Diamond, an ultra-wide band gap semiconductor material, is an ideal material for high-power, high-frequency, high-temperature, and low-power loss electronic devices. However, high-frequency and high-power working environment leads to ultra-high local hot spots. Thermal interface material (TIM) is urgently needed to improve interface heat dissipation. Carbon nanotube (CNT), a brand-new generation of TIM, has ultra-high thermal conductivity (6000 W/(m·K)) and is expected to solve the heat dissipation problem of diamond semiconductor.
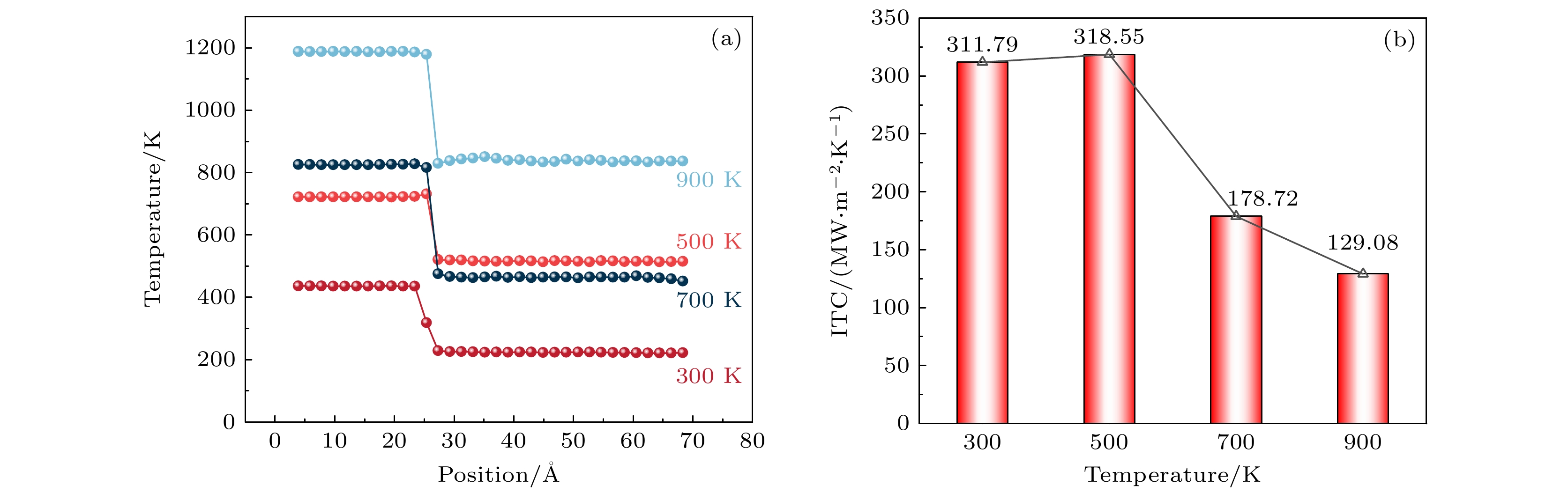
Based on this, we first propose to combine diamond and CNT to improve the performance and stability of semiconductor device, reduce packaging size, and achieve miniaturized design of devices. Here we use reverse non-equilibrium molecular dynamics (RNEMD) method to study the thermal transport characteristics and interface thermal conductance (ITC) at the diamond/CNT interface. The results reveal that increasing CNT layers enhances the overall vibration density of states (VDOS) of CNT and shifts the peak value towards the low frequency band, which is more conducive to interface heat transfer. Alternatively, the enhancement of the phonon overlap energy strengthens the coupling vibration of phonon and thus improving the efficiency of the interfacial heat transfer. Moreover, in a certain range, the increase of system temperature and CNT length-to-diameter ratio can raise the cutoff frequency of the VDOS of diamond and CNT near the interface and the peak value of the low frequency band. This further improves the coupling vibration of phonon on both sides. Finally, by orthogonal test simulation, the optimal value of ITC is determined to be 2.65 GW/(m
2·K) when the temperature, chirality, layers and length are 900 K, (6, 6), 6 layers and 5 nm respectively. This result greatly exceeds the current ITC of general semiconductors/metal. Compared with general composite materials, diamond/CNT composite material has great potential to enhance heat dissipation. Furthermore, according to P-value test, the number of layers has an extremely significant influence on interfacial thermal transport, while the influence of length, temperature and diameter decrease in turn.
This work provides insights into optimizing heat transport at diamond/carbon nanotube interface and will be beneficial for device thermal management and chip material design.