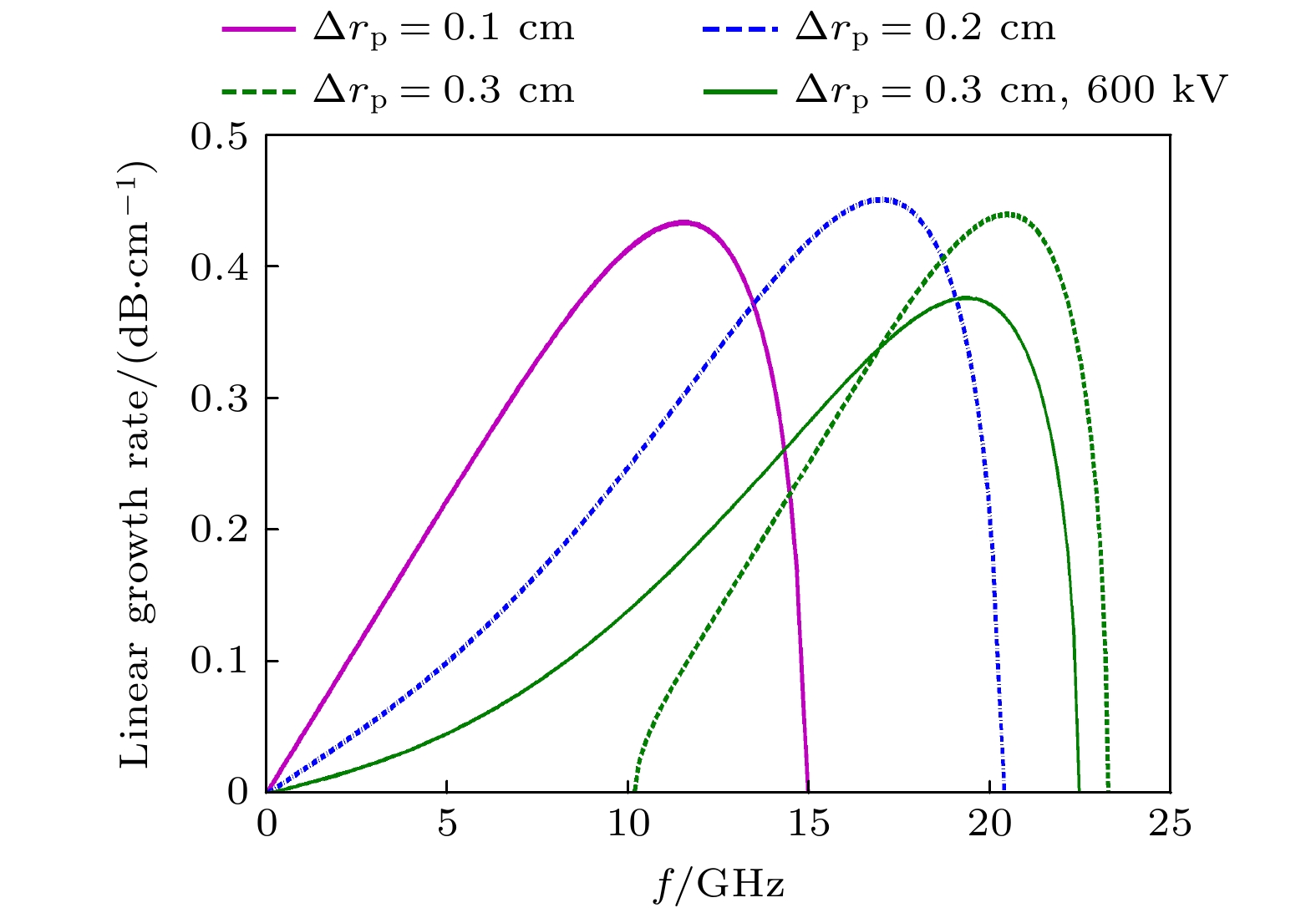
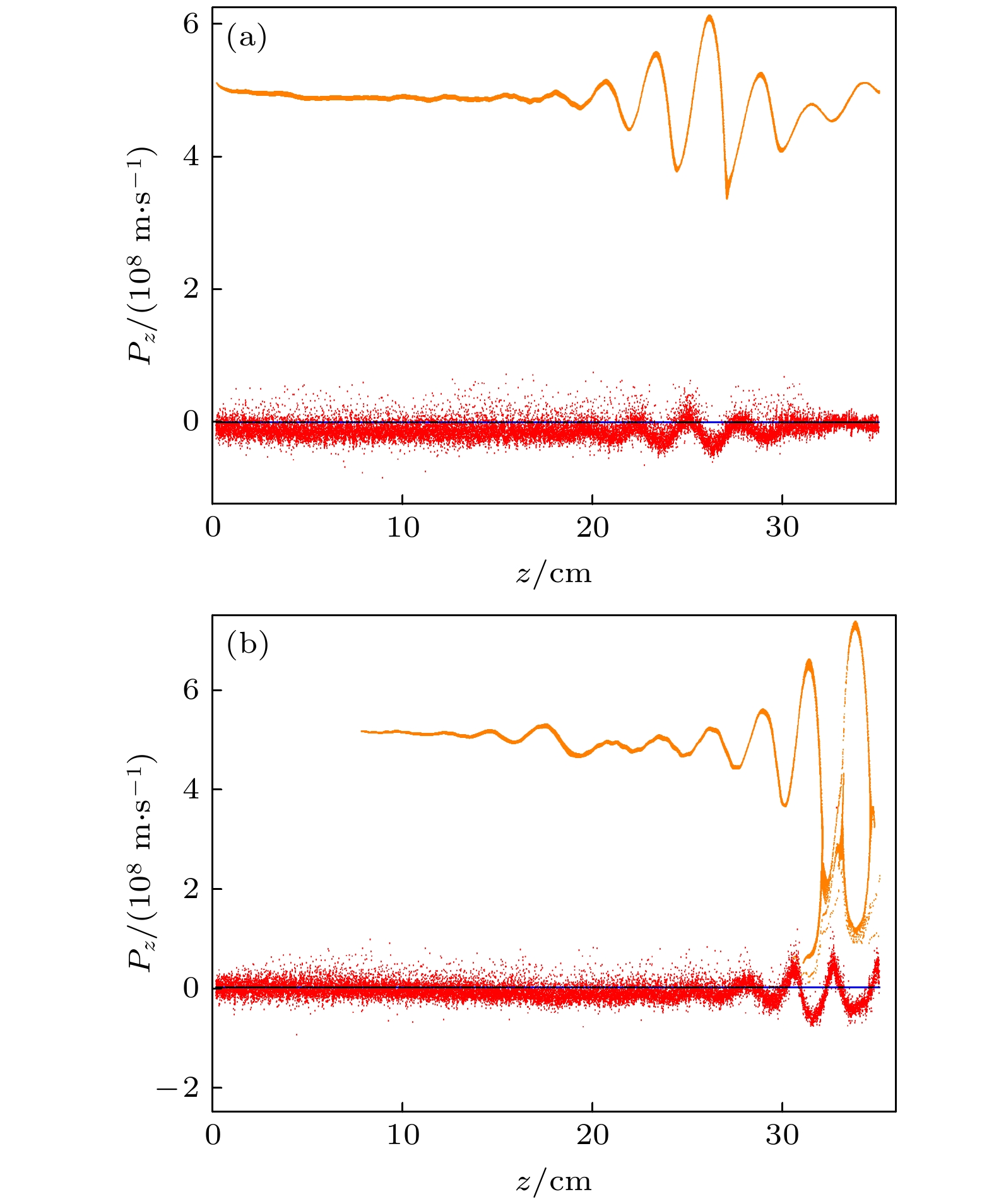
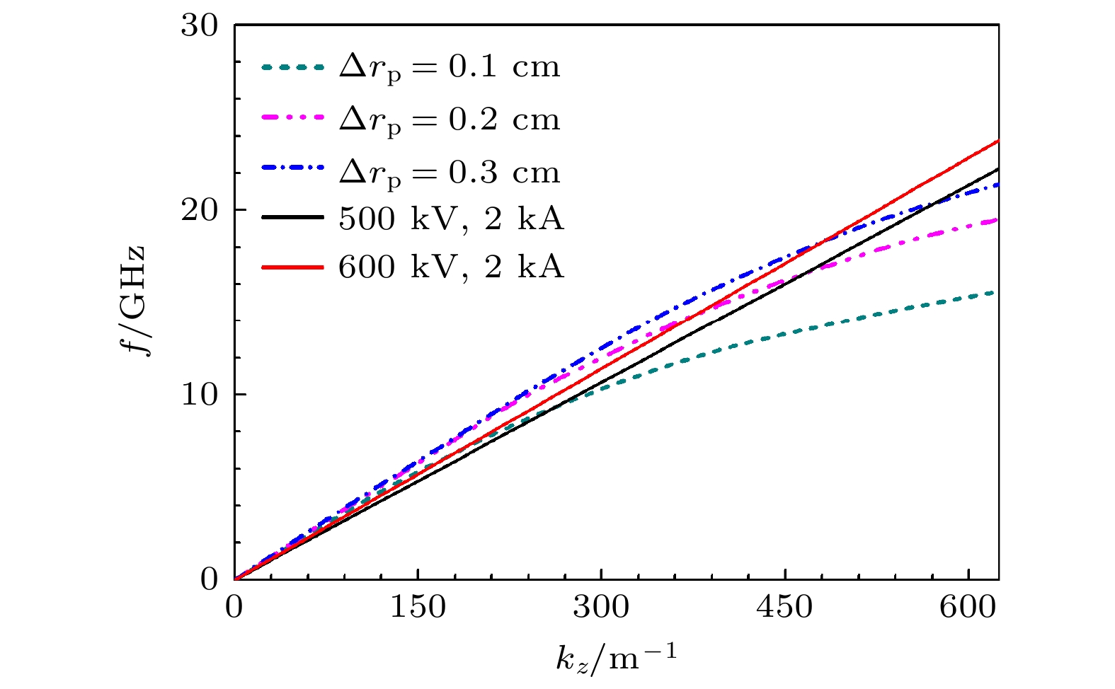
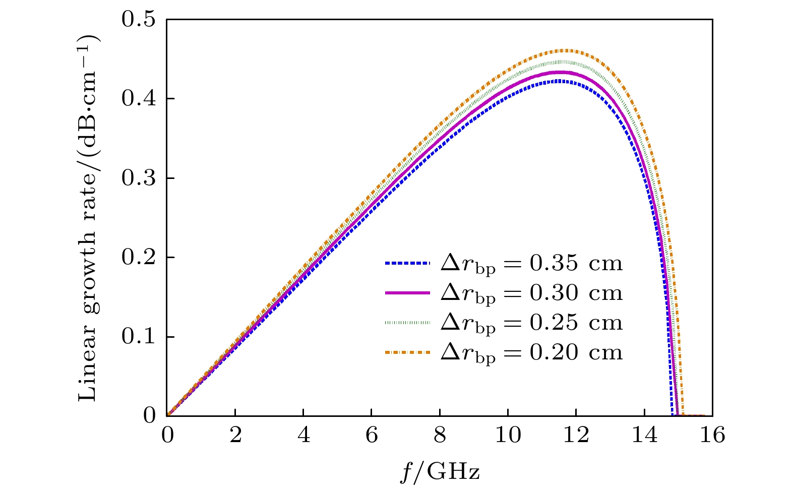
| [1] |
Li Wen-Qiu, Tang Yan-Na, Liu Ya-Lin, Ma Wei-Cong, Wang Gang.Radiation enhancement phenomenon of isotropic plasma layer coated cylinderical metal antenna. Acta Physica Sinica, 2023, 72(13): 135202.doi:10.7498/aps.72.20230101 |
| [2] |
Wang Cheng-Zhen, Dong Quan-Li, Liu Ping, Wu Yi-Ying, Sheng Zheng-Ming, Zhang Jie.Particle simulation study on anisotropic pressure of electrons in laser-produced plasma interaction. Acta Physica Sinica, 2017, 66(11): 115203.doi:10.7498/aps.66.115203 |
| [3] |
Li Wen-Qiu, Wang Gang, Su Xiao-Bao.Analysis of mode radiation characteristics in a non-magnetized cold plasma column. Acta Physica Sinica, 2017, 66(5): 055201.doi:10.7498/aps.66.055201 |
| [4] |
Wang Hong-Guang, Zhai Yong-Gui, Li Ji-Xiao, Li Yun, Wang Rui, Wang Xin-Bo, Cui Wan-Zhao, Li Yong-Dong.Fast particle-in-cell simulation method of calculating the multipactor thresholds of microwave devices based on their frequency-domain EM field solutions. Acta Physica Sinica, 2016, 65(23): 237901.doi:10.7498/aps.65.237901 |
| [5] |
Chen Mao-Lin, Xia Guang-Qing, Mao Gen-Wang.Three-dimensional particle in cell simulation of multi-mode ion thruster optics system. Acta Physica Sinica, 2014, 63(18): 182901.doi:10.7498/aps.63.182901 |
| [6] |
Chen Zhao-Quan, Yin Zhi-Xiang, Chen Ming-Gong, Liu Ming-Hai, Xu Gong-Lin, Hu Ye-Lin, Xia Guang-Qing, Song Xiao, Jia Xiao-Fen, Hu Xi-Wei.Particle-in-cell simulation on surface-wave discharge process influenced by gas pressure and negative-biased voltage along ion sheath layer. Acta Physica Sinica, 2014, 63(9): 095205.doi:10.7498/aps.63.095205 |
| [7] |
Chen Zai-Gao, Wang Jian-Guo, Wang Yue, Qiao Hai-Liang, Guo Wei-Jie, Zhang Dian-Hui.Optimal design of high-power microwave source based on particle simulation and genetic algorithms. Acta Physica Sinica, 2013, 62(16): 168402.doi:10.7498/aps.62.168402 |
| [8] |
Wang Yu, Chen Zai-Gao, Lei Yi-An.Simulation of 0.14 THz relativistic backward-wave oscillator filled with plasma. Acta Physica Sinica, 2013, 62(12): 125204.doi:10.7498/aps.62.125204 |
| [9] |
Liu San-Qiu, Guo Hong-Mei.Transverse dispersion laws in ultra-relativistic plasma with fast electron distribution. Acta Physica Sinica, 2011, 60(5): 055203.doi:10.7498/aps.60.055203 |
| [10] |
Liu Bing-Can, Lu Zhi-Xin, Yu Li.The dispersion relation for surface plasmon at a metal-Kerr nonlinear medium interface. Acta Physica Sinica, 2010, 59(2): 1180-1184.doi:10.7498/aps.59.1180 |
| [11] |
Jin Xiao-Lin, Huang Tao, Liao Ping, Yang Zhong-Hai.The particle-in-cell simulation and Monte Carlo collision simulation of the interaction between electrons and microwave in electron cyclotron resonance discharge. Acta Physica Sinica, 2009, 58(8): 5526-5531.doi:10.7498/aps.58.5526 |
| [12] |
Ji Pei-Yong, Lu Nan, Zhu Jun.Dispersion relation and Landau damping of linear waves in quantum plasma. Acta Physica Sinica, 2009, 58(11): 7473-7478.doi:10.7498/aps.58.7473 |
| [13] |
Zhao Guo-Wei, Xu Yue-Min, Chen Cheng.Calculation of dispersion relation and radiation pattern of plasma antenna. Acta Physica Sinica, 2007, 56(9): 5298-5303.doi:10.7498/aps.56.5298 |
| [14] |
.Splitting of ultrashort laser pulses propagating in plasmas and the generation of soliton-like structures. Acta Physica Sinica, 2007, 56(12): 7106-7113.doi:10.7498/aps.56.7106 |
| [15] |
Gong Hua-Rong, Gong Yu-Bin, Wei Yan-Yu, Tang Chang-Jian, Xue Dong-Hai, Wang Wen-Xiang.Analysis of ion noise with beam-wave interaction in klystron by two dimensional particle simulation method. Acta Physica Sinica, 2006, 55(10): 5368-5374.doi:10.7498/aps.55.5368 |
| [16] |
Zhuo Hong-Bin, Hu Qing-Feng, Liu Jie, Chi Li-Hua, Zhang Wen-Yong.Quasi-static particle simulation of short pulse laser-plasma interaction. Acta Physica Sinica, 2005, 54(1): 197-201.doi:10.7498/aps.54.197 |
| [17] |
Gong Yu-Bin, Zhang Zhang, Wei Yan-Yu, Meng Fan-Bao, Fan Zhi-Kai, Wang Wen-Xiang.Simulation of pulse shortening phenomena in high power microwave tube using PIC method. Acta Physica Sinica, 2004, 53(11): 3990-3995.doi:10.7498/aps.53.3990 |
| [18] |
Zhang Qiu-Ju, Sheng Zheng-Ming, Zhang Jie.Solitons formed by ultrashort laser pulses propagating in a plasma. Acta Physica Sinica, 2004, 53(3): 798-802.doi:10.7498/aps.53.798 |
| [19] |
Xie Hong-Quan, Liu Pu-Kun, Li Cheng-Yue, Yan Yang, Liu Sheng-Gang.Analysis of the characteristics of low-frequency modes in a corrugated waveguide filled with plasma. Acta Physica Sinica, 2004, 53(9): 3114-3118.doi:10.7498/aps.53.3114 |
| [20] |
Jian Guang-De, Dong Jia-Qi.Particle simulation method for the electron temperature gradient instability in toroidal plasmas. Acta Physica Sinica, 2003, 52(7): 1656-1662.doi:10.7498/aps.52.1656 |