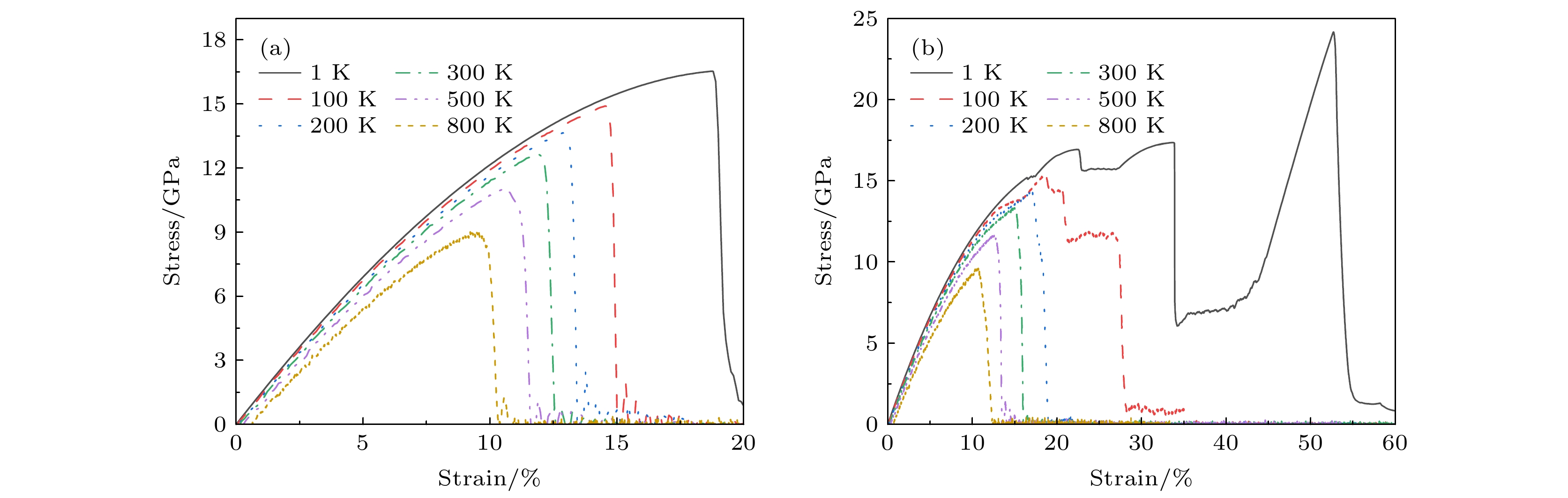
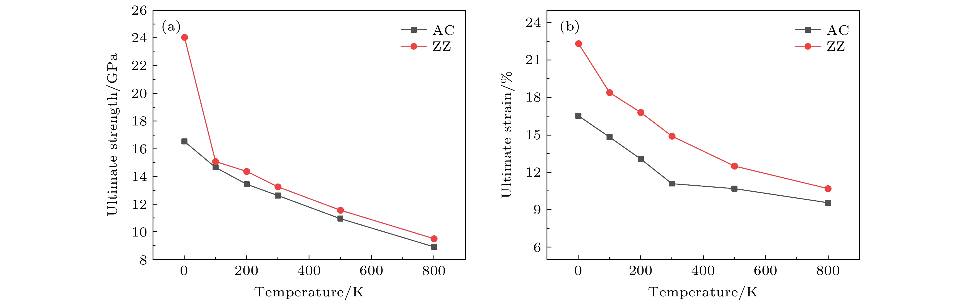
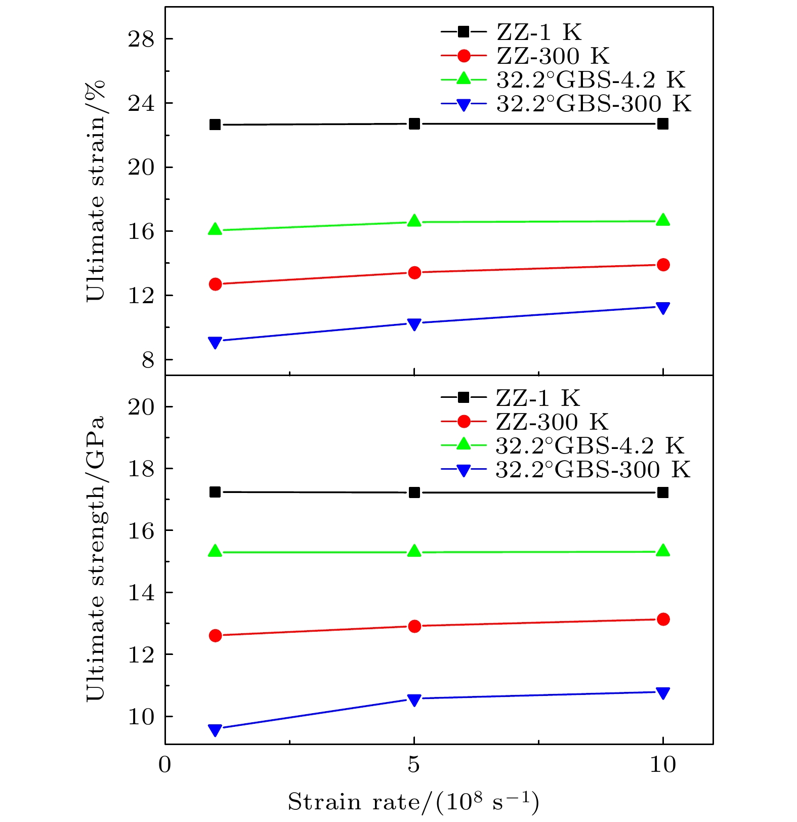
| [1] |
Zhang Shuo-Xin, Liu Shi-Yu, Yan Da-Li, Yu Qian, Ren Hai-Tao, Yu Bin, Li De-Jun.First-principles study of structural stability and mechanical properties of Ta1–xHfxC and Ta1–xZrxC solid solutions. Acta Physica Sinica, 2021, 70(11): 117102.doi:10.7498/aps.70.20210191 |
| [2] |
Li Jun, Liu Li-Sheng, Xu Shuang, Zhang Jin-Yong.Mechanical, electronic properties and deformation mechanisms of Ti3B4under uniaxial compressions: a first-principles calculation. Acta Physica Sinica, 2020, 69(4): 043102.doi:10.7498/aps.69.20191194 |
| [3] |
Hu Xue-Lan, Lu Rui-Zhi, Wang Zhi-Long, Wang Ya-Ru.First-principles study on effect of Re on micro structure and mechanical properties of Ni3Al intermetallics. Acta Physica Sinica, 2020, 69(10): 107101.doi:10.7498/aps.69.20200097 |
| [4] |
Zhou Liang-Fu, Zhang Jing, He Wen-Hao, Wang Dong, Su Xue, Yang Dong-Yang, Li Yu-Hong.The nucleation and growth of Helium hubbles at grain boundaries of bcc tungsten: a molecular dynamics simulation. Acta Physica Sinica, 2020, 69(4): 046103.doi:10.7498/aps.69.20191069 |
| [5] |
Shao Yu-Fei, Meng Fan-Shun, Li Jiu-Hui, Zhao Xing.Molecular dynamics simulations for tensile behaviors of mono-layer MoS2with twin boundary. Acta Physica Sinica, 2019, 68(21): 216201.doi:10.7498/aps.68.20182125 |
| [6] |
Wang Xiao-Yuan, Zhao Feng-Peng, Wang Jie, Yan Ya-Bin.First-principle studies of mechanical, electronic properties and strain engineering of metal-organic framework. Acta Physica Sinica, 2016, 65(17): 178105.doi:10.7498/aps.65.178105 |
| [7] |
Wang Xue-Fei, Ma Jing-Jie, Jiao Zhao-Yong, Zhang Xian-Zhou.Theoretical studies of electronic, mechanical and thermal properties of Ti3(SnxAl1-x)C2 solid solutions. Acta Physica Sinica, 2016, 65(20): 206201.doi:10.7498/aps.65.206201 |
| [8] |
Zeng Xiao-Bo, Zhu Xiao-Ling, Li De-Hua, Chen Zhong-Jun, Ai Ying-Wei.First-principles calculations of the mechanical properties of IrB and IrB2. Acta Physica Sinica, 2014, 63(15): 153101.doi:10.7498/aps.63.153101 |
| [9] |
Yuan Lin, Jing Peng, Liu Yan-Hua, Xu Zhen-Hai, Shan De-Bin, Guo Bin.Molecular dynamics simulation of polycrystal silver nanowires under tensile deformation. Acta Physica Sinica, 2014, 63(1): 016201.doi:10.7498/aps.63.016201 |
| [10] |
Liu Hai, Li Qi-Kai, He Yuan-Hang.Pyrolysis of CL20-TNT cocrystal from ReaxFF/lg reactive molecular dynamics simulations. Acta Physica Sinica, 2013, 62(20): 208202.doi:10.7498/aps.62.208202 |
| [11] |
Li De-Hua, Su Wen-Jin, Zhu Xiao-Ling.First-principles calculations for the mechanical properties of BC5. Acta Physica Sinica, 2012, 61(2): 023103.doi:10.7498/aps.61.023103 |
| [12] |
Wang Zhi-Gang, Huang Rao, Wen Yu-Hua.Melting behavior of Au-Pd eutectic nanoparticle: A molecular dynamics study. Acta Physica Sinica, 2012, 61(16): 166102.doi:10.7498/aps.61.166102 |
| [13] |
Ma Wen, Zhu Wen-Jun, Chen Kai-Guo, Jing Fu-Qian.Molecular dynamics investigation of shock front in nanocrystalline aluminum: grain boundary effects. Acta Physica Sinica, 2011, 60(1): 016107.doi:10.7498/aps.60.016107 |
| [14] |
He Jie, Chen Jun, Wang Xiao-Zhong, Lin Li-Bin.The first principles study on mechanical propertiesof He doped grain boundary of Al. Acta Physica Sinica, 2011, 60(7): 077104.doi:10.7498/aps.60.077104 |
| [15] |
Li De-Hua, Zhu Xiao-Ling, Su Wen-Jin, Cheng Xin-Lu.First-principles calculations for the structure and mechanical properties of PtN2. Acta Physica Sinica, 2010, 59(3): 2004-2009.doi:10.7498/aps.59.2004 |
| [16] |
Chen Gu-Ran, Song Chao, Xu Jun, Wang Dan-Qing, Xu Ling, Ma Zhong-Yuan, Li Wei, Huang Xin-Fan, Chen Kun-Ji.Molecular dynamics simulations of pulsed laser crystallization of amorphous silicon ultrathin films. Acta Physica Sinica, 2010, 59(8): 5681-5686.doi:10.7498/aps.59.5681 |
| [17] |
Ma Ying, Chen Shang-Da, Xie Guo-Feng.Variable charge molecular dynamics simulations of the intergranular films in SiC. Acta Physica Sinica, 2009, 58(11): 7792-7796.doi:10.7498/aps.58.7792 |
| [18] |
Zhou Nai-Gen, Zhou Lang.Prevention of misfit dislocations by using nano pillar crystal array substrates. Acta Physica Sinica, 2008, 57(5): 3064-3070.doi:10.7498/aps.57.3064 |
| [19] |
Zhang Lin, Wang Shao-Qing, Ye Heng-Qiang.Molecular dynamics study of the structure changes in a high-angle Cu grain boundary by heating and quenching. Acta Physica Sinica, 2004, 53(8): 2497-2502.doi:10.7498/aps.53.2497 |
| [20] |
Wen Yu-Hua, Zhu Tao, Cao Li-Xia, Wang Chong-Yu.Ni/Ni3Al grain boundary of Ni-based single superalloys: molecular dyn amics simulation. Acta Physica Sinica, 2003, 52(10): 2520-2524.doi:10.7498/aps.52.2520 |