaxation time of alkali atoms in nuclear magnetic resonance gyroscope is usually on the order of 10–5s, which is much less than that in atomic magnetometers. The response of electron paramagnetic resonance signals of atoms with short relaxation time is asymmetric in different directions under oscillating magnetic fields, which makes the measurement results of atomic transverse relaxation time and Larmor frequency different. In this work this phenomenon is analyzed based on Bloch equation theory and the theoretical correction is given. The shorter the relaxation time, the greater the differences of the response intensity and resonance frequency of the electron paramagnetic resonance signal under different magnetic field directions will be. Using this property, the transmission delay time of the system can be measured accurately. In this paper proposed is a method of measuring transverse relaxation time based on the difference between signal phases inX-axis direction andY
-axis direction, which can accurately and quickly measure very short transverse relaxation time. The difference between the half-width fitting method and the phase measurement method is compared by measuring the transverse relaxation times of87Rb atoms under different magnetic field intensities. The half-width fitting method is greatly affected by the transmission delay time and has its measurement limit. The phase measurement method is greatly affected by the angle of the probe light, but the measurement range is wider and the anti-magnetic interference ability is stronger.
NUCLEAR PHYSICS
2022, 71 (22): 222101.
doi:10.7498/aps.71.20220795
Abstract +
We investigate the thermodynamical properties of strange quark matter (SQM) at zero/finite temperature and under constant magnetic field within quasiparticle model. The quark matter symmetry energy, energy per baryon, free energy per baryon, anisotropic pressures are also studied and the result indicates that both the effects of temperature and magnetic field can significantly influence the thermodynamical properties of quark matter and proto-quark stars (PQSs). Our result also indicates that the maximum mass and the core temperature of PQSs not only depends on the heating process at the isentropic stages, but also but also the magnetic field strength and orientation distribution inside the magnetar within quasiparticle model.
2022, 71 (22): 222901.
doi:10.7498/aps.71.20221193
Abstract +
In order to improve the temporal resolution of photomultiplier tubes, our research group has conducted the in-depth research on photomultiplier tubes based on microchannel plates that are widely used at present. The time resolution of photomultiplier tube based on microchannel plate is limited by the transit time of photoelectric signal in each part, including the transit time of photoelectric signal in the transmission process of photocathode to microchannel plate, the transit time of photoelectric signal in microchannel plate time, the transit time of the photoelectric signal from the microchannel plate to the detector anode, and the transit time of the photoelectric signal on the anode to the electrode port. The transit time of the whole process has a certain degree of influence on the time information measurement of the optoelectronic signal. In this study, various parameters affecting the time resolution of the photomultiplier tube are analyzed, and it is found that the different positions of the photoelectron signal on the anode will bring errors to the measurement of the arrival time of the signal at the anode, and the photoelectric signal is transmitted to the electrode port at the affected point of the anode The spent time will cause the signal measurement time to lag behind the real time, which indirectly affects the time resolution of the system. Therefore, a specific study is carried out on the time measurement error of the signal on the anode, and it is determined that the difference of the photoelectron signal on the anode position is an important factor causing the signal time measurement error, and a simple and effective method of compensating for error is proposed. In the research process, the delay line anode is used, and the positional resolution principle of the photoelectric signal is used to obtain the position information of the photoelectron signal on the anode, and the position information is converted into the time information transmitted from the position to the electrode port. The theoretical value of the transit time on the anode is offset, eliminating unnecessary time in the time-of-arrival measurement of the photoelectron signal. The time measurement error of the optoelectronic signal is compensated for by this time information. The experimental results show that the error compensation method can effectively improve the time measurement accuracy of optoelectronic signals, and provide solutions and theoretical basis for improving the time resolution of photomultiplier tubes based on microchannel plates.
ATOMIC AND MOLECULAR PHYSICS
2022, 71 (22): 223101.
doi:10.7498/aps.71.20221052
Abstract +
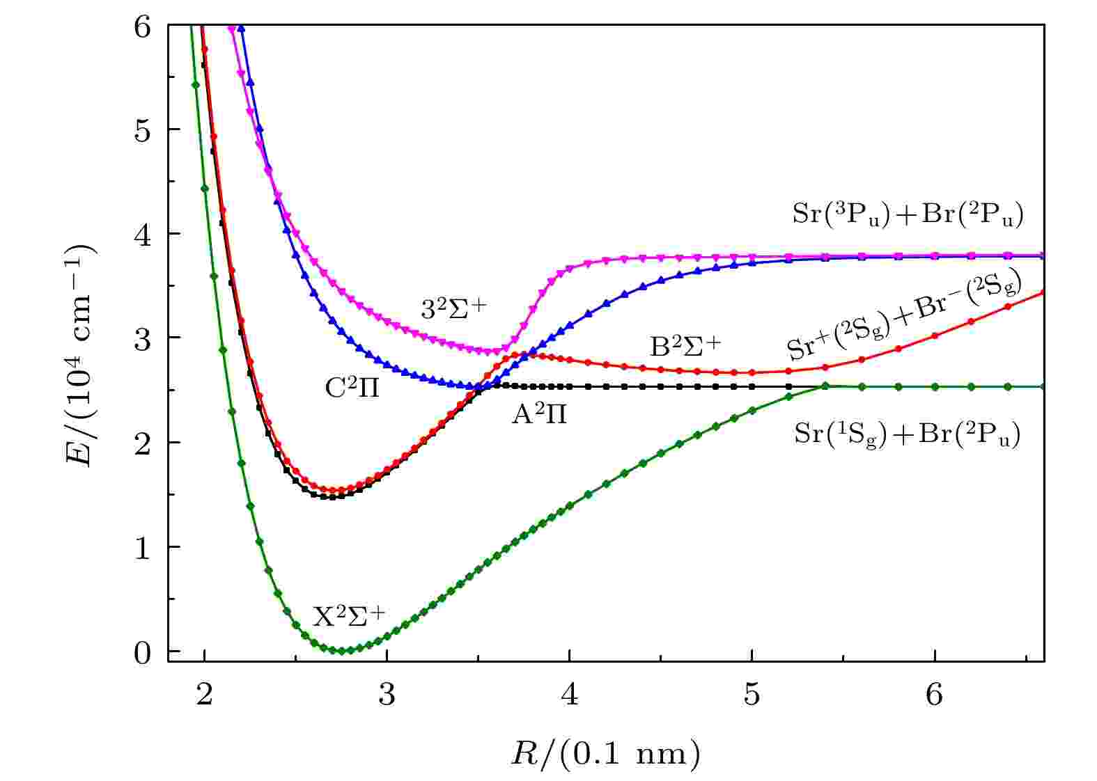
The electronic structures and single point energy of 14 lowest electronic states of88Sr79Br molecule are optimized by using the internal contraction multi-reference configuration interaction method and relativistic effective core pseudo-potential basis. Because88Sr79Br molecule belongs to heavy element system, the single point energy must be corrected to obtain more accurate spectral parameters. Therefore, Davidson is introduced to correct the energy inconsistency, nuclear valence correlation is used to correct the electron correlation effect of inner shell and valence shell, and the relativistic scalar effect is corrected by calculating the third-order Douglas-Kroll-Hess Hamilton single electron integral. According to the single point energy calculated by the modified optimization, the potential energy curves, electric dipole moments, and transition dipole moments of 14 lowest electronic states are obtained. Using the latest LEVEL8.0 program to fit the modified potential energy curve, the spectral constants, molecular constants and vibration energy levels of 5 lowest bound states of88Sr79Br molecule are given. In order to explain the changing trend of spectral constants of homologous compounds, the spectral parameters of each compound are compared and analyzed in this paper. At the same time, the vibration energy levels and molecular constants of88Sr81Br molecule are also fitted and calculated for analyzing the influence of isotopes. The comparative analysis shows that the results of88Sr79Br molecule are in better agreement with the experimental values. Finally, the Franck-Condon factors are gained by fitting the optimized single point energy and transition dipole moment of88Sr79Br molecule. The transition band with the largest factor and obvious diagonalization is selected by analyzing the Franck-Condon factor of each transition band, and whether it meets the conditions for selecting laser cooling molecular system is judged. The radiation lifetimes of the transitions from the lowest two excited states to the ground state are calculated by combining the transition dipole moment, Franck-Condon factor, single point energy and vibration energy level of each electronic state. The results of this paper are in good agreement with the experimental values, which shows that the method in this paper is reliable. These spectral characteristic parameters provide theoretical support for further experimental measurement and construction of molecular laser cooling scheme of88Sr79Br molecule.
ELECTROMAGNETISM, OPTICS, ACOUSTICS, HEAT TRANSFER, CLASSICAL MECHANICS, AND FLUID DYNAMICS
2022, 71 (22): 224101.
doi:10.7498/aps.71.20221284
Abstract +
In this paper, cavity-excited Huygens’ metasurface is proposed for high-efficiency wavefront manipulation. By adjusting the length of electric dipole and magnetic dipole , the proposed Huygens’ metasurface meta unit can provide nearly 360° phase coverage with sufficiently high transmission efficiency. Based on the analysis of the resonance mode of the cavity, the Huygens’ metasurface has successfully performed its function by adopting integrated feeding method. According to the generalized Snell’s law, metasurfaces with different phase gradients are designed. Combined with the cavity structure, one-dimensional Huygens’ metasurfaces excited by cavity is realized, which can directionally emit the electromagnetic waves from the cavity. Both the simulation and experimental results show that the proposed cavity excited metasurfaces can effectively manipulate the direction of the emitted beam. Such a kind of cavity-excited metasurface can flexibly control the emission angle of the electromagnetic wave, reduce the energy loss and improve the efficiency of the electromagnetic wave. These designs have the advantages of compact, light and easy integration.
2022, 71 (22): 224102.
doi:10.7498/aps.71.20221256
Abstract +
The design of electromagnetic device with arbitrary polarization manipulation is the hot spot of the current research. Multifunctional reconfigurable electromagnetic devices have been put into wide applications in radar, satellite communication and other fields. In this work designed is a multifunctional reconfigurable polarization conversion metasurface based on two PIN diodes, which can realize linear polarization conversion, linear-circular polarization conversion and total reflection switching in the different frequency bands, and the multi-function converter can still maintain the high-efficient broadband conversion characteristics when the oblique incidence angle is less than 30 degrees. The polarization conversion and reconfigurability are mainly due to the anisotropy of the structure and the changes of coupling mode in different states of PIN diodes. In addition, the physical mechanism of polarization conversion is explained by surface current. The combined action of electric resonance and magnetic resonance results in polarization conversion. Finally, the experimental results of the sample are in good agreement with the simulation results. The device has the potential application values in polarization manipulation, frequency control, intelligent reflecting surface design, and antenna design and so on.
2022, 71 (22): 224201.
doi:10.7498/aps.71.20220950
Abstract +
In a Λ-type electromagnetically induced transparency system, it shows that on the Doppler-broadened linear absorption background, as the probe intensity increases, the single narrow line-width window gradually evolves into 3 windows and 2 absorption peaks alternately. In this paper, the mechanism of probe intensity is studied in detail by using the dressed-state model. We propose that when the probe field is not so weak, the atomic Raman coherence can be manipulated by its intensity. For a Doppler-broadened system, there will appear the discontinuous energy variation of the dressed-states, and the large Raman loss due to the double resonance for dressed-states, which are the key factors for the evolution of the transparency window.
EDITOR'S SUGGESTION
2022, 71 (22): 224202.
doi:10.7498/aps.71.20221286
Abstract +
We propose a one-dimensional lattice theory scheme based on a coupled optomechanical system consisting of multiple cavity field modes and mechanical modes, where their frequencies can be tuned. In this system, by manipulating parameters to obtain collective dynamical evolution of the system, we study topological properties and topological quantum channels in the system. Firstly, the topological insulator properties and topological quantum channels of the system are studied by modulating the periodic coupling parameters of the system and analyzing the characteristics of the energy spectrum and edge states of the system. It is found that edge state distributions can exhibit flipping processes, which can be applied to quantum information processing. Secondly, based on the scattering theory of topological insulators and the relationship between input and output, the variation characteristics of the steady-state average photon number of the cavity field and the winding number of the reflection coefficient phase are analyzed. It is found that the dissipation of the cavity field has a certain influence on the locality of the distribution of the average photon number in the lattice, and it also indirectly explains the locality of the edge states of the system, and the topological invariants are detected by the winding number. In addition, considering the effect of disordered defects on topological properties, we further analyze their effects on the energy spectrum of the system, the winding number of the reflection coefficient phase and the average photon number of the cavity field. It is found that two defects in the system cause different physical effects, and when their values are small, the edge states of the system are robust to it, which also shows that the system has the characteristics of topological protection. However, when disorder and perturbation are larger than the energy gap, the topological properties of the system will be annihilated, so that the edge states will be indistinguishable, and the topological invariants will change at the same time. The research results of this system can be generalized to other types of models and can be applied to quantum communication and quantum information processing, which will have certain constructive suggestions for the development of future quantum technology.
2022, 71 (22): 224203.
doi:10.7498/aps.71.20221173
Abstract +
2022, 71 (22): 224204.
doi:10.7498/aps.71.20221013
Abstract +
Metasurfaces consist of arrays of artificial atoms arranged on a subwavelength scale, and have significant advantages in modulating the phase, amplitude, and polarization of optical field. Limited by the discrete sampling principle and the assumption of periodicity, the conventional forward design method suffers unavoidable design errors, which easily leads the device performance to degrade. In this paper, a freeform wavelength division multiplexing (WDM) metagrating with a large deflection angle and polarization-insensitive characteristics is inversely designed by using an adjoint multi-objective topology optimization method. The simulation results show that the topology-optimized WDM metagrating has superior polarization in sensitivity compared with the discrete regular structure, with a deflection angle of 70.8° at 510 nm, an absolute deflection efficiency of 48%, and a transmission efficiency of 98% for 852 nm incident light. On this basis, the absolute deflection efficiency can be optimized to more than 70% by using a random initial structure. The freeform WDM metagrating designed in this paper has the advantages of large deflection angle, high efficiency, and low spatial crosstalk, and has potential applications in optical communication, micro and nano-optical field modulation, and Rydberg atom-based microwave measurements.
2022, 71 (22): 224301.
doi:10.7498/aps.71.20220954
Abstract +
2022, 71 (22): 224701.
doi:10.7498/aps.71.20221314
Abstract +
Flow analysis and low-dimensional representation model is of great significance in studying the complex flow mechanism. However, the turbulent flow field has complex and unstable spatiotemporal evolution feature, and it is difficult to establish the low-dimensional representation model for the flow big data. A low-dimensional representation model of complex flow is proposed and verified based on the flow time-history deep learning method. One-dimensional linear convolution, nonlinear full connection and nonlinear convolution autoencoding methods are established to reduce the dimension of unsteady flow time history data. The decoding mapping from low-dimensional space to time domain is obtained to build the representation model for turbulence. The proposed method is verified by using flow around the square clyinder withRe= 2.2×104. The results show that the flow time-history deep learning method can be used to effectively realize the low-dimensional representation of the flow and is suitable for solving the complex turbulent flow problems; the nonlinear one-dimensional convolutional autoencoder is superior to the full connection and linear convolution methods in representing the complex flow features. The method in this work is an unsupervised training method, which can be widely used in single-point-based sensor data processing, and is a new method to study the characteristics of turbulence and complex flow problems.
2022, 71 (22): 224702.
doi:10.7498/aps.71.20221357
Abstract +
The flow around a cylinder is a typical flow acting as the oscillator, and the perturbations can grow with time at a fixed position. This phenomenon can induce the laminar-turbulent transition in the wake, thus increasing the vibrations of the cylinder as well as the noise in the flow system. There exist three control strategies, i.e. the streamwise Lorentz force from the electromagnetic actuator set on the windward surface named windward control, the leeward surface named leeward control, and the whole surface of cylinder named global control, which are adopted to modify the two-dimensional base flow, thereby reducing the growth rates of perturbations in the wake and changing the transition mode. According to the Floquet stability analysis, it is found that the growth rates of the transition modes A and B present small changes in the windward control, while the growth rates of the two modes decrease with the increase of the control number in the other two control cases. Comparing the inviscid growth rates induced by the elliptic instability and the hyperbolic instability with each other, it is observed that the high inviscid growth rate in the windward control can be similar to those without control, while the inviscid growth rates can decrease with the increase of control number in the other two control cases. Three-dimensional direct numerical simulations are performed to validate the control effects. The results shows that the three-dimensional shape of the wake is changed from mode B to mode A when the actuator is set on the leeward surface or the whole surface of the cylinder. This is consistent with the result from the Floquet stability analysis. In addition, the drag of the cylinder reduces 15.2% for the leeward control and 14.4% for the the global control.
PHYSICS OF GASES, PLASMAS, AND ELECTRIC DISCHARGES
EDITOR'S SUGGESTION
2022, 71 (22): 225201.
doi:10.7498/aps.71.20221098
Abstract +
HL-2A tokamak achieved the first ELMy H-mode discharge operation in 2009 under divertor configuration, and many experimental and simulation researches have been carried out to investigate the pedestal magnetohydrodynamic (MHD) instability. However, there are still few studies on the effect of pedestal structure on MHD stability. Therefore, based on HL-2A experimental parameters, equilibria with different pedestal structures are generated by using TOQ code, and the MHD stability of the equilibria is simulated by using the BOUT++ three-field module. The linear simulations show that reducing the pedestal height, increasing the pedestal width, reducing the pedestal current density and reducing the ion density in the pedestal can improve the MHD stability of pedestal. Using the theory of dispersion relation, the simulation results are explained. Under the premise of MHD stability, the maximum pedestal heights corresponding to different pedestal widths are found, and the data are fitted to obtain an empirical formula that can predict pedestal height, and on this basis, considering the kinetic ballooning mode theory, pedestal height and width are predicted simultaneously. The effect of the pedestal structure on the MHD mode structure is investigated, it is found that the pedestal height can affect the radial width of the mode. Nonlinear simulations show that the pre-growth of instability is affected mainly by a single dominant mode, and the growth of the dominant mode to a certain size will cause the collapse of the pedestal and the eruption of the edge localized mode (ELM). The variation of ELM size after ELM eruption is synchronized with the evolution of the dominant mode. Generally, equilibria with larger linear growth rates have larger ELM sizes and a wider range of pedestal collapse in nonlinear simulations. In this work, the scanning of the pedestal data focuses mainly on the width and height of the pedestal, and other parameters such as small radius, toroidal magnetic field, plasma current, and the pedestal safety factor values will be changed in the future based on the work in this paper, with the aim of enriching the HL-2A pedestal database and predicting the pedestal structure more accurately. Finally these results will be integrated under the HL-2A integrated platform, which in turn will provide a reference for HL-2A tokamak H-mode experiments and integrated simulations.
EDITOR'S SUGGESTION
2022, 71 (22): 225202.
doi:10.7498/aps.71.20220948
Abstract +
2022, 71 (22): 225203.
doi:10.7498/aps.71.20221136
Abstract +
CONDENSED MATTER: STRUCTURAL, MECHANICAL, AND THERMAL PROPERTIES
2022, 71 (22): 226101.
doi:10.7498/aps.71.20220896
Abstract +
EDITOR'S SUGGESTION
2022, 71 (22): 226102.
doi:10.7498/aps.71.20221195
Abstract +
In recent years, the development of new semiconductor materials has made an opportunity and challenge for technological innovation and the development of emerging industries. Among them, cadmium zinc telluride materials have highlighted important application prospects due to their excellent properties. The CdZnTe, as the third-generation cutting-edge strategic semiconductor material, has the advantages of high detection efficiency, low dark current, strong portability, and applicability at room temperature without additional cooling system. However, when the cadmium zinc telluride detector is exposed to radiation environment for a long time, it will cause different degrees of radiation damage, which will affect the performance of the device or even fail to work, and greatly shorten the service time of the detector in the radiation field. The transport process of 1.00–14.00 MeV neutrons in CdZnTe material is simulated to obtain the information about the primary knock-on atoms, and then by combining with the cascade collision model, the irradiation of neutrons with different energy in CdZnTe material is analyzed. The damage is simulated and calculated. The calculation results are shown below. The energy of most of the primary knock-on atoms is located at the low-energy end, and with the increase of the incident neutron energy, the types of primary knock-on atoms are more abundant, and the energy also increases gradually. With neutron irradiation of CdZnTe, the non-ionizing energy loss is uniformly distributed along the depth direction in the material, and the non-ionizing energy loss first increases and then decreases with the increase of the incident neutron energy. The calculation results of displacements per atom(dpa) show that the dpa also increases first with the increase of the incident neutron energy. And further analysis shows that the number of Te displacement atom atoms and the number of the Zn displacement atoms both increase first and decrease then with the increase of incident neutron energy, while the number of Cd displacement atoms increases with the increase of incident neutron energy, which is co-modulated by its inelastic scattering cross-section and other nuclear-like reaction cross-sections. The comprehensive analysis shows that with the increase of the incident neutron energy, inelastic scattering becomes the main factor causing the internal displacement damage of the material.
2022, 71 (22): 226601.
doi:10.7498/aps.71.20220631
Abstract +
2022, 71 (22): 226801.
doi:10.7498/aps.71.20220569
Abstract +
CONDENSED MATTER: ELECTRONIC STRUCTURE, ELECTRICAL, MAGNETIC, AND OPTICAL PROPERTIES
2022, 71 (22): 227101.
doi:10.7498/aps.71.20220610
Abstract +
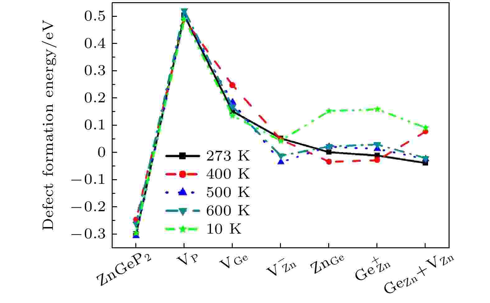
ZnGeP2crystals are the frequency conversion materials with the excellent comprehensive performances in a range of 3–5 μm. However, the overlap of the absorption band and the pump wavelength range of optical parametric oscillator at 8–12 μm limits the application performance of the optical parametric oscillator and makes it impossible to achieve a far-infrared laser output. In this work, the formation energy and migration mechanism of six kinds of defects of ZnGeP2crystal are discussed by density functional theory. The results show that two defective structures of
$\rm{V_P}$
and
$\rm{V_{Ge}}$
are difficult to form, while four defective structures of
$\rm V_{\rm Zn}^ -$
,
$\rm{Z{n_{Ge}}}$
,
$ {\rm Ge}_{\rm Zn}^ + $
and
$\rm{ G{e_{\rm Zn}} + {V_{\rm Zn}}}$
are easy to create. When the number of Ge atoms are slightly more than that of Zn atoms in ZnGeP2crystals, the vacancy defects
$\rm V_{\rm Zn}^ -$
form more easily than antistructure defects
$ {\rm Ge}_{\rm Zn}^ + $
at 10 K, 500 K and 600 K, but the antistructure defects
$ {\rm Ge}_{\rm Zn}^ + $
are easier to form than the vacancy defects
$ {\text{V}}_{\text{Zn}}^{-} $
at 273 K and 400 K. There is a negative correlation between the volume expansion rate and the defect formation energy of ZnGeP2crystal. The larger the volume expansion rate, the lower the defect formation energy is. The differential charge density shows that the electron cloud density among the atoms is enhanced in the defective structures of GeZnand VZn+GeZn. The electron cloud density at the lattices of vacancy defects is enhanced when the vacancy defects (VZnand VGe) and antistructure defects (GeZnand ZnGe) form the joint defects. Comparing with the defect-free cells, the charge of Zn atoms increases significantly, that of Ge is significantly reduced, and that of P does not change in the antistructure defect ZnGeor GeZn. The absorption spectra of ZnGeP2crystal at 10K show that there is the significant absorption in a wavelength range from 0.6 μm to 2.5 μm for the four defective structures: VGe, VZn, ZnGeand GeZn, while the absorption in this range is small for the defective structures VPand GeZn+VZn. The VZnhas the lowest migration energy, while VGehas the highest. The difficulty for VPto migrate depends on the space resistance, while the difficulty for VGeand VZnto migrate depend on the inter-atomic distance. This may be related to the small radius and high proportion of P atoms and the large radius and low proportion of Ge and Zn atom in ZnGeP2crystal.
2022, 71 (22): 227102.
doi:10.7498/aps.71.20221210
Abstract +
After the Fukushima nuclear accident in 2011, U3Si2was predicted to be an important accident tolerant fuel that can replace UO2. The results of recent studies have shown that the simulation at the micro-scale of U3Si2serving as a candidate for accident tolerant fuel is not deep enough. It is not sufficient to build fuel databases and models at a macro-scale to effectively predict some properties of U3Si2. Therefore, employing the first principles to calculate some physicochemical data of U3Si2nuclear fuel has received extensive attention. In previous work, we predicted the ideal strength of U3Si2in several low-index crystal planes/directions by the first-principles computational tensile/shear test (FPCTT/FPCST) approach. However, the fracture behavior of U3Si2has not been explained much. Therefore, in this work, the effects of ideal tensile/shear strain on the chemical bond length and charge density distribution of U3Si2are discussed to analyze the fracture behaviors of U3Si2in these low-index crystal planes/directions. The effect of strain is achieved by using the incremental simulation elements in the specified crystal plane/direction. The crystal structures of U3Si2under different strains are optimized by using the first principles based on density functional theory. The variation ranges of chemical bond length and the charge density distributions of U3Si2under different ultimate strains are summarized and calculated respectively. The results show that the elongation of the U—U bond is the main contributor to the tensile deformation of U3Si2in the [100] crystal direction under tensile load. The toughness of U3Si2in the [001] crystal direction is mainly due to the elongation of the U—Si bond and U—U bond. However, the tensile deformation produced in the [110] crystal direction of U3Si2is mainly related to the elongation of the Si—Si bond. In the (100)[010] slip system, U3Si2has great deformation and the crystal breaks when the Si—Si bond length reaches a limit of 3.038 Å. For the (001)[100], (110)[
$ \bar 1 $
10] and (001)[110] slip systems of U3Si2, the crystal is broken under small shear deformation, and the change of its bond length is not obvious, reflecting that the sudden decrease of the strain energy or stress in these several slip systems may be related to the strain-induced structural phase transition of U3Si2.
EDITOR'S SUGGESTION
2022, 71 (22): 227201.
doi:10.7498/aps.71.20221288
Abstract +
Exciplex-type organic light-emitting diodes (OLEDs) are research focus at present, because of their high-efficiency luminescence at low cost due to the reverse intersystem crossing (RISC, EX1← EX3). Their microscopic processes usually exhibit intersystem crossing (ISC, PP1→ PP3) process dominated by polar pairs, leading the magneto-electroluminescence [MEL, MEL = (ΔEL)/EL × 100%] effect values and the magneto-conductance [MC, MC = (ΔI)/I× 100%] effect values to be both positive, the amplitude of MEL to be greater than that of MC at the same current, and the corresponding magnetic efficiency [Mη, Mη= (Δη)/η× 100%] values to be also positive due to the linear relationship EL
$ \propto \eta\cdot I $
within general current (I) range. Surprisingly, although the MEL value of the device coexisting with exciplex and electroplex is also greater than the MC value at low current, MEL value is less than MC value at high current. In other words, Mηvalue of this device undergoes a conversion from positive to negative with current increasing. In this work, to find out the reason why Mηvalue of exciplex-type OLED formed by TAPC and TPBi shows a negative value under high current and also to study the micro-dynamic evolution mechanism of spin-pair states in this device, three OLEDs are fabricated and their luminescence spectra and organic magnetic field effect curves are measured. The results indicate that the electroplex is produced in the exciplex-type OLED formed by TAPC and TPBi. Since the triplet exciton energy of monomers TAPC and TPBi is higher than those of triplet charge-transfer states of exciplex (CT
${}_3^{\rm{ex}} $
), and the CT
${}_3^{\rm{ex}} $
energy is greater than the energy of triplet charge-transfer states of electroplex (CT
${}_3^{\rm{el}} $
), the CT
${}_3^{\rm{ex}} $
energy can only be transferred to CT
${}_3^{\rm{el}} $
through Dexter energy transfer (DET) process without other loss channels. The electroluminescence (EL) spectrum of this device shows that the luminescence intensity of exciplex is greater than that of electroplex, which indicates that the quantity of exciplex is more than that of electroplex. Besides, EL spectra at different currents prove that the formation rate of exciplex is faster than that of electroplex with current increasing. Owing to less quantity of exciplex at low current, the DET process from CT
${}_3^{\rm{ex}} $
to CT
${}_3^{\rm{el}} $
is too weak to facilitate the RISC process of charge-transfer states of electroplex (CTel). Therefore, the low field amplitude of Mηcurve is positive at low current. The number of spin-pair states of exciplex increases with current increasing, which enhances the DET process. These processes of direct charge carriers trapped and energy transferred critically increase the number of CT
${}_3^{\rm{el}} $
at high current, which greatly strengthens the RISC process of CTel. Therefore, the low field amplitude of Mηcurve changes from positive to negative with current increasing. Furthermore, the Mηcurves of this device are measured when only exciplex exists and only electroplex exists in the employing filter, respectively. As expected, the results confirm the accuracy of the mechanism of the negative value of the total Mηfor this device. Obviously, this work contributes to the comprehension of the internal micro-physical mechanism in OLEDs and the law of interactions between excited states.
EDITOR'S SUGGESTION
2022, 71 (22): 227301.
doi:10.7498/aps.71.20221304
Abstract +
Since British scientists Geim et al. (Novoselov K S, Geim A K, Morozov S V, Jiang D, Zhang Y, Dubonos S V, Grigorieva I V, Firsov A A
2004
Science
306666
) successfully peeded off single-layer graphene from multilayer graphite for the first time in 2004, two-dimensional materials have quickly caught the attention of scientists. Owing to its honeycomb structure, graphene exhibits many novel mechanical, thermal, electrical, and magnetic properties, which have attracted great attention and have broad application prospects in electronic devices and other fields. With the further development of research, more and more two-dimensional materials have been discovered successively, including silicene, germanene, and borylene. These two-dimensional materials have various excellent properties like graphene. Boron is one of the nearest-neighbor elements of carbon, it has proved to be able to form borophene, which has a lot of novel properties, including superconductivity and Dirac fermions. Several polymorphs of monolayer borophene have been synthesized on different metal surfaces, such as Au, Cu, Ag, Ir and Al. Using the nonequilibrium Green's function, we investigate the electronic transport properties of bilayer borophene which was synthesized recently. We first calculate the transmission spectra of different interlayer transition strengths when the electrode has two layers, then we calculate the currents of bilayer borophene under different voltages when the electrode has two layers, which both show bilayer borophene is metallic. With the enhancement of the interlayer transition strength, its conductivity first increases and then decays. We try to change the layer number of electrode. In scheme two, the left electrode is the lower half of the bilayer borophene while the right electrode is the upper half of the bilayer borophene. In scheme three both electrodes are the lower half of the bilayer borophene. In scheme four, both electrodes are the upper half of the bilayer borophene. In scheme five, the left electrode is the upper half of the bilayer borophene while the right electrode is the lower half of the bilayer borophene. We discover that the current decays greatly when the electrode is just one layer. For scheme three and scheme four, both left electrode and right electrode are the lower half of the bilayer borophene or the upper half of the bilayer borophene, the current will rise or decline in volatility. For scheme two or scheme five, the electrode is unsymmetrical, we find that the current will reach a maximum when interlayer transition increases. The reason for the above phenomenon is that the electrical conductivity of the upper half of the bilayer borophene is higher than that of the lower half, which causes the electrons of the lower half of the bilayer borophene to tunnel to the upper half so that the conductivity of bilayer borophene is enhanced when the interlayer transition strength is weak. However, when the interlayer transition strength is great, the frequent interlayer transition of electrons results in large scattering, thus causing its conductivity to decay. Finally, we consider the influence of the on-site disorder on the transport properties of the bilayer borophene, finding that its transport capability will be declined by increasing the disorder strength.
2022, 71 (22): 227401.
doi:10.7498/aps.71.20221034
Abstract +
Ternary transition-metal chalcogenides are a series of compounds that possess both low-dimensional structures and correlated electrons, and display rich electronic ground states, depending on their different compositions. Among the chalcogen (S, Se, Te), Te has lower electronegativity and heavier atomic mass than S and Se. Thus, transition-metal tellurides take on distinct crystal structures, electronic structures and physical properties. In recent years, we have successively discovered novel superconductors Ta4Pd3Te16and Ta3Pd3Te14, topological Dirac semimetals TaTMTe5(TM = Pd, Pt, Ni),etc., further expanding the investigations of physical properties of the family of tellurides and laying a foundation for exploring their potential applications . The basis of further investigating and exploring the potential applications is the obtaining of the high-quality crystals with large dimensions. In this work, we first introduce the whole procedures of the single-crystal growth in growing the four ternary Pd-based tellurides (Ta4Pd3Te16, Ta3Pd3Te14, TaPdTe5, and Ta2Pd3Te5) by employing the self-flux method and chemical vapor transport method, and then give the chemical reaction equations in chemical vapor transport. The superconducting transition width of the Ta4Pd3Te16crystal and Ta3Pd3Te14crystal are as small as 0.57 K and 0.13 K, respectively, and by fitting the temperature-dependent resistivity of the topological insulator Ta2Pd3Te5, the band gap is derived to be 23.37 meV. Finally, we comparatively analyse the crystal-growth processes of the four ternary Pd-based tellurides by employing the flux method, which can provide the inspiration and reference for growing the crystals of other transition-metal tellurides by employing the similar methods.
EDITOR'S SUGGESTION
2022, 71 (22): 227402.
doi:10.7498/aps.71.20221151
Abstract +
In recent years, a large number of novel phenomena such as the breakdown of conventional bulk-boundary correspondence and non-Hermitian skin effect, have emerged in non-Hermitian systems. In this work, we investigate the localization of the eigenstates and the non-Hermitian skin effect of the disordered non-Hermitian Su-Schrieffer-Heeger (SSH) model by inverse participation rate (IPR) and average inverse participation rate (MIPR). We also investigate the bulk-boundary correspondence ratio of the system. Based on the above, we further investigate the effect of disorder on the non-Hermitian skin effect and the topological properties of the NH system. We find that the disorder does not destroy the localization of the topological edge state due to the protection from the topology of the system. But the eigenstates of bulk are greatly affected by the disorder. In the presence of disorder, the eigenstates of the bulk will rapidly extend into the bulk. Thus, the non-Hermitian skin effect is vulnerable to the disorder. When the disorder is enhanced, the non-Hermitian skin effect will be greatly suppressed. We also show that the disorder will reduce the energy gap and imaginary energy of the system. Our study contributes to the further understanding of the non-Hermitian skin effect.
EDITOR'S SUGGESTION
2022, 71 (22): 227801.
doi:10.7498/aps.71.20221166
Abstract +
Metal films with a thickness as low as atomic layer have superior light absorption capabilities and conductive properties, especially the surface plasmons excited at the interface between metal film and dielectric can well capture photons and generate hot carriers, making them more efficient in improving the photoelectric conversion efficiency of solar cells, designing photodetectors in the near-infrared band, and sensors based on surface plasmon. However, there is still a lack of systematic theoretical studies on the surface plasmon and hot carrier properties of metal thin films. Based on the many-body first-principles calculation method, in this paper studied systematically are the surface plasmon properties of Au(111) films with thickness in a range from monolayer to 5 monolayers, and the energy distribution and transport properties of hot carriers generated by surface plasmons. The study results show that Au(111) films have low-loss surface plasmon properties. Meanwhile, the surface plasmons excited at the interface between the Au(111) film and the dielectric are strongly confined, which can enhance the local electric field, thus being crucial in nanophotonics applications. In addition, Au(111) film has a high efficiency generating hot carriers , and the generated hot electrons and hot holes are high in energy, and excellent in mean free path and mean free time. Unexpectedly, the direct current conductivity of Au(111) film is significantly better than that of bulk Au. These results provide new ideas and theoretical basis for the design and fabrication of Au(111) films in optoelectronic devices and energy conversion devices.
INTERDISCIPLINARY PHYSICS AND RELATED AREAS OF SCIENCE AND TECHNOLOGY
COVER ARTICLE
2022, 71 (22): 228101.
doi:10.7498/aps.71.20220995
Abstract +
Conductive channel on the surface of hydrogen terminated diamond with two-dimensional h-BN passivation exhibits high hole mobility. However, the current h-BN passivated diamond mainly uses the method of mechanical peeling, which cannot achieve a large-size conductive channel and is difficult to meet the actual application requirements. In this study, the effect of classical transfer h-BN on the conductive channel on the surface of hydrogen terminated diamond is studied. High-quality single crystal diamond is epitaxially grown by microwave chemical vapor deposition (MPCVD) and the hydrogen terminated diamond is obtained by surface hydrogenation treatment. H-BN/H-diamond heterojunctions with different layers of h-BN are prepared by wetting transfer, and the characteristics of channel carrier transport are systematically studied. The results show that the channel conductivity is significantly enhanced after h-BN transfer, and with the increase of h-BN thickness, the enhancement effect of channel conductivity tends to be stable. The transfer of multilayer h-BN can increase the carrier density on the surface of hydrogen terminated diamond by nearly 2 times, and the square resistance is reduced to 50%. The current results show that the h-BN/H-diamond heterojunction may have a transfer doping effect, resulting in a significant increase in carrier density. With the increase of the channel carrier density, the channel mobility on the surface of the h-BN passivated diamond remains stable. The H-BN absorbs on the surface of the diamond, so that the negative charge originally on the surface of the hydrogen termination moves to the surface of h-BN, and the distance of action increases, weakening the coupling of the negative charge of the hole with the negative charge of the dielectric layer in the conductive channel of the hydrogen terminated diamond, which makes the mobility stable.
2022, 71 (22): 228102.
doi:10.7498/aps.71.20220873
Abstract +
2022, 71 (22): 228201.
doi:10.7498/aps.71.20221155
Abstract +
The quantum dynamics calculations are carried out for the title reaction D +SiD+→D2+Si+to obtain the initial (
$ \nu = 0{\text{ }},j = 0 $
)reaction probability, integral cross section (ICS) and rate constant on the potential energy surface (PES) of Gao, Meng and Song. A total of 110 partial waves are calculated by using the Chebyshev wave packet method with full Coriolis coupling (CC) and centrifugal sudden (CS) approximation in a collision energy range from 1.0 × 10–3to 1.0 eV. The calculated probability decreases with the collision energy increasing except forJ≤40. The calculation results indicate that the CS approximation will overestimate or underestimate the reaction probability . The ICS decreases with the collision energy increasing and shows an oscillatory structure due to the
$\rm{SiH_2^+} $
well on the reaction path. The results show that the neglect of the Coriolis coupling leads to the overestimation of the cross section and the rate constant. Besides, the discrepancy between the integral cross sections from the CC and CS calculations decreases clearly with collision energy increasing. Comparison with the corresponding results of H+CH+reaction indicates that isotope substitution reaction makes the cross section and the rate constant underestimated. The resulting integral reaction cross section displays less oscillatory structure, especially in the exact quantum calculation with the full Coriolis coupling effect taken into consideration. The kinetic isotope effect
$(\kappa_{\rm H+SiH^+}(T)/\kappa_{\rm D+SiD^+}(T))$
is found to decrease with temperature increasing. It can be seen that the reduced mass of reactant can exert a certain effect on dynamic behavior.
2022, 71 (22): 228202.
doi:10.7498/aps.71.20220572
Abstract +
Because sodium is more abundant in earth’s reserves and the lower cost to produce, sodium-ion batteries (SIBs) have become the most popular energy storage system in research after lithium-ion batteries. However, the the lack of suitable anode materials is a major bottleneck for the commercialization of SIBs. Owing to their large specific surface area and high electron mobility, two-dimensional (2D) materials are considered as the promising anode materials. Some 2D materials have already demonstrated remarkable properties, such as 2D BP (1974 mAh·g–1) and BC7(870.25 mAh·g–1). However, most of the predicted 2D materials are difficult to satisfy the various requirements for high-performance battery materials. Therefore, it is still necessary to find a new 2D material with excellent properties as electrode material. Recently, Ye et al. [Ye X J, Lan Z S, Liu C S
2021
J. Phys. condens. Mat.
33315301
] predicted a potential 2D material named germanether. The germanether exhibits high electron mobility, which is higher than that of phosphine and MoS2, indicating its great potential applications in Nano Electronics. Therefore, by first-principles calculations based on density functional theory (DFT), the electrochemical properties of germanether as an anode material for SIBs are fully investigated. The computation results reveal that Na atoms can be adsorbed on germanether without clustering, and the adsorbed energy of Na-ion on the germanether is –1.32 eV. Then the charge redistribution of the whole system is also investigated through Mulliken charge population. In the adsorption process, Na atom transfers 0.71e to germanether. Even at low intercalated Na concentration, the Na adsorbed germanether system demonstrates metallic characteristics, showing good electronic conductivity. Two possible diffusion paths of material are calculated: one is along the armchair direction and the other is along the zigzag direction. The diffusion barrier along the zigzag direction is 0.73 eV for the most likely diffusion path, which is slightly higher than the diffusion barrier of MoS2, but still lower than many electrode materials used today. Meanwhile, germanether has a suitable specific energy capacity (167.1 mAh·g–1) and open circuit voltage (1.12 V). The volume change rate is only 10.8 %, which is lower than that of phosphorene and graphite. Based on the above results, germanether can serve as a potential anode material for SIBs.
2022, 71 (22): 228401.
doi:10.7498/aps.71.20221065
Abstract +
In the last few decades, the kernel method has been successfully used in the field of adaptive filtering to solve nonlinear problems. Mercer kernel is used to map data from input space to reproducing kernel Hilbert space (RKHS) by kernel adaptive filter (KAF). In regenerated kernel Hilbert spaces, the inner product can be easily calculated by computing the so-called kernel trick. The Kernel adaptive filtering algorithm is superior to common adaptive filtering algorithm in solving nonlinear problems and nonlinear channel equalization. For nonlinear problems, a robust kernel least inverse hyperbolic sine (KLIHS) algorithm is proposed by combining the kernel method with the inverse of hyperbolic sine function.The main disadvantage of KAF is that the radial-basis function (RBF) network grows with every new data sample, which increases the computational-complexity and requires more momories. The vector quantization (VQ) has been proposed to address this problem and has been successfully applied to the current kernel adaptive filtering algorithm. The main idea of the VQ method is to compress the input space through quantization to curb the network-size growth. In this paper, vector quantization is used to quantify the input spatial data, and a quantized kernel least inverse hyperbolic sine (QKLIHS) algorithm is constructed to restrain the growth of network scale. The energy conservation relation and convergence condition of quantized kernel least inverse hyperbolic sine algorithm are given. The simulation results of Mackey-Glass short-time chaotic time series prediction and nonlinear channel equalization environment show that the proposed kernel least inverse hyperbolic sine algorithm and quantized kernel least inverse hyperbolic sine algorithm have advantages in convergence speed, robustness and computational complexity.
GEOPHYSICS, ASTRONOMY, AND ASTROPHYSICS
2022, 71 (22): 229401.
doi:10.7498/aps.71.20220655
Abstract +
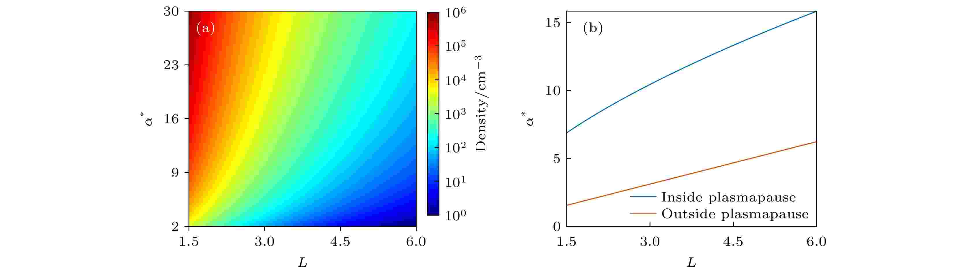
Plasmaspheric hiss is an important wave mode in the Earth’s radiation belts. Hiss waves can scatter energetic electrons into loss cones to precipitate into the atmosphere, and therefore become an important source of fluctuations, leading the radiation belt to lose electrons . As a function of electron energy and pitch angle, the diffusion coefficient of hiss waves for radiation belt electrons is significantly influenced by the solar wind and geomagnetic activity, and also strongly depends on the spatial position, the background magnetic field, and the plasma density distribution. In order to quickly obtain the diffusion coefficients of hiss waves on electrons in the radiation belt for modelling the global dynamics of the radiation belt, we systematically calculate the diffusion coefficients of hiss waves on electrons in the radiation belt by using the full diffusion code (FDC), and build a four-dimensional matrix database of diffusion coefficients for the spatial regionL= 1.5–6, the cold plasma parameterα*= 3–30, electron energy 1 keV–10 MeV, and electron throw angle 0°–90°. According to the database, we can quickly obtain diffusion coefficients with differentLandα*values through linear interpolations. By comparing the errors between diffusion coefficients calculated by the FDC code and those linearly interpolated from the diffusion coefficient database, the accuracies of interpolated coefficients are validated, showing that most of the errors lie in 10%. The four-dimensional database of hiss wave pitch angle diffusion coefficients for radiation belt electrons and the validated linear interpolation method established in this paper can significantly reduce the time required to obtain global information about hiss wave diffusion coefficients, thereby rapidly improving the computational efficiency of carrying out simulations of spatial and temporal changes in the radiation belts over long periods of time, which in turn is expected to provide favourable conditions for the development of dynamic forecasting models of the Earth's radiation belts.
2022, 71 (22): 229501.
doi:10.7498/aps.71.20221283
Abstract +
EDITOR'S SUGGESTION
2022, 71 (22): 229701.
doi:10.7498/aps.71.20221097
Abstract +
The simulation of X-ray pulsar observation signals at spacecraft is of great significance in verifying pulsar signal processing methods and navigation schemes. The efficiency of pulsar signal simulation algorithm can be significantly improved by establishing the relationship between photon arrival time and phase at spacecraft. At present, the frequency change of the received pulsar signal is not considered in the model for the relation between photon arrival time and phase at spacecraft, which leads the calculation accuracy to decrease greatly. To solve this problem, a model for the relation between photon arrival time and phase is established with the first derivative and second derivative of frequency taken into consideration. Based on this model, a new simulation method of observation pulsar signal at a spacecraft is proposed, which not only ensures high efficiency, but also improves the simulation accuracy. The proposed method is verified from three aspects. Firstly, the correctness of the proposed method is proved by comparing the cumulative pulse profile from the simulation data with the standard pulse profile, and the results show that the standard pulse profile can be recovered by the simulation data from the proposed method. Secondly, through the comparison of experimental results with the observational data from RXTE (Rossi X-ray timing Explorer), the correctness of the proposed method is further verified. The experimental comparison results show that the absolute difference in searched frequency between simulated data and observational data for the Crab pulsar is less than 10–4, which sufficiently validates the method. Finally, the simulation efficiency and accuracy of the proposed method are compared with those of other methods to prove the superiority of the proposed method over the existing methods. The comparison results show that the simulation speed of the proposed method can be increased by up to 3 orders of magnitude compared with that of the iterative method or the method of establishing the real-time photon arrival rate function at the spacecraft, which ensures the high efficiency of the signal simulation algorithm. And comparing with the case without considering the frequency change, the Pearson correlation coefficient is increased by up to 350.0%, significantly improving the calculation accuracy. The proposed method can be used to verify the X-ray pulsar signal processing and navigation algorithms.




