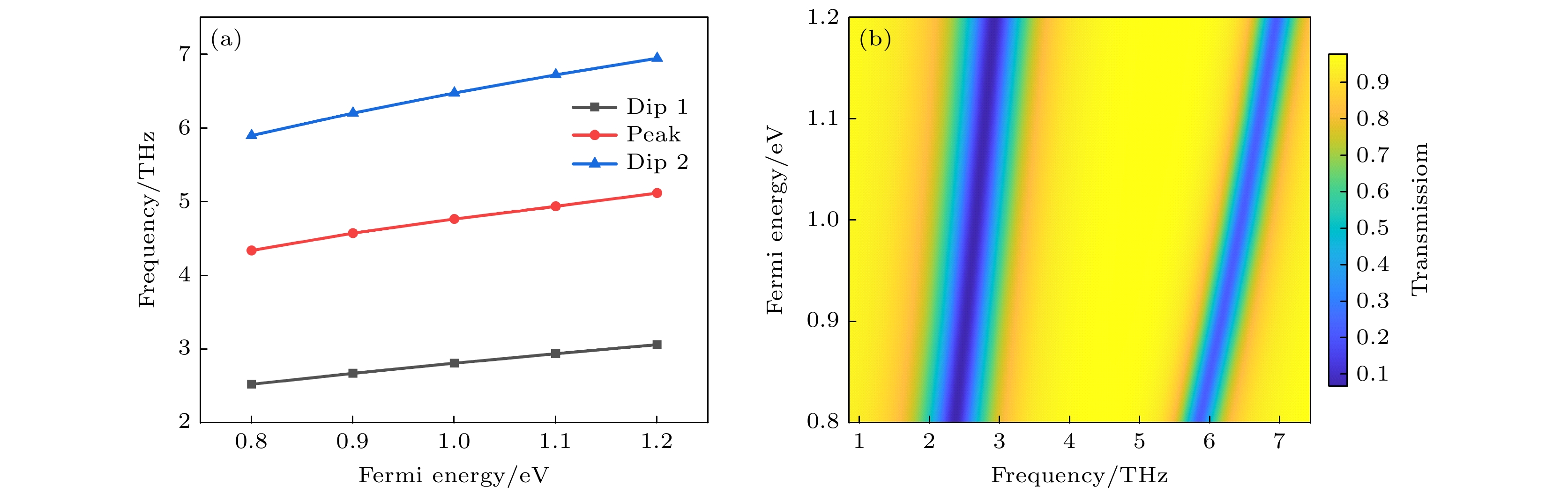
In this work, Ansys FDTD is used to design and simulate a terahertz metamaterial structure based on periodic continuous pattern graphene monolayer, and the high-quality PIT phenomena are obtained by continuously adjusting structural parameters. To validate the designed structure, the simulated transmission curve (reflection curve) obtained is compared with the theoretical transmission curve (reflection curve) derived from coupled-mode theory. It is observed that these two results exhibit a remarkably high degree of overlap. The resonant frequency and Fermi energy reveals a perfect linear correlation between them with the resonant frequency increasing proportionally with Fermi energy increasing. Dynamic tuning of PIT can be realized by adjusting the Fermi energy of graphene. For a more in-depth study of its sensing characteristics, the structure is placed in different environments. As the refractive index of the detection medium increases, the resonant frequency gradually decreases, demonstrating a redshift phenomenon. By manipulating the resonant frequency of the PIT sensor, the selective detection of specific target can berealized. After analyzing the sensitivity and FOM values of the structure, it is found that the maximum sensitivity is 1.457 THz/RIU. At a resonant frequency of 6.8174 THz, FOM reaches 30.5652. In summary, the sensor structure designed in this work has dual frequency sensing characteristics and can be used for dual frequency detection. Moreover, compared with other sensor structures, it demonstrates superior sensing performance. Additionally, in studying the slow light effect of the structure, it is found that as the Fermi energy increases, the group index and phase shift at the transparency window continue to increase. At the Fermi energy of 1.2 eV, the group index reaches a high value of 584. This is because in the PIT phenomenon, transparent peaks are formed due to multimodal coupling. This coupling will significantly improve the dispersion characteristics near the transparent peak, resulting in a large group index near the transparent peak. Furthermore, with the increase of carrier mobility, the group index and phase shift of the structure also gradually increase. At a carrier mobility of 0.75 m²/(V·s), the group refractive index is 456, and reaches 1010 at 2.0 m²/(V·s). In this study, the slow-light performance of graphene structure can be optimized through jointly adjusting the Fermi energy and carrier mobility. This research provides theoretical support and methods for designing advanced graphene-based sensors and devices for slow-light applications.