Noise is a signal. Low-frequency noise with a 1/
f-type spectral density (1/
fnoise) has been observed in a wide variety of systems. There are plenty of physical processes under the 1/
fnoise phenomenon. It is not only a useful tool for scientific research, but also a quantitative probe for the performance of electronic devices. In this paper, the 1/
fnoise models are summarized from the general mathematical forms to physical processes. Based on Markov process and diffusion process, two general mathematical models of 1/
fnoise are introduced respectively. On this basis, tracing the development history, several typical physical models are described, including Mc Whorter model, Hooge model, Voss-Clarker model, Dutta-horn model, interference model and unified Hung model. The advent of the two-dimensional material graphene offers unique opportunities for studying the mechanism of 1/
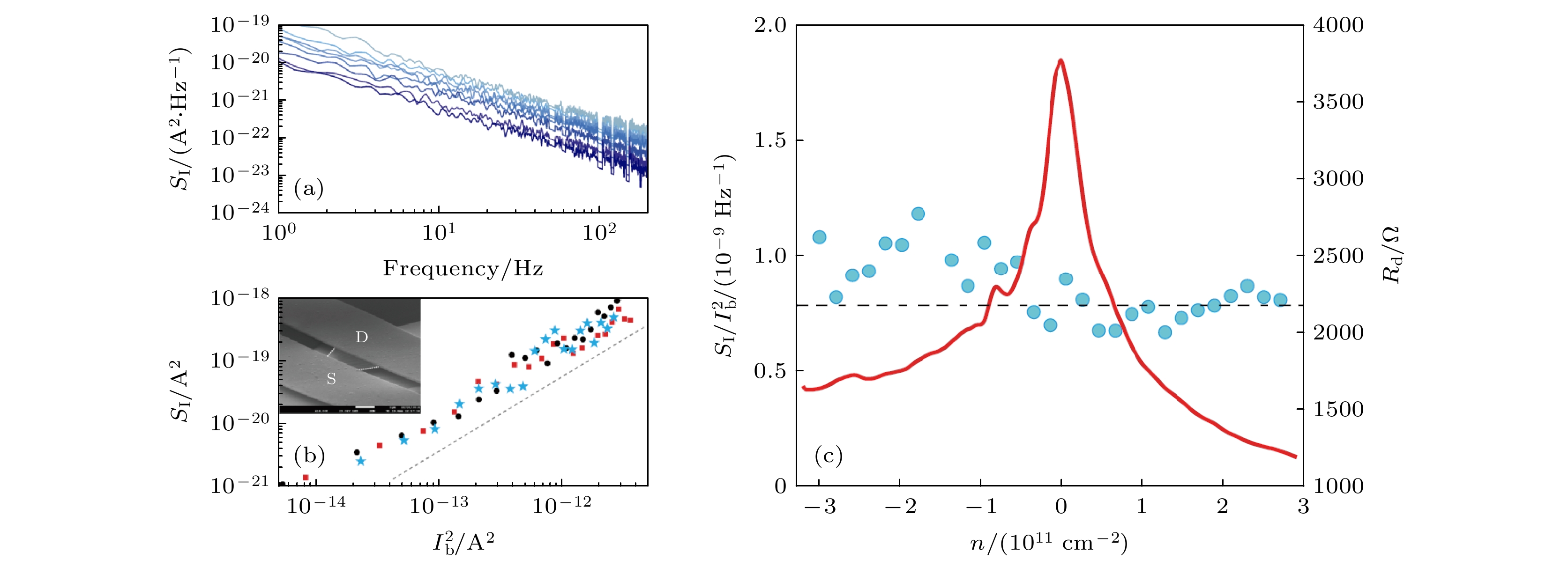
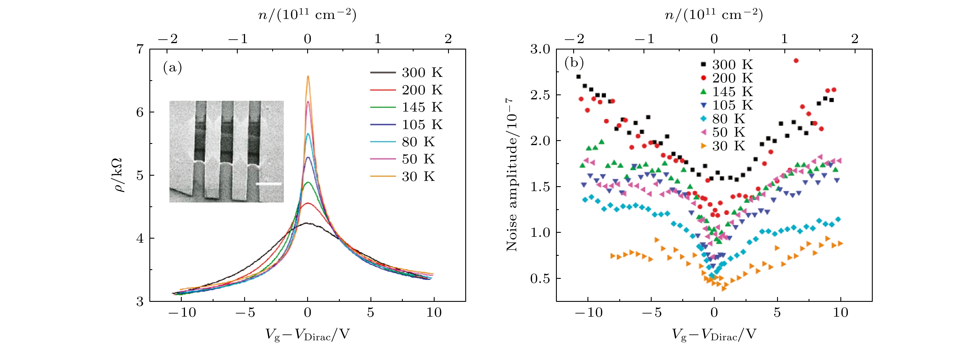
fnoise. In the fact of the cloudy and even contradictory conclusions from different reports, this paper combs the consensus accepted widely. An analysis model based on three-level classification for the graphene low-frequency noise study is built, which divides the noise into intrinsic background 1/
fnoise, 1/
f-like noise and Lorentz-like noise. Typical research on the related mechanism at each level is analyzed, and the dominant mechanisms are summarized. Further, we focus on the gate-modulated characteristic spectrum shape of 1/
fnoise from different reported experiments, which may be a key to the material internal scattering mechanism and charge distribution. The experimental measurements show that the characteristic shape is variable, and mainly exists in three forms: V-type, Λ-type and M-type. Through the comparative analysis of graphene cleanliness, bias current (voltage) and other experimental parameters, the possible causes of the complexity and variability of the characteristic shape are analyzed, showing that the main reason may be that the experimental parameters are not strictly controlled, and the selection of measuring point is unreasonable. In order to capture the accurate noise characteristics and reveal the noise mechanism clearly, a standard 1/
fnoise measurement paradigm is proposed in this work to guide the effective research on graphene 1/
fnoise and the distinction betweenintrinsic noise and extrinsic noise. The standard paradigm includes three processes. The first process is to prepare suspended graphene samples, the second one is to remove the surface contamination by using the methods such as current annealing, and the third one is to test the curve of the 1/
fnoise amplitude versus the bias voltage or current. Based on this curve, suitable test points can be selected for different measurement schemes. The proposed standard intrinsic background 1/
fnoise measurement paradigm may be expected to clarify and reveal the characteristics of graphene 1/
fnoise.