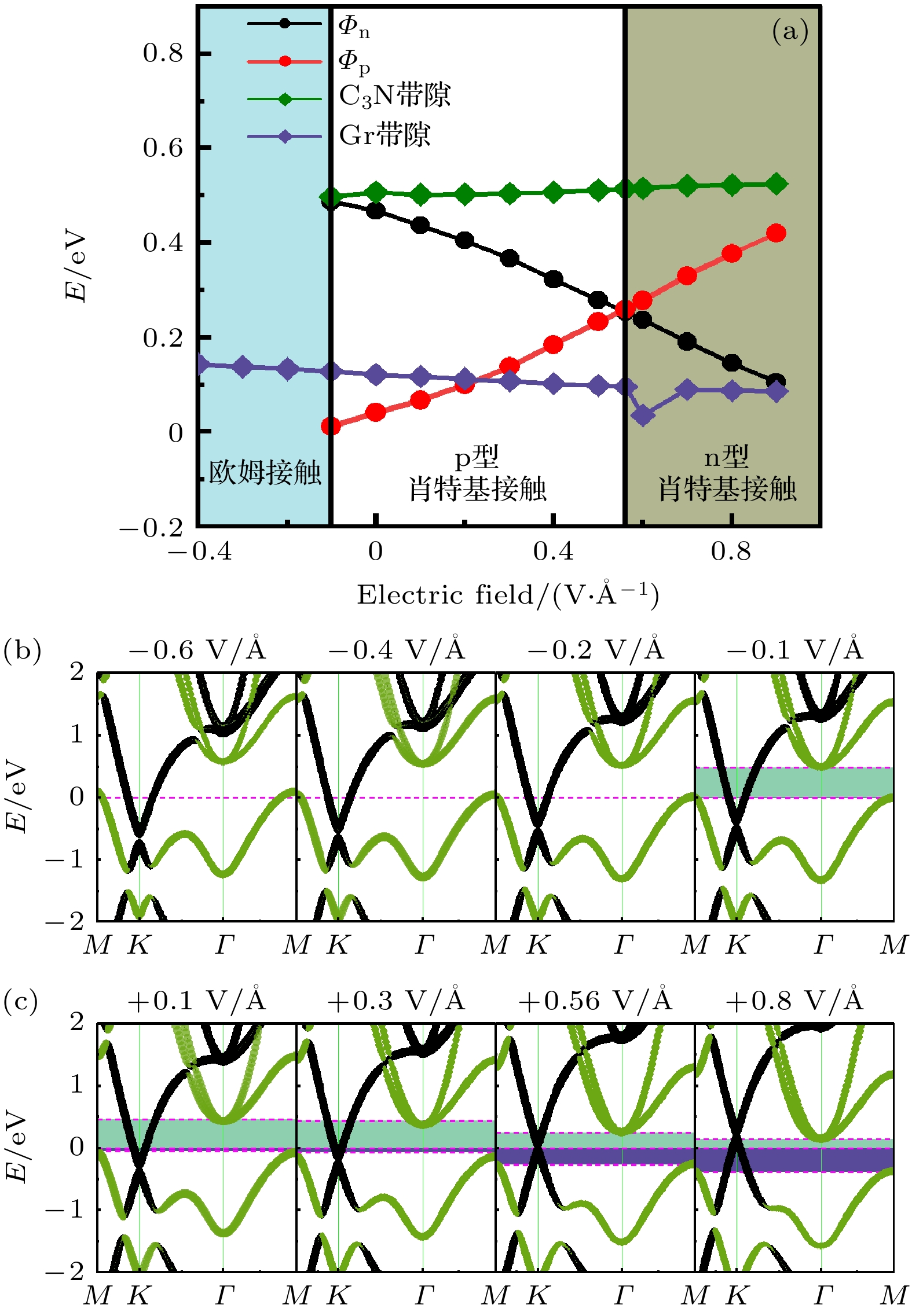
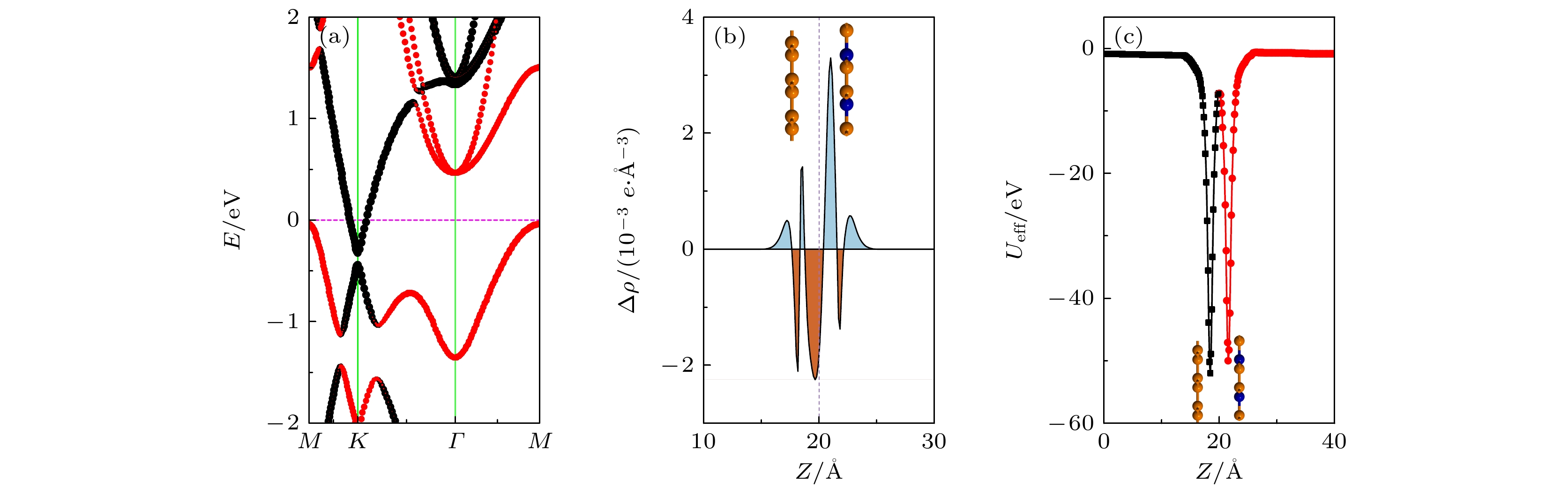
| [1] |
Li Jing-Hui, Cao Sheng-Guo, Han Jia-Ning, Li Zhan-Hai, Zhang Zhen-Hua.Electrical contact properties of 2D metal-semiconductor heterojunctions composed of different phases of NbS2and GeS2. Acta Physica Sinica, 2024, 73(13): 137102.doi:10.7498/aps.73.20240530 |
| [2] |
Tang Jia-Xin, Li Zhan-Hai, Deng Xiao-Qing, Zhang Zhen-Hua.Electrical contact characteristics and regulatory effects of GaN/VSe2van der Waals heterojunction. Acta Physica Sinica, 2023, 72(16): 167101.doi:10.7498/aps.72.20230191 |
| [3] |
Liang Qian, Qian Guo-Lin, Luo Xiang-Yan, Liang Yong-Chao, Xie Quan.Modulation of MoSH/WSi2N4Schottky-junction barrier by external electric field and biaxial strain. Acta Physica Sinica, 2022, 71(21): 217301.doi:10.7498/aps.71.20220882 |
| [4] |
Huang Ling-Qin, Zhu Jing, Ma Yue, Liang Ting, Lei Cheng, Li Yong-Wei, Gu Xiao-Gang.Research status and progress of metal contacts of SiC power devices. Acta Physica Sinica, 2021, 70(20): 207302.doi:10.7498/aps.70.20210675 |
| [5] |
Wang Su-Jie, Li Shu-Qiang, Wu Xiao-Ming, Chen Fang, Jiang Feng-Yi.Study on the effect of thermal annealing process on ohmic contact performance of AuGeNi/n-AlGaInP. Acta Physica Sinica, 2020, 69(4): 048103.doi:10.7498/aps.69.20191720 |
| [6] |
Guo Li-Juan, Hu Ji-Song, Ma Xin-Guo, Xiang Ju.Interfacial interaction and Schottky contact of two-dimensional WS2/graphene heterostructure. Acta Physica Sinica, 2019, 68(9): 097101.doi:10.7498/aps.68.20190020 |
| [7] |
Wang Chen, Xu Yi-Hong, Li Cheng, Lin Hai-Jun, Zhao Ming-Jie.Improved performance of Al/n+Ge Ohmic contact andGe n+/p diode by two-step annealing method. Acta Physica Sinica, 2019, 68(17): 178501.doi:10.7498/aps.68.20190699 |
| [8] |
Wei Zheng-Hong, Yun Feng, Ding Wen, Huang Ya-Ping, Wang Hong, Li Qiang, Zhang Ye, Guo Mao-Feng, Liu Shuo, Wu Hong-Bin.Reflective Ni/Ag/Ti/Au electrode with low specific contact resistivity. Acta Physica Sinica, 2015, 64(12): 127304.doi:10.7498/aps.64.127304 |
| [9] |
Lu Wu-Yue, Zhang Yong-Ping, Chen Zhi-Zhan, Cheng Yue, Tan Jia-Hui, Shi Wang-Zhou.Effect of different annealing treatment methods on the Ni/SiC contact interface properties. Acta Physica Sinica, 2015, 64(6): 067303.doi:10.7498/aps.64.067303 |
| [10] |
Zhu Yan-Xu, Cao Wei-Wei, Xu Chen, Deng Ye, Zou De-Shu.Effect of different ohmic contact pattern on GaN HEMT electrical properties. Acta Physica Sinica, 2014, 63(11): 117302.doi:10.7498/aps.63.117302 |
| [11] |
Huang Ya-Ping, Yun Feng, Ding Wen, Wang Yue, Wang Hong, Zhao Yu-Kun, Zhang Ye, Guo Mao-Feng, Hou Xun, Liu Shuo.The reflectivity and ohmic contact resistivity of Ni/Ag/Ti/Au in contact with p-GaN. Acta Physica Sinica, 2014, 63(12): 127302.doi:10.7498/aps.63.127302 |
| [12] |
Li Xiao-Jing, Zhao De-Gang, He Xiao-Guang, Wu Liang-Liang, Li Liang, Yang Jing, Le Ling-Cong, Chen Ping, Liu Zong-Shun, Jiang De-Sheng.Influence of different annealing temperature and atmosphere on the Ni/Au Ohmic contact to p-GaN. Acta Physica Sinica, 2013, 62(20): 206801.doi:10.7498/aps.62.206801 |
| [13] |
Wang Xiao-Yong, Chong Ming, Zhao De-Gang, Su Yan-Mei.Two-dimensional hole gas in p-GaN/p-AlxGa1-xN heterojunctions and its influence on Ohmic contact. Acta Physica Sinica, 2012, 61(21): 217302.doi:10.7498/aps.61.217302 |
| [14] |
Pan Shu-Wan, Qi Dong-Feng, Chen Song-Yan, Li Cheng, Huang Wei, Lai Hong-Kai.Se ultrathin film growth on Si(100) substrate and its application in Ti/n-Si(100) ohmic contact. Acta Physica Sinica, 2011, 60(9): 098108.doi:10.7498/aps.60.098108 |
| [15] |
Wang Guang-Xu, Jiang Feng-Yi, Feng Fei-Fei, Liu Jun-Lin, Qiu Chong.N-polar n-type ohmic contact of GaN-based LED on Si substrate. Acta Physica Sinica, 2010, 59(8): 5706-5709.doi:10.7498/aps.59.5706 |
| [16] |
Huang Wei, Chen Zhi-Zhan, Chen Yi, Shi Er-Wei, Zhang Jing-Yu, Liu Qing-Feng, Liu Qian.Effect of Ni thickness on the contact properties of Ni/6H-SiC analyzed by combinatorial method. Acta Physica Sinica, 2010, 59(5): 3466-3472.doi:10.7498/aps.59.3466 |
| [17] |
Huang Wei, Chen Zhi-Zhan, Chen Bo-Yuan, Zhang Jing-Yu, Yan Cheng-Feng, Xiao Bing, Shi Er-Wei.Effect of hydrofluoric acid etching time on Ni/6H-SiC contacts. Acta Physica Sinica, 2009, 58(5): 3443-3447.doi:10.7498/aps.58.3443 |
| [18] |
Ding Zhi-Bo, Wang Kun, Chen Tian-Xiang, Chen Di, Yao Shu-De.Investigation on the formation mechanism and diffusion of the electrode metal of oxidized Au/Ni/p-GaN ohmic contact in different alloying time. Acta Physica Sinica, 2008, 57(4): 2445-2449.doi:10.7498/aps.57.2445 |
| [19] |
Wang Chong, Feng Qian, Hao Yue, Wan Hui.Effect of pre-metallization processing and annealing on Ni/Au Schottky contacts in AlGaN/GaN heterostructures. Acta Physica Sinica, 2006, 55(11): 6085-6089.doi:10.7498/aps.55.6085 |
| [20] |
WANG YIN-YUE, ZHEN CONG-MIAN, GONG HENG-XIANG, YAN ZHI-JUN, WANG YA-FAN, LIU XUE-QIN, YANG YING-HU, HE SHAN-HU.MEASUREMENT OF THE SPECIFIC CONTACT RESISTANCE OF Au/Ti/p-DIAMOND USING TRANSMIS SION LINE MODEL. Acta Physica Sinica, 2000, 49(7): 1348-1351.doi:10.7498/aps.49.1348 |