The development of supercritical fluid technology is becoming more and more mature. The research on the adsorption behaviors of supercritical fluid in nanoporous materials has theoretical significance and application value for the development and application of supercritical fluid technology. In this paper, the grand canonical Monte Carlo (GCMC) method is used to simulate the adsorption behaviors of N
2in single-walled carbon nanotubes under supercritical condition and subcritical condition, and the isosteric heat of adsorption and integral molar enthalpy change in different adsorption systems are discussed. The results show that the adsorption isotherms of N
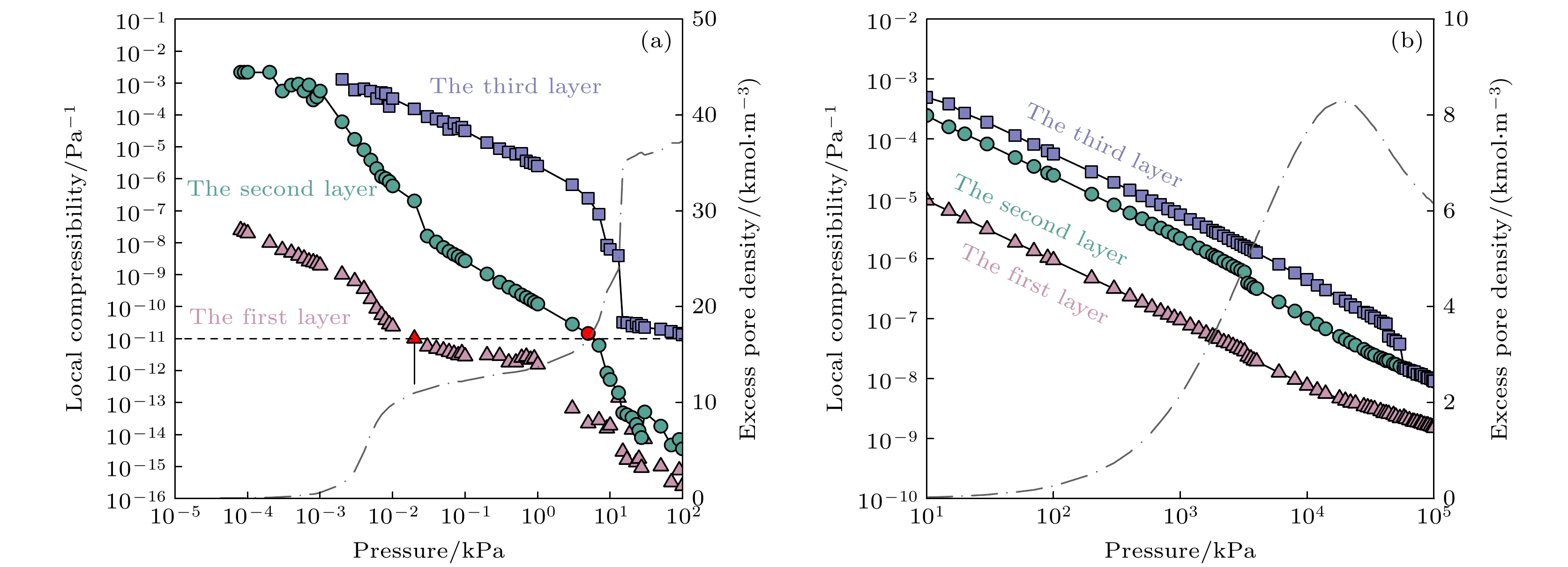
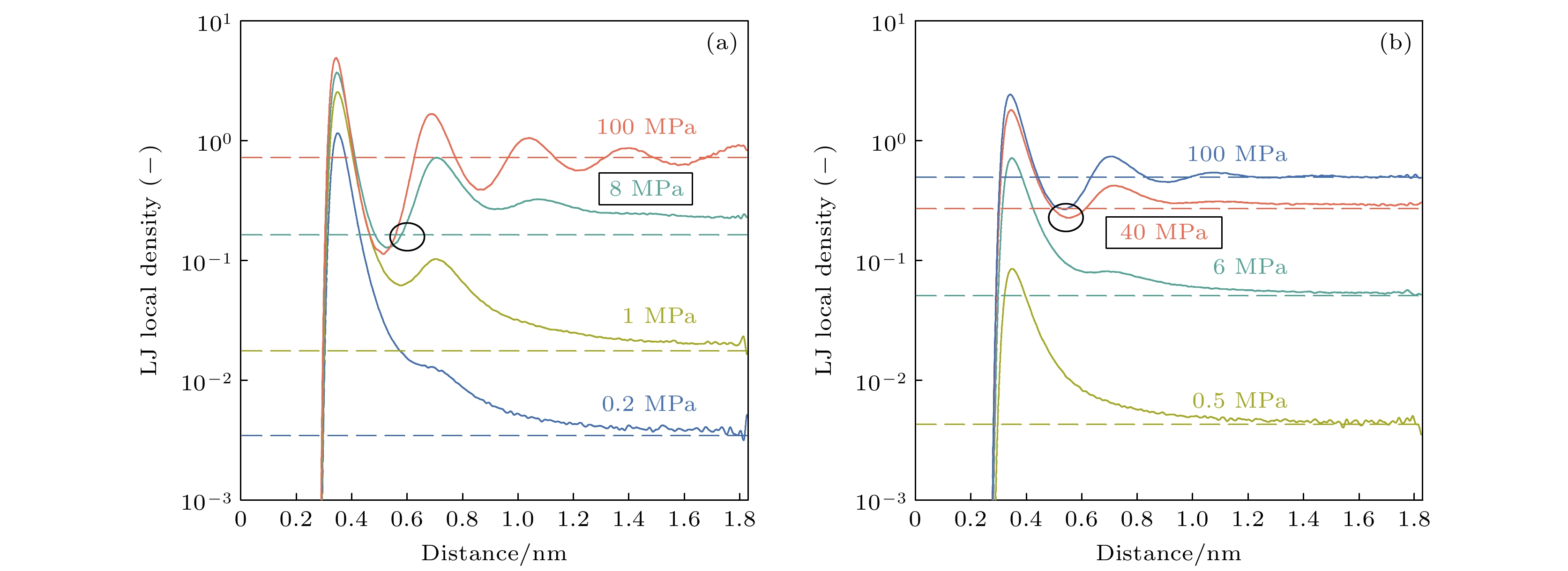
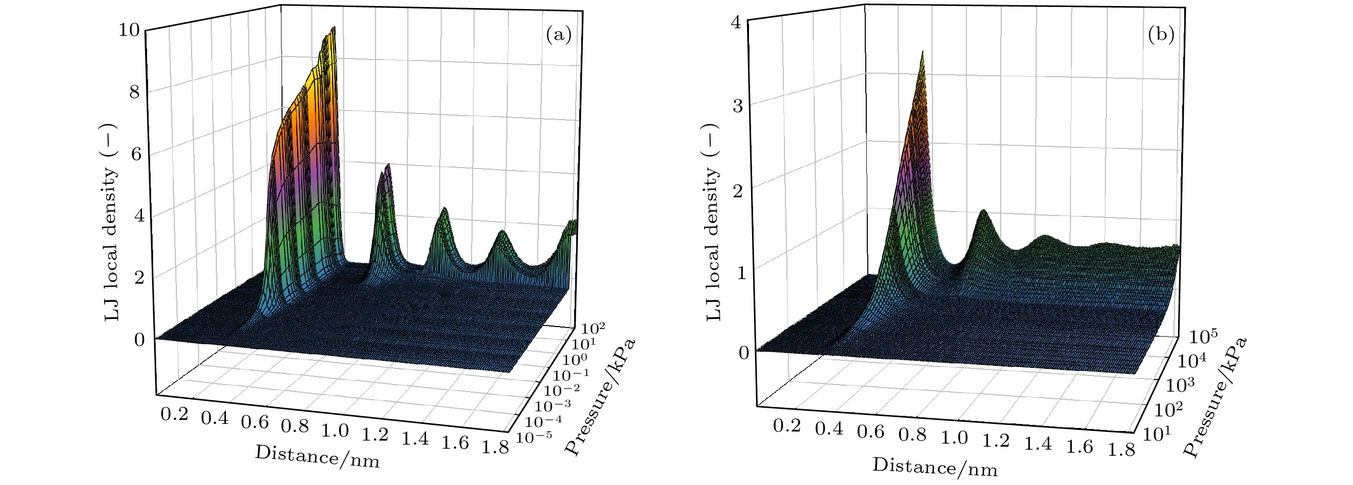
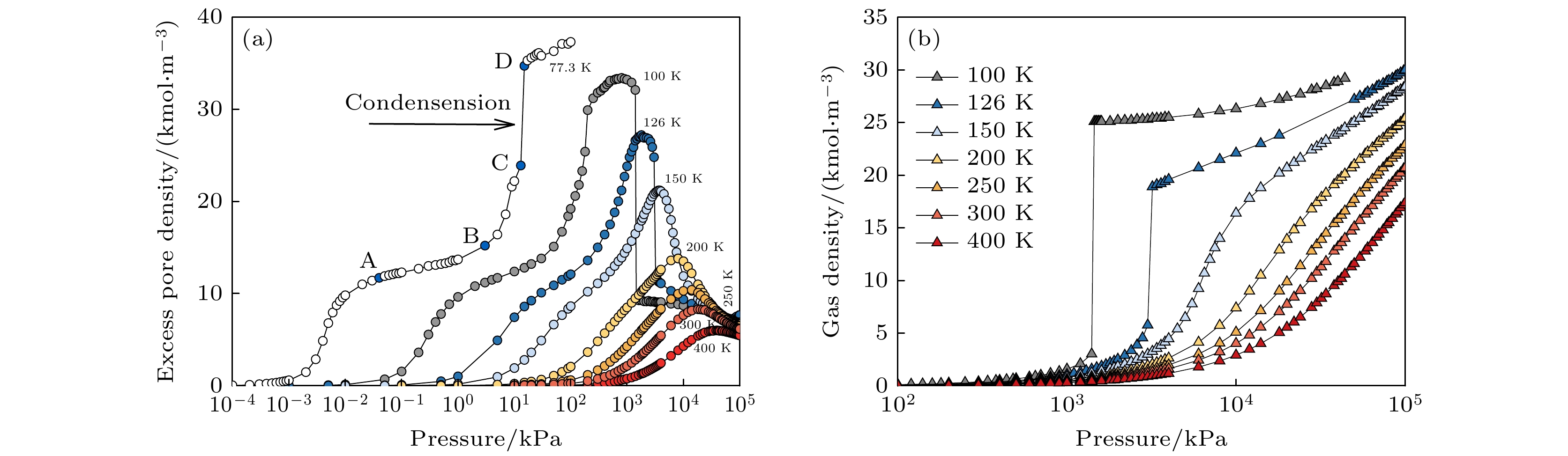
2in SWCNT do not strictly follow the layered adsorption mechanism under supercritical condition, as a result of the increase of molecular thermal motion, the degree of free mobility becomes higher, and it is easier for nitrogen molecule to intersperse and jump between different molecular layers. The nitrogen adsorption isotherm has a peak, which decreases gradually with the increase of temperature, while the critical pressure at peak increases with the temperature increasing. Around the critical point temperature (126 K), a small change in pressure can cause large fluctuations in the bulk gas phase density, resulting in a sharp drop in the adsorption isotherm after peaking. What is different from the subcritical condition is that the adsorption peak of local density distribution curve of the fluid under supercritical condition cannot represent the increase of excess adsorption capacity, and the influence of gas phase density on the adsorption process cannot be ignored. By studying the adsorption integral molar enthalpy under the supercritical condition, it is found that the excess integral molar enthalpy decreases with the pore size increasing; the adsorption integral molar enthalpy decreases with the augment of pore size at lower pressure, but due to a fact that the proportion of gas phase fluid in large-pore SWCNTs increases at higher pressure, on the contrary, it increases with the pore size at higher pressure increasing.