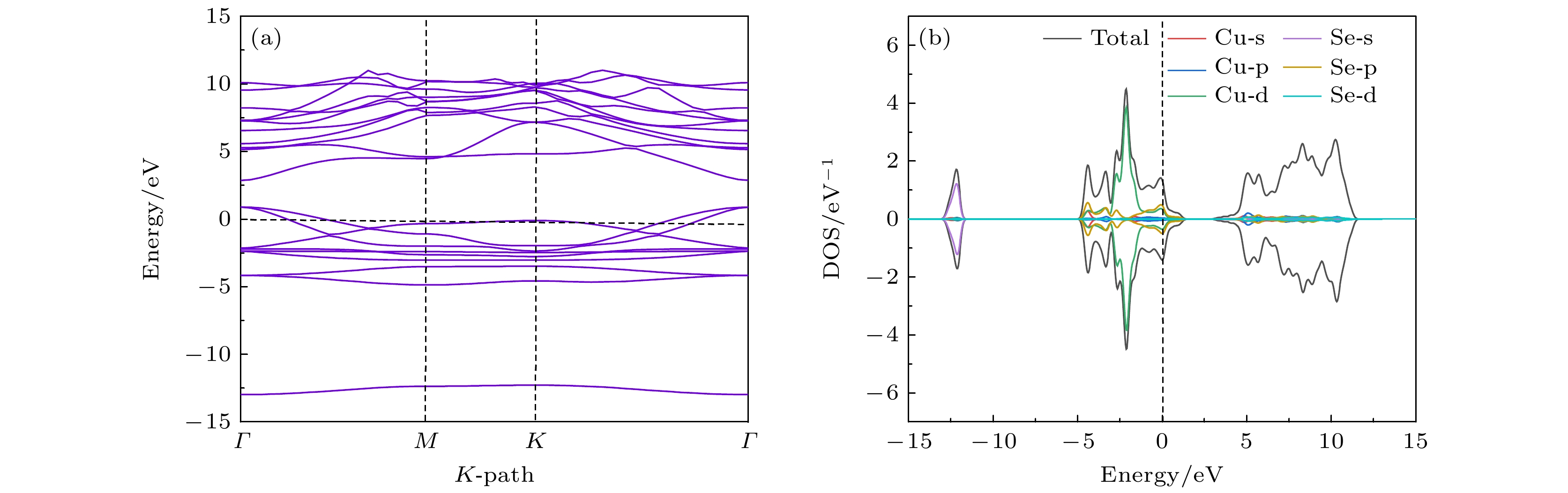
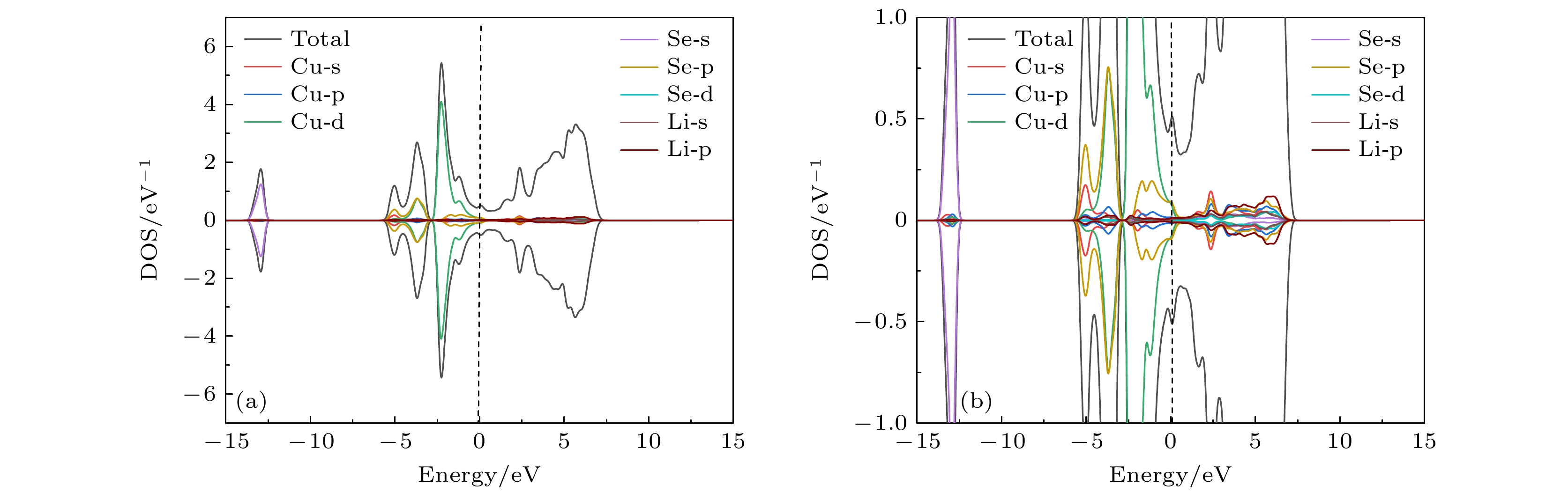
Original bulk phases of two-dimensional atomic crystal materials are layered. However, a few relevant researches show that some of two-dimensional material crystals have non-layered bulk phases. In this work we investigate monolayer CuSe which is non-layered, belonging in a new kind of honeycomb graphene analogue. Monolayer CuSe is not suitable for application in electronic devices because of its metallic nature. In order to find new two-dimensional atomic crystal materials with excellent performance suitable for application in electronic devices, we change CuSe from metal to semiconductor through external atom modification. The first principles study of density functional theory is conducted to ascertain the energy band structure of monolayer CuSe after second periodic atoms have been added to the top, center and bridge sites. The characteristics of monolayer CuSe with addition of Li or B atoms are studied, including energy band structure, the density of states, differential charge density, and crystal orbital Hamiltonian population. The results show that after adding Li atoms to CuSe, the CuSe transforms from metallic to semiconductive property at all three positions, and Li atom is more easily to be modified in the hexagonal center of CuSe, with band gap being about 1.77 eV, the Fermi level biased towards the top of the valence band. The CuSe with addition of Li atoms exhibits a p-type semiconductor property, so it is a direct bandgap semiconductor. Adding B atom to the top of Cu atom can also make CuSe semiconductive, with a band gap of about 1.2 eV, the conduction band minimum at the
Kpoint, and the valence band maximum at the
Γpoint. The CuSe with addition of B atoms belongs in an indirect band gap semiconductor, and the Fermi energy level is biased towards the conduction band minimum, exhibiting the characteristics of an n-type semiconductor. According to the results of differential charge density and crystal orbital Hamiltonian population, the B atom is bound to the top of the monolayer CuSe with the B-Se polar covalent bond. The first principle study reveals the realization of metal-to-semiconductor transition from monolayer CuSe to Cu
XSe (
X= Li, B), and the calculation results also show that CuSe with addition of Li atoms or B atoms is likely to be used in future electronic devices.