Infrared imaging chips are crucial for a broad range of military, medicine and biology applications. Although silicon detectors’ on-chip integration technology is matured, their low absorption in near-infrared light results in poor infrared photocurrent response. To increase the photodetector absorption efficiency, antenna-like metal nanoparticles have been widely adopted due to their plasmon resonance effects. Oligomer nanoparticles, including quaternary nanoparticles, exhibit plasmon resonance effects that localize and enhance the light field in a sub-wavelength range. Furthermore, they can interfere with each other to achieve Fano resonance and bound state in continuity, resulting in a stronger localization and enhancement of the electromagnetic field. In this study an array of gold quaternary nanoparticle oligomers is used as the antenna for a graphene/SOI (with 1 μm silicon) heterojunction near-infrared detector. Each oligomer consists of four gold squares, each with a size of 250 nm, forming two pairs of dipoles similar to the orbital hybridization of hydrogen atoms. This thus results in a multi-body coupling structure with bonding state and anti-bonding state. The antenna array parameters, such as the periodic constant, gap between nanoparticles, and angle (
θ) between the oligomers, are meticulously adjusted. The optimized device is characterized by using photocurrent and photocurrent mapping, achieving a 2-fold enhancement in photoresponsivity with the maximum value at
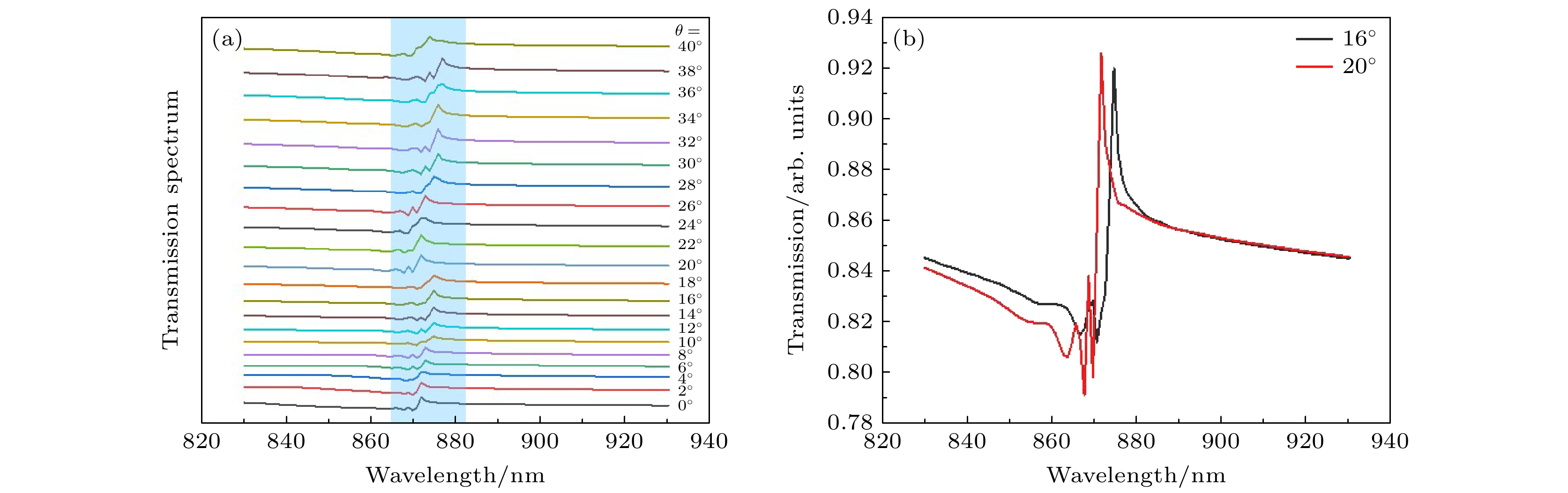
θ~ 40°. Notably, a consistent dip in photocurrents is observed for different periods or gap arrays when the angle theta is 20°. The simulation is conducted by using finite-difference time-domain (FDTD), revealing the emergence of Fano-like resonance in the transmittance spectra of the array at approximately 850 nm. The interference caused by the strongly coupling system to the plane coupled leakage field and the nanoparticle plasmon mode results in the formation of a new discrete leakage mode, i.e. the Fano-like resonance. The antenna helps to concentrate and emit the light field energy directionally to the detector, while there is a trade-off between the loss caused by nanoparticles absorption and the leakage energy. The photocurrent reaches a minimal point at a theta angle of 20° angle. At this point, the energy is localized in the oligomers, and the metal absorption loss weakens the plasmon enhancement effect. These findings are further supported by the simulation results of electric field and Poynting vector distribution. These findings indicate an important and promising way to enhance the photo detection efficiency via nanostructured plasmonic antenna.