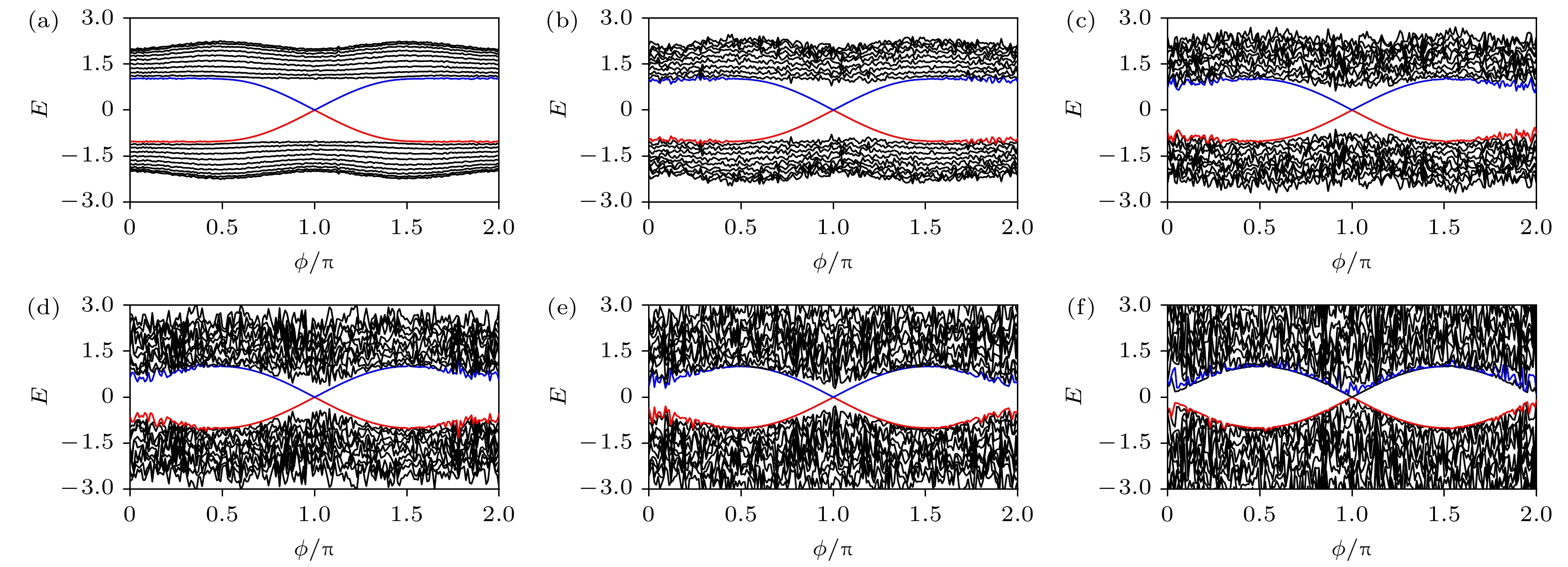
We propose a one-dimensional lattice theory scheme based on a coupled optomechanical system consisting of multiple cavity field modes and mechanical modes, where their frequencies can be tuned. In this system, by manipulating parameters to obtain collective dynamical evolution of the system, we study topological properties and topological quantum channels in the system. Firstly, the topological insulator properties and topological quantum channels of the system are studied by modulating the periodic coupling parameters of the system and analyzing the characteristics of the energy spectrum and edge states of the system. It is found that edge state distributions can exhibit flipping processes, which can be applied to quantum information processing. Secondly, based on the scattering theory of topological insulators and the relationship between input and output, the variation characteristics of the steady-state average photon number of the cavity field and the winding number of the reflection coefficient phase are analyzed. It is found that the dissipation of the cavity field has a certain influence on the locality of the distribution of the average photon number in the lattice, and it also indirectly explains the locality of the edge states of the system, and the topological invariants are detected by the winding number. In addition, considering the effect of disordered defects on topological properties, we further analyze their effects on the energy spectrum of the system, the winding number of the reflection coefficient phase and the average photon number of the cavity field. It is found that two defects in the system cause different physical effects, and when their values are small, the edge states of the system are robust to it, which also shows that the system has the characteristics of topological protection. However, when disorder and perturbation are larger than the energy gap, the topological properties of the system will be annihilated, so that the edge states will be indistinguishable, and the topological invariants will change at the same time. The research results of this system can be generalized to other types of models and can be applied to quantum communication and quantum information processing, which will have certain constructive suggestions for the development of future quantum technology.