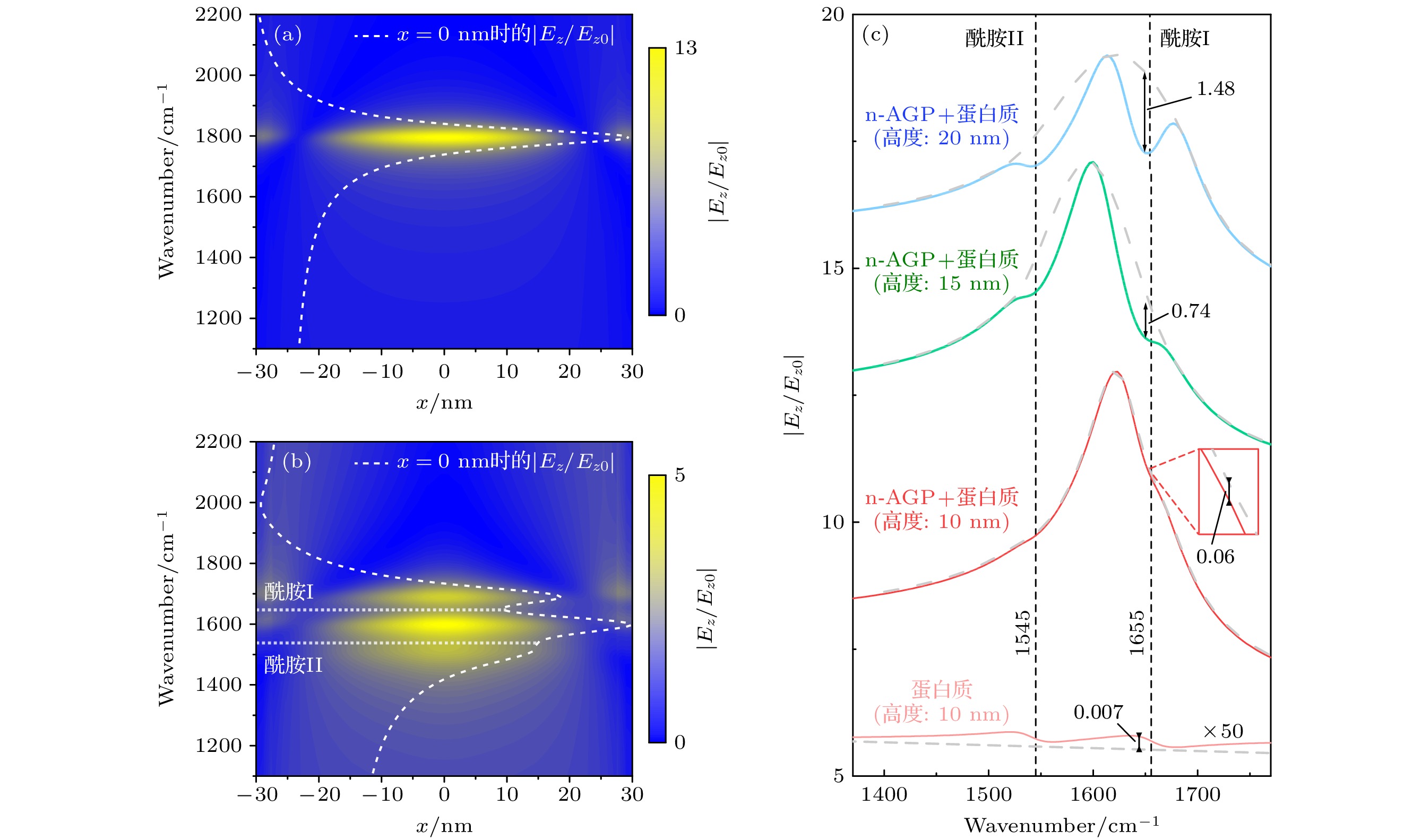
Nano-infrared spectroscopy (nano-IR) technology can exceed the diffraction limit of light, achieving infrared spectroscopic detection with a spatial resolution of about 10 nm, which is an important technical means for studying the chemical composition and structure of molecules on a nanoscale. However, the weak infrared absorption signals of nanoscale materials pose a significant challenge due to the large mismatch between their dimensions and the wavelength of infrared light. The infrared absorption signals of molecular vibrational modes are proportional to the squares of the electromagnetic field intensities at their positions, implying that higher electromagnetic field intensity can significantly improve the sensitivity of molecular detection. Acoustic graphene plasmons (AGPs), excited by the interaction between free charges in graphene and image charges in metal, exhibit strong optical field localization and electromagnetic field enhancement. These properties make AGPs an effective platform for enhancing nano-IR detection sensitivity. However, the fabrication of graphene nanostructures often introduces numerous edge defects due to the limitations of nanofabrication techniques, significantly reducing the electromagnetic field enhancement observed in experiments. Here, we use finite element simulation to theoretically propose a tunable enhanced nano-IR detection platform based on nanocavity-acoustic graphene plasmons (n-AGPs), which utilizes a graphene/air gap/gold nanocavity structure. This platform avoids needing the nanofabrication of graphene, thereby preventing defects and contamination from being introduced in processes such as electron beam exposure and plasma etching. By plotting the dispersion of n-AGP, it is found that n-AGP has a high wavelength compression capability comparable to AGP (
λ
0/
λ
AGP= 48). Additionally, due to the introduction of the gold nanocavity structure, n-AGP possess an extremely small mode volume (
V
n-AGP≈ 10
–7
$ {{ \lambda }}_{0}^{3} $
,
λ
0= 6.25 μm). By calculating the electric field intensity distribution (|
E
norm|) and the normalized electric field intensity spectrum (i.e. the relationship between frequency and |
E
z|/|
E
z0|) of the n-AGP structure, it is evident that due to the high electron density on the gold surface, electromagnetic waves can be reflected from the boundaries of the gold nanocavity and resonantly enhanced within the nanocavity. At the resonant frequency of n-AGP (1800 cm
–1), the electric field inside the cavity is enhanced by about 50 times. In contrast, at similar resonant frequencies, the electric field enhancement factor of Graphene plasmon (resonant frequency 1770 cm
–1) and AGP (resonant frequency 1843 cm
–1) are approximately 3 and 2 times, respectively, significantly lower than that of n-AGP. Furthermore, by placing a protein film (60 nm wide and 10 nm high) under the graphene, we calculate the spectral dip depths caused by Fano resonance between n-AGP and AGP with the vibrational modes of protein molecules, thereby validating the enhancement factors of different modes for protein vibrational mode infrared absorption. For the amide-I band of proteins, the detection sensitivity of n-AGP is about 60 times higher than that of AGP. Additionally, we find that by adjusting the structural parameters of the gold nanocavity, including cavity depth, width, and surface roughness, the response frequency band of n-AGP can be modulated (from 1290 to 2124 cm
–1). Specifically, as the cavity depth increases, the electric field enhancement of n-AGP is improved, and the wavelength compression capability of n-AGP decreases, causing the resonant frequency to be blue-shifted (from 1793 to 2124 cm
–1). As the cavity width increases, the resonant frequency of n-AGP is red-shifted (from 1793 to 1290 cm
–1), and the effectiveness of the gold nanocavity boundary in reflecting the resonant electric field within the cavity diminishes, resulting in a decrease in the electric field enhancement factor. With the gradual increase in the roughness of the gold nanocavity bottom, the effective depth of the gold nanocavity increases, causing the n-AGP resonant frequency to be blue-shifted (from 1793 to 1861 cm
–1) and the electric field enhancement factor to increase. Moreover, by adjusting the Fermi level of graphene (from 0.3 to 0.6 eV), we achieve dynamic tuning of n-AGP (from 1355 to 1973 cm
–1). As the Fermi level of graphene increases, the wavelength compression capability of n-AGP decreases, resulting in a blue-shift in the resonant frequency. Finally, by optimizing the structural parameters and Fermi level of n-AGP, and placing protein particles of different sizes (20, 15, and 10 nm high, all 10 nm wide) into the graphene/gold nanocavity structure, we verify the protein detection capability of n-AGP-enhanced nano-IR. We find that n-AGP can detect the vibrational fingerprint features of the amide-I band and amide-II band. For protein films (60 nm wide and 10 nm high), the sensitivity increased by approximately 300 times, and for a single protein particle (10 nm wide and 10 nm high), the sensitivity increased by approximately 9 times. This enhanced structure based on n-AGP holds promise for providing an important detection platform for nanoscale material characterization and single-molecule detection, with broad application potential in biomedicine, materials science, and geology.