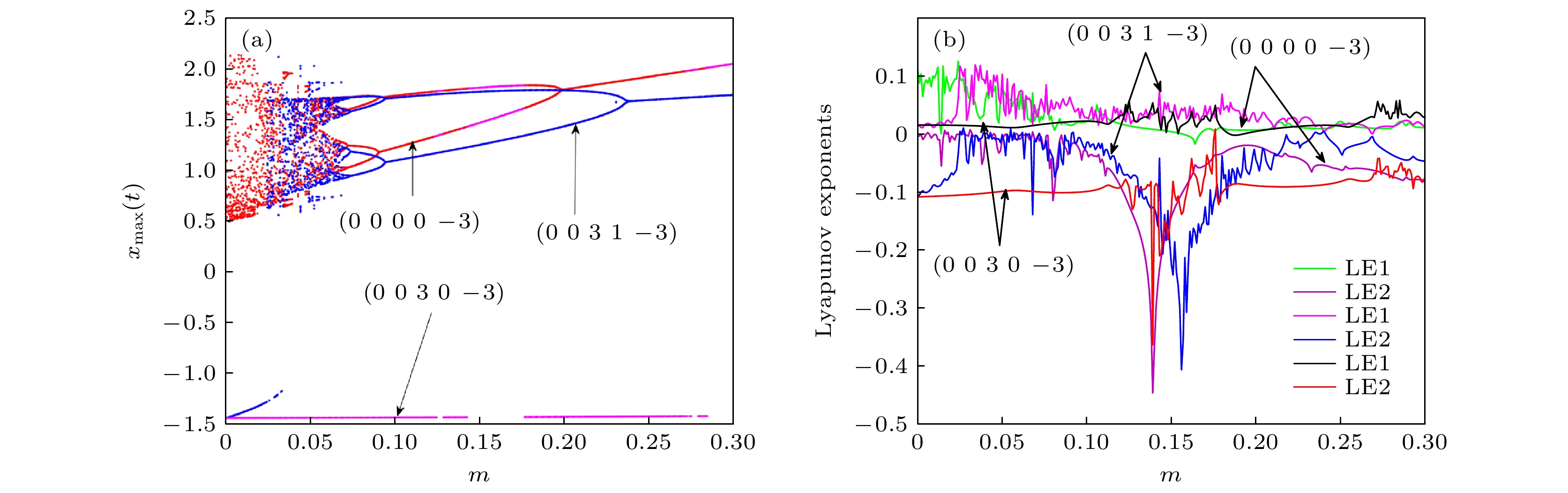
There is heterogeneity among different neurons, and the activities of neurons are greatly different, so the coupling between heterogeneous neurons can show richer dynamic phenomena, which is of great significance in understanding the neural function of the human brain. Unfortunately, in many studies of memristive coupled neurons, researchers have considered two adjacent identical neurons, but ignored the heterogeneous neurons. In this paper, two models are chosen, i.e. a Hindmarsh-Rose neuron model and a Hopfield neuron model, which are very different from each other. The proposed fractional-order linear memristor and fractional-order hyperbolic memristor simulated neural synapses are introduced into the two heterogeneous neuron models, considering not only the coupling between the two neurons, but also the coupling between single neurons. The self-coupling of neurons, a five-dimensional fractional memristive coupled heterogeneous neuron model, is established. In the numerical simulation of the new neuron model, the phase diagrams, bifurcation diagrams, Lyapunov exponent diagrams, and attraction basins are used to demonstrate the changes in coupling strength and other parameters in the memristive coupled heterogeneous neuron model, the new neuron model performance coexistence of different attractors. On the other hand, by changing the initial state of the system while keeping the relevant parameters of the system unchanged, the multistable phenomenon of the coupled heterogeneous neuron model can be observed. Using the phase diagram, the coexistence of different periods, and the phenomenon of period and chaos can be clearly observed. The coexistence of different attractor states can also be observed in the attractor basin. This has many potential implications for studying dynamic memory and information processing in neurons. Uncovering different types of multistable states from a dynamical perspective can provide an insight into the role of multistable states in brain information processing and cognitive function. Finally, the neuron model is implemented based on the micro control unit of the advanced RISC machine, and the phase diagram is observed under some parameters of the coupled neuron model on an oscilloscope. The experimental results show the validity of the theoretical analysis.