Fluorination of graphene is one of the most effective methods to improve the corrosion protection of graphene coatings. In this work, the diffusion and penetration behaviors of O atoms on fully fluorinated graphene (CF) and partially fluorinated graphene (C
4F) are investigated by using the method of searching for NEB transition state . The effects of F atoms on the corrosion resistance of fluorinated graphene films are also analyzed
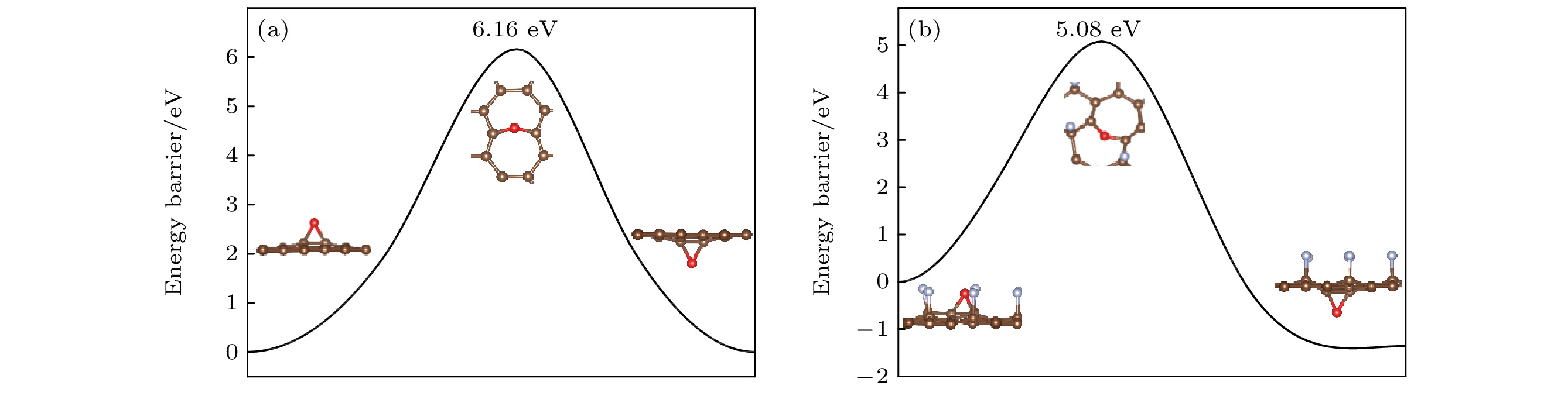
r. The results show that the adsorption of F atoms can effectively inhibit the diffusion of O atoms on graphene. On C
4F, the F atoms are distributed in a para-top position, which greatly increases the surface diffusion energy barrier of O atoms. Moreover, it is difficult for the adsorbed O atoms to diffuse to different sp
2C rings through the obstruction of F atoms. The energy barrier of the horizontal diffusion of O atoms even reaches 2.69 eV in CF. And with the increase of F atoms, the stable structure of graphene is gradually destroyed, the ability of C-atom layer to bar the penetration behaviors of O atoms decreases greatly. Furthermore, the interfacial adhesion work of pure graphene, CF and C
4F films with Cu(111) surfaces are calculated, as well as the electronic structures of the composite interface are investigated by using first-principles calculations. The interfacial adhesion work of the Cu/G, Cu/C
4F and Cu/CF interfaces are 2.626 J/m
2, 3.529 J/m
2and 3.559 J/m
2, respectively. The calculations show that the bonding of C
4F and C
4F with Cu substrate are stronger than pure graphene with Cu substrate, and the interfacial adhesion work increases with the augment of F atom adsorption concentration. The calculation of the density of states also conforms that the interaction between Cu and C atoms of the Cu/C
4F interface is stronger than that at the Cu/CF interface. Bader charge analysis shows that the charge transfer at the Cu/C
4F interface and the Cu/CF interface increase comparing with that at the Cu/G interface, and Cu/C
4F interface has more charge transfer, in which Cu—C bonds are formed.