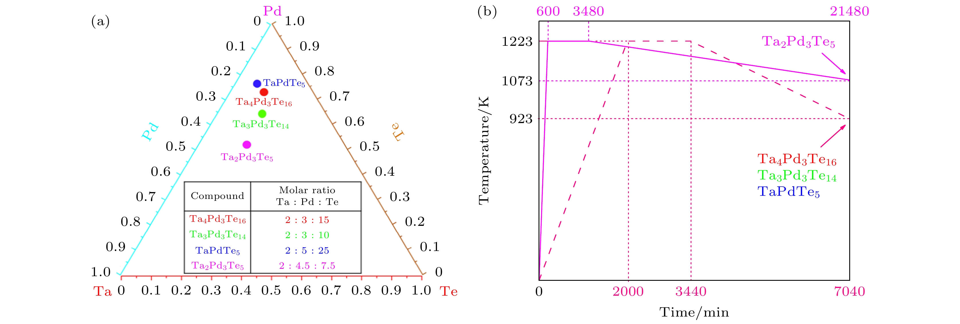
| [1] |
Niu Jia-Lin, Dong Si-Yuan, Wei Yong-Xing, Jin Chang-Qing, Nan Rui-Hua, Yang Bin.Phase transition characteristics, electrical and optical properties of AgNbO3crystals grown by flux method. Acta Physica Sinica, 2024, 73(3): 038101.doi:10.7498/aps.73.20230984 |
| [2] |
Dong Xiao-Li, Jin Kui, Yuan Jie, Zhou Fang, Zhang Guang-Ming, Zhao Zhong-Xian.New progress of FeSe-based superconducting single crystals and films: Spin nematicity, electronic phase separation, and high critical parameters. Acta Physica Sinica, 2018, 67(20): 207410.doi:10.7498/aps.67.20181638 |
| [3] |
Mu Gang, Ma Yong-Hui.Single crystal growth and physical property study of 1111-type Fe-based superconducting system CaFeAsF. Acta Physica Sinica, 2018, 67(17): 177401.doi:10.7498/aps.67.20181371 |
| [4] |
Yu Jia, Liu Tong, Zhao Kang, Pan Bo-Jin, Mu Qing-Ge, Ruan Bin-Bin, Ren Zhi-An.Single crystal growth and characterization of the 112-type iron-pnictide EuFeAs2. Acta Physica Sinica, 2018, 67(20): 207403.doi:10.7498/aps.67.20181393 |
| [5] |
Yi Chang-Jiang, Wang Le, Feng Zi-Li, Yang Meng, Yan Da-Yu, Wang Cui-Xiang, Shi You-Guo.Research progress of single crystal growth for topological semimetals. Acta Physica Sinica, 2018, 67(12): 128102.doi:10.7498/aps.67.20180796 |
| [6] |
Yin Jian, Chen Shao-Hua, Wen Cheng-Wei, Xia Li-Dong, Li Hai-Rong, Huang Xin, Yu Ming-Ming, Liang Jian-Hua, Peng Shu-Ming.Crystallization behaviors of deuterium in glass microsphere. Acta Physica Sinica, 2015, 64(1): 015202.doi:10.7498/aps.64.015202 |
| [7] |
Zhu Shun-Ming, Gu Ran, Huang Shi-Min, Yao Zheng-Grong, Zhang Yang, Chen Bin, Mao Hao-Yuan, Gu Shu-Lin, Ye Jian-Dong, Zheng You-Dou.Influence and mechanism of H2 in the epitaxial growth of ZnO using metal-organic chemical vapor deposition method. Acta Physica Sinica, 2014, 63(11): 118103.doi:10.7498/aps.63.118103 |
| [8] |
Wu Liang-Liang, Zhao De-Gang, Li Liang, Le Ling-Cong, Chen Ping, Liu Zong-Shun, Jiang De-Sheng.Influence of growth conditions on the lateral grain size of AlN film grown by metal-organic chemical vapor deposition. Acta Physica Sinica, 2013, 62(8): 086102.doi:10.7498/aps.62.086102 |
| [9] |
Yang Fan, Ma Jin, Kong Ling-Yi, Luan Cai-Na, Zhu Zhen.Structural, optical and electrical properties of Ga2(1-x)In2xO3 films prepared by metalorganic chemical vapor deposition. Acta Physica Sinica, 2009, 58(10): 7079-7082.doi:10.7498/aps.58.7079 |
| [10] |
Guo Ping-Sheng, Chen Ting, Cao Zhang-Yi, Zhang Zhe-Juan, Chen Yi-Wei, Sun Zhuo.Low temperature growth of carbon nanotubes by chemical vapor deposition for field emission cathodes. Acta Physica Sinica, 2007, 56(11): 6705-6711.doi:10.7498/aps.56.6705 |
| [11] |
Zeng Chun-Lai, Tang Dong-Sheng, Liu Xing-Hui, Hai Kuo, Yang Yi, Yuan Hua-Jun, Xie Si-Shen.Controllable preparation of SnO2 one-dimensional nanostructures by chemical vapor deposition. Acta Physica Sinica, 2007, 56(11): 6531-6536.doi:10.7498/aps.56.6531 |
| [12] |
ZHAO LI-ZHU, SHEN MENG-YAN, T. GOTO.GROWING N-SALICYLIDENEANILINE (SA) SINGLE CRYSTAL BY PHYSICAL VAPOUR DEPOSITATION AND ITS POLARIZATION PROPERTY. Acta Physica Sinica, 2001, 50(8): 1540-1544.doi:10.7498/aps.50.1540 |
| [13] |
XU ZHENG, ZHAO XIAO-RU, WU WEN-BIN, SUN XUE-FENG, ZHOU GUI-EN, LI XIAO-GUANG, ZHANG YU-HENG.GROWTH CHARACTERISTICS OF Bi2Sr2CaCu2Oy SINGLE CRYSTALS USING SELF-FLUX. Acta Physica Sinica, 1996, 45(9): 1562-1569.doi:10.7498/aps.45.1562 |
| [14] |
Yu Chao-Wen, He Pi-Mo, Xu Ya-Bo, Qi Zhong-Fu, Li Wen-Zhu.. Acta Physica Sinica, 1995, 44(3): 488-491.doi:10.7498/aps.44.488 |
| [15] |
WANG YOU-WEN, XU YU-QIN, DING ZI-SHANG, YAO HONG-NIAN.WHIRLPOOL STRUCTURE IN THE PROCESSES OF MICROCRYSTAL GROWTH BY CVD METHODS. Acta Physica Sinica, 1992, 41(10): 1627-1631.doi:10.7498/aps.41.1627 |
| [16] |
GE CHUAN-ZHEN, XU XIU-YING, FENG DUAN.DISLOCATIONS AND INCLUSIONS IN CZOCHRALSKI METHOD-GROWN YAG SINGLE CRYSTALS. Acta Physica Sinica, 1982, 31(3): 415-418.doi:10.7498/aps.31.415 |
| [17] |
GE CHUAN-ZHEN, XU XIU-YING, FENG DUAN.THE NEEDLE-LIKE STRESS ZONES AND DISLOCATIONS DUE TO CONSTITUTIONAL SUPERCOOLING IN CZOCHRALSKI METHOD-GROWN YAG SINGLE CRYSTALS. Acta Physica Sinica, 1981, 30(2): 218-223.doi:10.7498/aps.30.218 |
| [18] |
MING NAI-BEN, HONG JING-FEN, SUN ZHENG-MIN, YANG YONG-SHUN.ROTATIONAL STRIATIONS IN CZOCHRALSKI-GROWN LiNbO3 SINGLE CRYSTALS. Acta Physica Sinica, 1981, 30(12): 1672-1675.doi:10.7498/aps.30.1672 |
| [19] |
LIU JI-ZHE, JIN TONG-ZHENG, LIU GONG-QIANG.FLUX GROWTH OF GGG CRYSTALS AND DETERMINATION OF THE NUCLEATION TEMPERATURE. Acta Physica Sinica, 1980, 29(1): 117-121.doi:10.7498/aps.29.117 |
| [20] |
DENG ZHAO-DE, SHAO SHI-PING, LIANG HONG-LIN.DIELECTRIC AND PYROELETRIC PROPERTIES OF SINGLE CRYSTAL TGS GROWN BY THE METHOD OF CHANGING SOLVENT. Acta Physica Sinica, 1980, 29(3): 389-391.doi:10.7498/aps.29.389 |