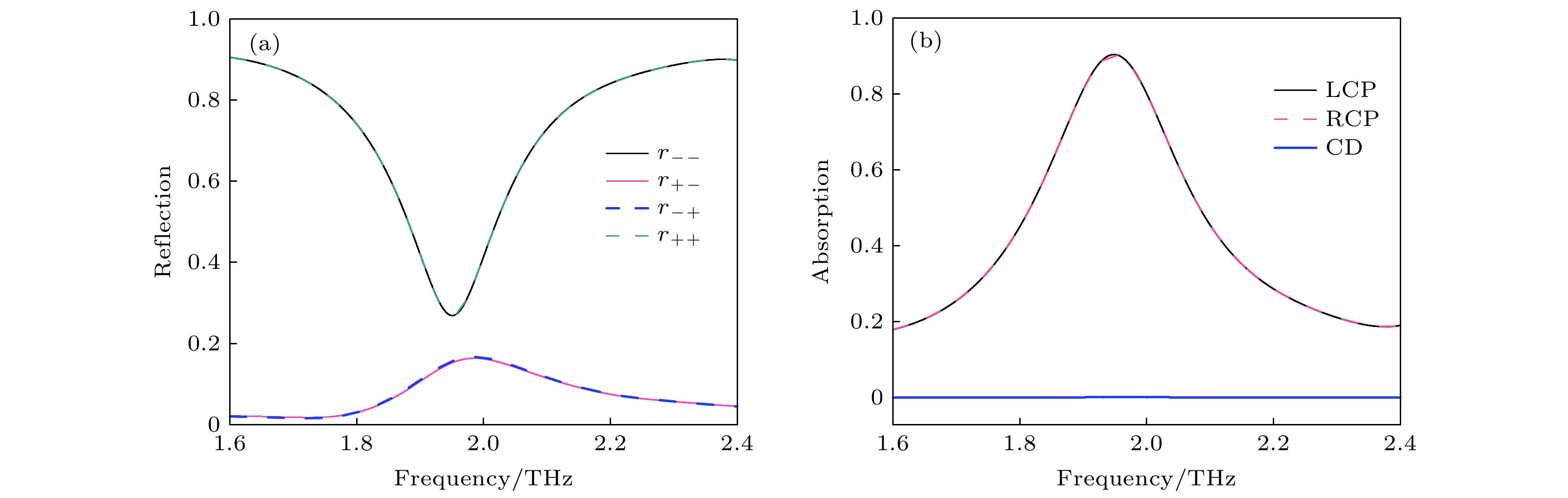
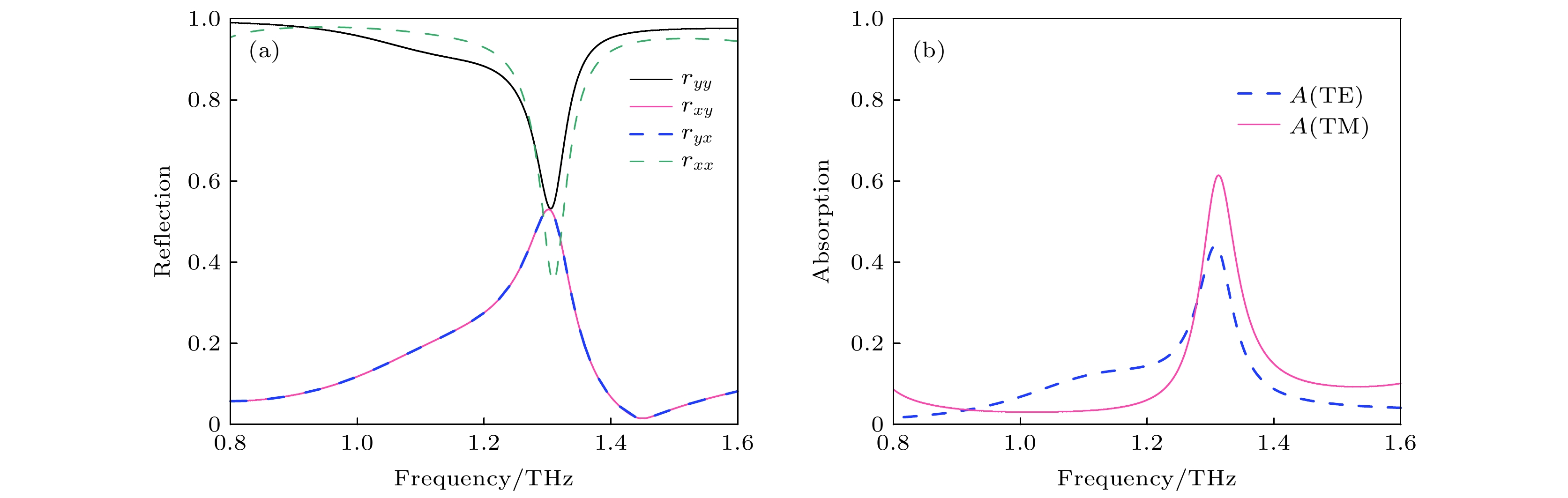
In recent years, the development of ultrafast laser technology has provided a stable and reliable terahertz source for generating terahertz wave pulses, and the great research progress of terahertz wave has been made. As a new type of two-dimensional artificial metamaterial, metasurface can effectively control the transmission, reflection and polarization of electromagnetic waves, which has attracted the extensive attention. Most of the reported terahertz absorbers so far are based on metasurfaces with linear polarization incidence, and few studies have been conducted on terahertz metasurfaces that can produce efficient absorption at both linear and circular polarization incidence, which limits the practical application areas. Therefore, it is necessary to explore an efficient absorber which can realize both linear polarization and circular polarization. We propose a vanadium dioxide composite metasurface structure. The vanadium dioxide is a typical temperature-controlled phase change material, and its conductivity will undergo a huge mutation in the phase change process. When the temperature is lower than the critical temperature (68 ℃), the vanadium dioxide has high resistivity and good insulation performance. When the temperature is higher than the critical temperature, the resistance changes from high resistance state to low resistance state, showing metal characteristics. By changing the external temperature, the phase of vanadium dioxide is changed, the free switching frequency is achieved and both the linear polarization and circular polarization incident efficient absorption are realized. When the vanadium dioxide is insulated, its conductivity is 0 S/m, the metasurface can absorb left-handed circularly polarized wave at 1.30 THz and reflect the incident right-handed circularly polarized wave, and the circular dichroism is 0.85. When the vanadium dioxide is metallic, its conductivity is 2×10
5S/m and it possesses linearly polarized incident metasurface, the absorption rate of TE linearly polarized incident wave by metasurface reaches 98.5% at 1.95 THz, and the perfect absorption of terahertz wave is realized. The structure has good wide-angle absorption performance for both TE polarization wave and left-handed circularly polarized wave. This composite metasurface structure can achieve the good absorption effect of terahertz waves with different frequencies and different polarization states. Therefore, the design concept of the composite metasurface structure can be used for designing other metasurface terahertz devices, and also for implementing the terahertz imaging and sensing systems due to different response characteristics to different polarization signals.