-
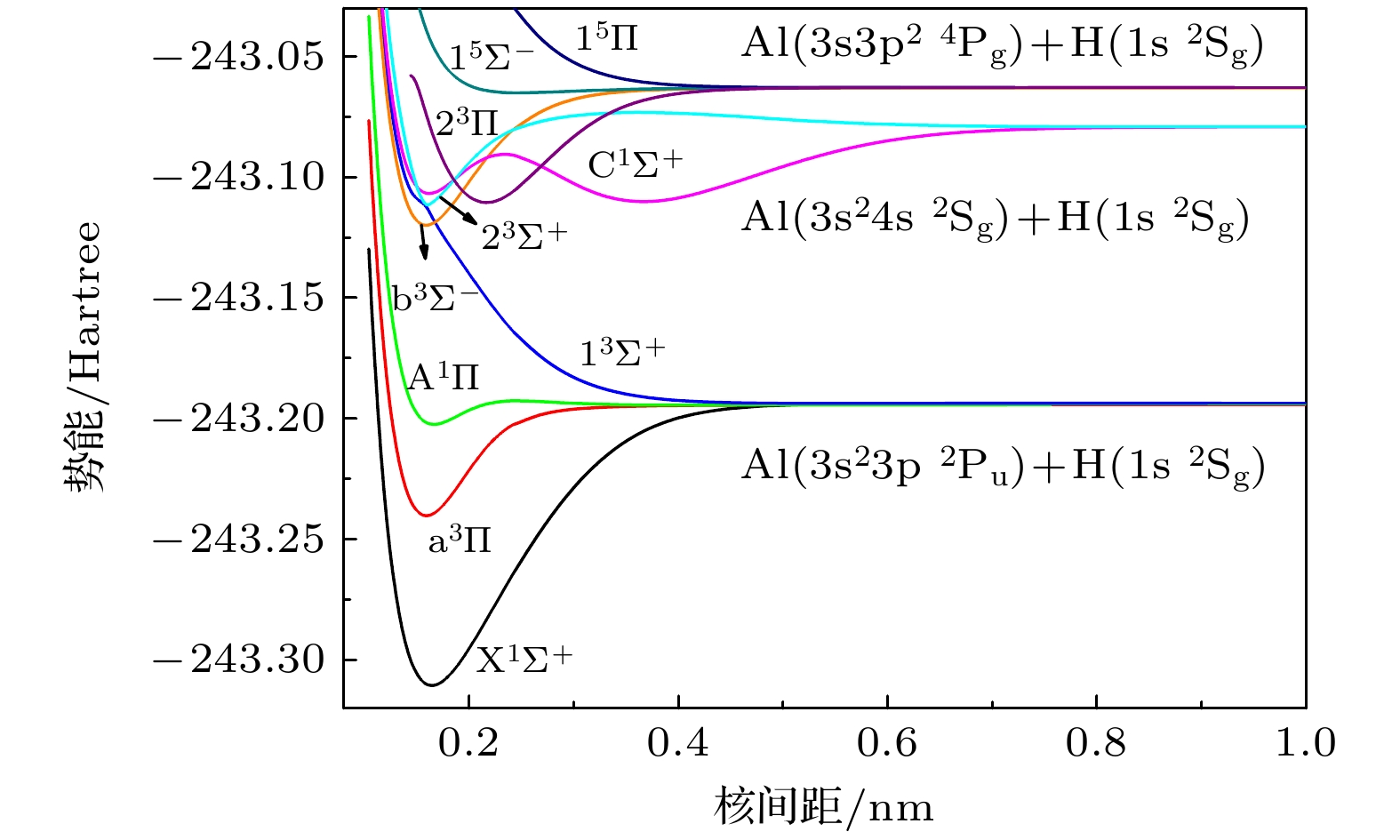
On the basis of correcting various errors caused by spin-orbit coupling effects, scalar relativity effects, core-valence correlation effects and basis set truncation, the potential energy curves of 10 Λ-S states and 26 Ω states of AlH molecule are calculated by using icMRCI + Qmethod. The transition dipole moments of 6 pairs of transitions between the
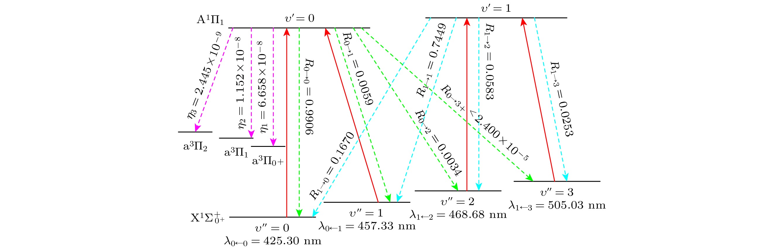
${\rm X}{}^1\Sigma _{{0^ + }}^ + $ ,$ {\rm a^3}{\Pi _{{0^ + }}} $ ,${\rm a^3}{\Pi _1} $ ,${\rm a^3}{\Pi _2} $ , and${\rm A^1}{\Pi _1} $ states are calculated by using the icMRCI/AV6Z* theory with the consideration of spin-orbit coupling effects. The spectral and transition data obtained here for AlH molecule are in very good agreement with the available experimental measurements. The findings are below. 1) The transition intensities are relatively strong of the Q( J″) branches for the (0, 0), (0, 1), (0, 2), (1, 0), (1, 1), (1, 2), (1, 3), (1, 4) and (1, 5) bands of the A 1Π 1–${\rm X}{}^1\Sigma _{{0^ + }}^ + $ transition, with the increase of J″; the Einstein Acoefficients and vibrational branching ratio gradually decrease, and the weighted absorption oscillator strength gradually increases of Δ υ= 0 band, the Einstein Acoefficient, vibrational branching ratio, and weighted absorption oscillator strength gradually increase for the Δ υ≠ 0 bands. 2) The radiation lifetimes of A 1Π 1( υ'= 0, 1) increases slowly as the J'increases. 3) The A 1Π 1( υ'= 0 and 1, J'= 1, +) →${\rm X}{}^1\Sigma _{{0^ + }}^ + $ ( υ''= 0–3, J'′ = 1, –) transition of AlH molecule satisfies the criteria for laser cooling of diatomic molecules, that is, the vibrational branching ratio of the highly diagonal distribution, the extremely short radiation lifetimes of the A 1Π 1( υ'= 0 and 1, J'= 1, +) states, and the intermediate electronic states$ {\rm a^3}{\Pi _{{0^ + }}} $ , a 3Π 1, and a 3Π 2do not interfere with laser cooling. Therefore, based on the cyclic transition A 1Π 1( υ'= 0 and 1, J'= 1, +) ↔${\rm X}{}^1\Sigma _{{0^ + }}^ + $ ( υ'′ = 0–3, J''= 1, –), we propose a feasible scheme for laser cooling of AlH molecule. When cooled, 2.541 × 10 4photons can be scattered by four pump lasers used in the visible range, which are enough to cool AlH to the ultra-cold temperature, and the Doppler temperature and recoil temperature of the main transition are on the order of μK.-
Keywords:
- potential energy curves/
- spectroscopic parameters/
- spin-orbit coupling/
- transition dipole moments/
- transition data
[1] [2] [3] [4] [5] [6] [7] [8] [9] [10] [11] [12] [13] [14] [15] [16] [17] [18] [19] [20] [21] [22] [23] [24] [25] [26] [27] [28] [29] [30] [31] [32] [33] [34] [35] [36] [37] [38] [39] [40] [41] [42] [43] [44] [45] [46] [47] -
离解极限 Λ-S态 能级/cm–1 本文 实验[35] 理论[20] 理论[24] 理论[25] Al(3s23p2Pu) + H(1s2Sg) X1Σ+, a3Π, A1Π, 13Σ+ 0 0 0 0 0 Al(3s24s2Sg) + H(1s2Sg) C1Σ+, 23Σ+ 25217.30 25291.73a) 25082.40 25533 25306.42 Al(3s3p2 4Pg) + H(1s2Sg) b3Σ–, 15Σ–, 23Π, 15Π 28790.80 29020.69b) 28151.60 — — a)E(Al, 3s24s2Sg) =E(Al, 3s24s2S1/2) –E(Al, 3s23p2P3/2)/2;
b)E(Al, 3s3p2 4Pg) = [E(Al, 3s3p2 4P1/2) +E(Al, 3s3p2 4P3/2) +E(Al, 3s3p2 4P5/2)]/3 –E(Al, 3s23p2P3/2)/2.来源 Te/cm–1 Re/nm ωe/cm–1 ωexe/cm–1 Be/cm–1 102αe/cm–1 De/eV icMRCI +Q/AV6 Z*a) 0 0.16514 1667.67 25.0119 6.30570 15.7097 3.2353 icMRCI +Q/56a) 0 0.16510 1668.60 25.0353 6.30871 15.7799 3.2400 ∆56a) 0 –0.00004 0.93 0.0234 0.00301 0.0702 0.0047 icMRCI +Q/56+CVa) 0 0.16421 1686.55 23.8577 6.35248 14.6527 3.1860 ∆CVa) 0 –0.00089 17.95 –1.1776 0.04377 –1.1272 –0.054 icMRCI +Q/56+SRa) 0 0.16512 1665.84 24.9979 6.30753 15.7568 3.2365 ∆SRa) 0 0.00002 –2.76 –0.0374 –0.00118 –0.0231 –0.0035 icMRCI +Q/56 + CV + SRa) 0 0.16423 1683.86 23.8297 6.35184 14.7584 3.1825 ∆CV+SRa) 0 –0.00087 15.26 –1.2056 0.04313 –1.0215 –0.0575 实验[8] 0 0.16474 1682.44 29.1060 6.3937 18.685 3.16 ± 0.01b) 实验[9] 0 0.16454 1682.38 29.0510 6.39378 18.7053 — 实验[10] 0 — 1682.37 29.0466 6.39377 18.7044 — 实验[14] 0 — 1682.37 29.0511 6.39379 18.7056 — 实验[15] 0 0.16474 1682.37 29.0511 6.39379 18.7056 — 实验[18] 0 — 1682.56 29.9 6.3907 18.58 — 理论[6] 0 0.16350 — — — — — 理论[22] 0 0.16533 1679.60 28.9 6.35 18.25 3.1699 理论[23] 0 0.16510 1683.37 29.3786 6.3663 18.876 3.1775 理论[24] 0 0.16540 1675 27 6.35 — — 理论[25] 0 0.16500 1665.93 26.99 6.3650 18.61 3.198 理论[26] 0 0.16399 1690 — 6.45 — 3.19 理论[27] 0 0.16465 1685.51 29.3786 6.401 18.4 — 理论[28] 0 0.16490 1690 30 6.378 18.6 3.1738 理论[29] 0 0.16454 1682.14 28.61 — 18.636 — 理论[30] 0 0.16470 1683.35 25.80 6.3916 19.18 — 理论[31] 0 0.16454 — — 6.31938c) — 3.1821 a)本文的结果; b)文献[13]中的值; c)B0值. Λ-S态 来源 Te/cm–1 Re/nm ωe/cm–1 ωexe/cm–1 Be/cm–1 102αe/cm–1 De/eV a3Π 本文a) 15445.97 0.15895 1800.73 31.4954 6.65323 2.07076 1.2525 实验[20] xb) — — — 6.7520c) — — 理论[6] 15702.28 0.1585 — — — — — 理论[20] 15223.3d) — — — 6.648c) — — 理论[24] 15115 0.1600 2012 94 6.79 — — 理论[26] — 0.15868 1811 — 6.89 — — A1Π 本文a) 23746.94 0.16618 1415.29 186.750 6.87425 136.453 0.2384 实验[14] 23638.33 — 1416.50 166.86 6.38642 73.2541 0.24±0.01e) 实验[15] 23638.33 0.16483 1416.50 166.86 6.38642 73.2540 — 实验[17] 23763.47f) — 1082.77f) 0f) 6.38611 73.2282 — 理论[6] 23959.82 0.1649 — — — — — 理论[24] 23536 0.1665 1370 125 6.34 — — 理论[25] 23529.19 — — — — — — b3Σ– 本文a) 41859.74 0.15876 1741.72 38.5537 6.72229 11.3808 1.5480 实验[19] 41445 0.15717 2464 275 7.0759 64.3 — 实验[20] x+26223.71d) — — — 6.7520c) — — 理论[6] 42165.98 0.1582 — — — — — 理论[20] 41370.7d) — — — 6.602c) — — 23Σ+ 本文a) 43694.99 0.16007 2683.33 503.341 6.78034 66.2526 0.8836 理论[6] 43752.71 0.1565 — — — — — 23Π 本文a) 43922.36 0.21642 1119.61 9.70530 3.70365 1.40363 1.2981 理论[6] 44202.15 0.2144 — — — — — C1Σ+势阱一 本文a) 44744.73 0.16160 1575.90 91.0727 6.69259 44.0337 0.7528 实验[15] 44675.37 0.16131 1575.34 125.5 6.66802 55.844 0.7567 实验[16] 44675.37 0.16131 1575.34 125.5 6.66804 55.839 0.7567 理论[24] 43999 0.1575 1566 100 7.15 — — 理论[25] 44621.50 0.1625 — — — — — C1Σ+势阱二 本文a) 43964.50 0.36561 484.710 4.04586 1.29836 0.524053 0.8517 理论[6] 44629.05 0.3648 — — — — — 理论[24] 41049 0.3735 491 6 1.24 — — 理论[25] 40595.83 0.3777 — — — — — 15Σ– 本文a) 53899.46 0.24733 294.567 46.1579 2.80395 42.6271 0.0605 a) 利用icMRCI +Q/56 + CV + SR理论获得的结果; b)x表示a3Π态相对于X1Σ+态的T0值;
c)B0值; d)T0值; e) 文献[13]中的值; f)ωexe固定为0, 获得的结果.原子态(Al + H) Ω态 能级/cm–1 本文 实验[35] Al(3s23p2P1/2) +
H(1s2S1/2)0–, 0+, 1 0 0 Al(3s23p2P3/2) +
H(1s2S1/2)2, 1(2), 0+, 0– 103.93 112.06 Al(3s24s2S1/2) +
H(1s2S1/2)0+, 0–, 1 25281.58 25347.76 Al(3s3p2 4P1/2) +
H(1s2S1/2)0–, 0+, 1 28760.86 29020.41 Al(3s3p2 4P3/2) +
H(1s2S1/2)2, 1(2), 0+, 0– 28812.66 29066.96 Al(3s3p2 4P5/2) +
H(1s2S1/2)3, 2(2), 1(2), 0+, 0– 28893.16 29142.78 Ω态 Te/cm–1 Re/nm ωe/cm–1 ωexe/cm–1 Be/cm–1 102αe/cm–1 De/eV 在Re附近主要的Λ-S态/% $ {\text{X}}{}^{1}{{\Sigma }}_{{{0}^ + }}^ + $ 0 0.16423 1683.83 23.8232 6.35152 14.7360 3.1732 X1Σ+(100.00) ${\text{a} }{}^{3}{ { {\Pi } }_{ { {0}^- } }}$ 15405.80 0.15895 1778.27 21.8727 6.64964 2.43602 1.2474 a3Π (100.00) $ {\text{a}}{}^{3}{{{\Pi }}_{{{0}^ + }}} $ 15405.93 0.15895 1778.66 22.0650 6.66104 1.34272 1.2618 a3Π (100.00) a3Π1 15445.97 0.15895 1777.36 21.4348 6.63386 3.90131 1.2424 a3Π (100.00) a3Π2 15486.79 0.15895 1778.71 22.0980 6.65497 1.91466 1.2523 a3Π (100.00) A1Π1 23747.16 0.16618 1414.96 186.498 6.86983 135.891 0.2660a) A1Π (100.00) (3) 0+第一势阱 41859.96 0.15876 1735.05 13.1710 6.71698 21.3299 1.1105 b3Σ–(100.00) (3) 0+第二势阱 43881.10 0.21643 1114.60 — 3.71441 — 0.8599 23Π (100.00) (3) 0+第三势阱 43964.94 0.36554 484.319 3.56700 1.29849 0.56879 0.8517 C1Σ+(100.00) (3) 1 41859.96 0.15876 — — — — 0.0258 b3Σ–(100.00) (4) 1第一势阱 42188.07 0.16787 2943.15 — 5.96262 — 1.2320 13Σ+(99.96), b3Σ–(0.04) (4) 1第二势阱 43922.58 0.21642 1114.52 — 3.71629 — 1.0169 23Π (100.00) (3) 0–第一势阱 43694.98 0.16007 2685.04 — 6.79388 — 1.0452 23Σ+(100.00) (3) 0–第二势阱 43880.88 0.21643 1118.65 9.05865 3.70790 2.61254 1.0221 23Π (100.00) (4) 0– 46017.03 0.18561 3275.38 937.528 5.15024 46.7498 1.0291 23Π (99.92), 23Σ+(0.08) (4) 0+第一势阱 44744.95 0.16159 1562.41 — 6.66956 — 1.1870 C1Σ+(100.00) (4) 0+第二势阱 45035.32 0.19346 674.726 161.967 54.9019 2407.50 1.1564 23Π (97.66), b3Σ–(2.34) (4) 0+第三势阱 47498.04 0.26377 1589.91 — 2.25963 — 0.8510 C1Σ+(100.00) (5) 1第一势阱 43694.98 0.16007 2768.86 — 7.39204 — 1.3227 23Σ+(100.00) (5) 1第二势阱 45041.46 0.19364 — — — — 1.1556 b3Σ–(99.42), 23Π (0.58) (5) 0+ 46034.37 0.18560 2898.99 1038.21 5.17322 85.9444 1.0360 23Π (99.98), b3Σ–(0.02) (6) 1 46021.85 0.18577 3308.86 970.712 5.16845 53.5590 1.0375 23Σ+(99.96), 23Π (0.04) 23Π2 43964.28 0.21640 1119.62 9.70272 3.70411 1.40547 1.2892 23Π (100.00) ${1}{}^{5}{ {\Sigma } }_{ { {0}^- } }^-$ 53899.24 0.24737 292.193 40.9254 2.72780 22.1616 0.0568 15Σ–(99.99), 23Σ+(0.01) $1^{5} \Sigma_{1}^-$ 53899.46 0.24734 294.957 48.3039 2.85882 57.2987 0.0661 15Σ–(100.00) ${1}{}^{5}{ {\Sigma } }_{2}^-$ 53899.68 0.24733 294.673 46.8641 2.83133 49.9771 0.0661 15Σ–(100.00) a) 势阱的深度. $\tilde{v} $/cm–1 Aυ'J'→υ''J''
/s–1Rυ'J'→υ''J'' gfυ'J'←υ''J'' λυ'J'←υ''J''
/nm$\tilde{v} $/cm–1 Aυ'J'→υ''J''
/s–1Rυ'J'→υ''J'' gfυ'J'←υ''J'' λυ'J'←υ''J''
/nmJ'' (0, 0) 实验[17] (0, 1) 实验[17] 1 23529.37 23470.34 1.612×107 0.9906 0.1310 425.30 21881.57 21845.63 9.618×104 0.0059 9.034×10–4 457.33 2 23528.04 23469.19 1.609×107 0.9904 0.2179 425.33 21880.97 21845.22 9.846×104 0.0061 0.0015 457.34 3 23526.02 23467.45 1.605×107 0.9901 0.3043 425.36 21880.04 21844.58 1.020×105 0.0063 0.0022 457.36 4 23523.31 23465.10 1.599×107 0.9897 0.3898 425.41 21878.78 21843.70 1.067×105 0.0066 0.0030 457.39 5 23519.86 23462.12 1.591×107 0.9892 0.4743 425.48 21877.14 21842.55 1.129×105 0.0070 0.0039 457.42 6 23515.65 23458.47 1.581×107 0.9886 0.5574 425.55 21875.10 21841.10 1.205×105 0.0075 0.0049 457.47 7 23510.63 23454.12 1.570×107 0.9878 0.6388 425.64 21872.61 21839.30 1.299×105 0.0082 0.0061 457.52 8 23504.75 23449.00 1.557×107 0.9869 0.7183 425.75 21869.62 21837.11 1.411×105 0.0089 0.0075 457.58 9 23497.95 23443.07 1.542×107 0.9857 0.7956 425.87 21866.06 21834.46 1.544×105 0.0099 0.0092 457.66 10 23490.15 23436.26 1.525×107 0.9844 0.8702 426.01 21861.87 21831.29 1.701×105 0.0110 0.0112 457.74 11 23481.26 23428.48 1.506×107 0.9827 0.9417 426.17 21856.94 21827.52 1.885×105 0.0123 0.0136 457.85 12 23471.20 23419.66 1.484×107 0.9808 1.010 426.36 21851.19 21823.05 2.100×105 0.0139 0.0165 457.97 13 23459.83 23409.67 1.460×107 0.9784 1.074 426.56 21844.49 21817.77 2.350×105 0.0158 0.0199 458.11 14 23447.03 23398.40 1.433×107 0.9757 1.133 426.80 21836.71 21811.57 2.640×105 0.0180 0.0241 458.27 15 23432.64 23385.70 1.402×107 0.9723 1.187 427.06 21827.68 21804.29 2.975×105 0.0206 0.0290 458.46 16 23416.46 23371.41 1.368×107 0.9683 1.234 427.35 21817.21 21795.75 3.362×105 0.0238 0.0349 458.68 17 23398.26 23355.31 1.329×107 0.9634 1.274 427.69 21805.07 21785.77 3.807×105 0.0276 0.0420 458.94 $\tilde{v} $/cm–1 Aυ'J'→υ''J''
/s–1Rυ'J'→υ''J'' gfυ'J'←υ''J'' λυ'J'←υ''J''
/nm$\tilde{v} $/cm–1 Aυ'J'→υ''J''
/s–1Rυ'J'→υ''J'' gfυ'J'←υ''J'' λυ'J'←υ''J''
/nmJ'' (0, 2) 实验[17] (0,3) 1 20290.37 20276.85 5.595×104 0.0034 6.113×10–4 493.20 18753.82 8.717×102 5.355×10–5 1.115×10–5 533.60 2 20290.47 20277.15 5.637×104 0.0035 0.0010 493.19 18754.62 9.044×102 5.565×10–5 1.927×10–5 533.58 3 20290.61 20277.59 5.700×104 0.0035 0.0015 493.19 18755.79 9.552×102 5.893×10–5 2.850×10–5 533.55 4 20290.76 20278.15 5.787×104 0.0036 0.0019 493.19 18757.33 1.026×103 6.355×10–5 3.936×10–5 533.50 5 20290.89 20278.80 5.898×104 0.0037 0.0024 493.18 18759.19 1.121×103 6.972×10–5 5.254×10–5 533.45 6 20290.97 20279.50 6.037×104 0.0038 0.0029 493.18 18761.34 1.244×103 7.777×10–5 6.888×10–5 533.39 7 20290.95 20280.21 6.206×104 0.0039 0.0034 493.18 18763.74 1.401×103 8.811×10–5 8.946×10–5 533.32 8 20290.78 20280.88 6.411×104 0.0041 0.0040 493.19 18766.33 1.599×103 1.013×10–4 1.157×10–4 533.25 9 20290.39 20281.45 6.655×104 0.0043 0.0046 493.19 18769.05 1.849×103 1.182×10–4 1.495×10–4 533.17 10 20289.71 20281.85 6.945×104 0.0045 0.0053 493.21 18771.81 2.165×103 1.397×10–4 1.934×10–4 533.09 11 20288.65 20282.00 7.289×104 0.0048 0.0061 493.24 18774.53 2.564×103 1.673×10–4 2.508×10–4 533.02 12 20287.11 20281.80 7.697×104 0.0051 0.0070 493.27 18777.10 3.071×103 2.029×10–4 3.264×10–4 532.94 13 20284.96 20281.15 8.181×104 0.0055 0.0080 493.33 18779.41 3.719×103 2.492×10–4 4.268×10–4 532.88 14 20282.08 20279.91 8.759×104 0.0060 0.0093 493.40 18781.31 4.553×103 3.101×10–4 5.612×10–4 532.82 15 20278.28 20277.94 9.450×104 0.0066 0.0107 493.49 18782.63 5.638×103 3.910×10–4 7.427×10–4 532.79 16 20273.39 20275.06 1.028×105 0.0073 0.0124 493.61 18783.19 7.065×103 5.002×10–4 9.907×10–4 532.77 17 20267.15 20271.07 1.129×105 0.0082 0.0144 493.76 18782.72 8.970×103 6.502×10–4 0.0013 532.78 $\tilde{v} $/cm–1 Aυ'J'→υ''J″
/s–1Rυ'J'→υ''J'' gfυ'J'←υ''J'' λυ'J'←υ''J''
/nm$\tilde{v} $/cm–1 Aυ'J'→υ''J''
/s–1Rυ'J'→υ''J'' gfυ'J'←υ''J'' λυ'J'←υ''J''
/nmJ'' (1, 0) 实验[17] (1, 1) 实验[17] 1 24590.53 24551.64 1.828×106 0.1670 0.0136 406.95 22942.74 22926.94 8.154×106 0.7449 0.0697 436.18 2 24586.03 24547.55 1.837×106 0.1687 0.0228 407.02 22938.96 22923.59 8.079×106 0.7419 0.1151 436.25 3 24579.22 24541.37 1.852×106 0.1714 0.0322 407.14 22933.24 22918.50 7.967×106 0.7373 0.1590 436.36 4 24570.03 24533.04 1.871×106 0.1750 0.0418 407.29 22925.50 22911.64 7.815×106 0.7310 0.2006 436.51 5 24558.36 24522.50 1.894×106 0.1797 0.0518 407.48 22915.64 22902.93 7.623×106 0.7230 0.2394 436.69 6 24544.08 24509.56 1.921×106 0.1854 0.0622 407.72 22903.53 22892.19 7.387×106 0.7130 0.2745 436.92 7 24527.03 24494.16 1.951×106 0.1924 0.0729 408.00 22889.01 22879.35 7.106×106 0.7009 0.3050 437.20 $\tilde{v} $/cm–1 Aυ'J'→υ''J''
/s–1Rυ'J'→υ''J'' gfυ'J'←υ''J'' λυ'J'←υ''J''
/nm$\tilde{v} $/cm–1 Aυ'J'→υ''J''
/s–1Rυ'J'→υ''J'' gfυ'J'←υ''J'' λυ'J'←υ''J''
/nmJ'' (1, 2) 实验[17] (1, 3) 实验[17] 1 21351.54 21358.16 6.384×105 0.0583 0.0063 468.68 19814.99 19843.91 2.767×105 0.0253 0.0032 505.03 2 21348.47 21355.52 6.437×105 0.0591 0.0106 468.75 19812.61 19841.97 2.790×105 0.0256 0.0053 505.09 3 21343.81 21351.52 6.514×105 0.0603 0.0150 468.85 19808.99 19839.03 2.825×105 0.0261 0.0076 505.18 4 21337.48 21346.09 6.615×105 0.0619 0.0196 468.99 19804.05 19835.01 2.872×105 0.0269 0.0099 505.31 5 21329.39 21339.17 6.739×105 0.0639 0.0244 469.17 19797.69 19829.85 2.931×105 0.0278 0.0123 505.47 6 21319.40 21330.59 6.881×105 0.0664 0.0295 469.39 19789.78 19823.38 3.003×105 0.0290 0.0149 505.67 7 21307.35 21320.25 7.037×105 0.0694 0.0349 469.66 19780.14 19815.51 3.088×105 0.0305 0.0178 505.92 $\tilde{v} $/cm–1 Aυ'J'→υ''J''
/s–1Rυ'J'→υ''J'' gfυ'J'←υ''J'' λυ'J'←υ''J''
/nm$\tilde{v} $/cm–1 Aυ'J'→υ''J''
/s–1Rυ'J'→υ''J'' gfυ'J'←υ''J'' λυ'J'←υ''J''
/nmJ'' (1, 4) 实验[17] (1,5) 1 18331.39 18382.88 3.727×104 0.0034 4.988×10–4 545.90 16899.39 1.003×104 9.167×10–4 1.580×10–4 592.16 2 18329.69 18381.64 3.815×104 0.0035 8.512×10–4 545.95 16898.36 1.031×104 9.469×10–4 2.707×10–4 592.19 3 18327.09 18379.73 3.951×104 0.0037 0.0012 546.03 16896.76 1.074×104 9.944×10–4 3.950×10–4 592.25 4 18323.51 18377.09 4.140×104 0.0039 0.0017 546.14 16894.52 1.135×104 0.0011 5.368×10–4 592.33 5 18318.84 18373.66 4.388×104 0.0042 0.0022 546.27 16891.53 1.217×104 0.0012 7.035×10–4 592.43 6 18312.97 18369.25 4.703×104 0.0045 0.0027 546.45 16887.65 1.324×104 0.0013 9.047×10–4 592.57 7 18305.71 18363.80 5.096×104 0.0050 0.0034 546.67 16882.73 1.461×104 0.0014 0.0012 592.74 (υ',υ'') $\tilde{v} $
/cm–1Aυ'J'→υ′′J''
/s–1Rυ'J'→υ′′J'' gfυ'J'←υ′′J'' λυ'J'←υ′′J''
/nm(υ',υ'') $\tilde{v} $
/cm–1Aυ'J'→υ′′J''
/s–1Rυ'J'→υ′′J'' gfυ'J'←υ′′J'' λυ'J'←υ′′J''
/nm(0, 0) 15439.35 1.4233 0.4815 8.952×10–9 648.16 (1, 0) 17153.57 1.1118 0.2666 5.665×10–9 583.38 (0, 1) 13791.56 1.3715 0.4639 1.081×10–8 725.60 (1, 1) 15505.78 0.3272 0.0785 2.040×10–9 645.38 (0, 2) 12200.35 0.1427 0.0483 1.437×10–9 820.23 (1, 2) 13914.57 2.3636 0.5668 1.830×10–8 719.18 (0, 3) 10663.80 0.0170 0.0057 2.237×10–10 938.42 (1, 3) 12378.03 0.3047 0.0731 2.982×10–9 808.46 (0, 4) 9180.20 0.0017 5.644×10–4 2.968×10–11 1090.08 (1, 4) 10894.42 0.0552 0.0132 6.968×10–10 918.55 (2, 0) 18760.32 0.1534 0.0217 6.534×10–10 533.42 (3, 0) 20242.83 9.974×10–4 7.907×10–5 3.649×10–12 494.35 (2, 1) 17112.53 3.0626 0.4328 1.568×10–8 584.78 (3, 1) 18595.04 0.3518 0.0279 1.526×10–9 538.16 (2, 2) 15521.32 0.0124 0.0018 7.738×10–11 644.73 (3, 2) 17003.84 5.9524 0.4719 3.086×10–8 588.52 (2, 3) 13984.78 3.3509 0.4736 2.569×10–8 715.57 (3, 3) 15467.29 0.8562 0.0679 5.365×10–9 646.99 (2, 4) 12501.17 0.3662 0.0518 3.513×10–9 800.49 (3, 4) 13983.68 5.0015 0.3965 3.835×10–8 715.63 (υ',υ'') $\tilde{v} $
/cm–1Aυ'J'→υ′′J''
/s–1Rυ'J'→υ′′J'' gfυ'J'←υ′′J'' λυ'J'←υ′′J''
/nm(υ',υ'') $\tilde{v} $
/cm–1Aυ'J'→υ′′J''
/s–1Rυ'J'→υ′′J'' gfυ'J'←υ′′J'' λυ'J'←υ′′J''
/nm(0, 0) 8076.52 1.0762 0.9466 7.420×10–8 1239.04 (1, 0) 9138.01 0.5696 0.0665 3.068×10–8 1095.11 (0, 1) 6362.81 0.0072 0.0493 7.977×10–10 1572.75 (1, 1) 7424.29 0.2740 0.8481 2.236×10–8 1347.89 (0, 2) 4756.62 3.940×10–4 0.0038 7.832×10–11 2103.83 (1, 2) 5818.10 0.0142 0.0748 1.887×10–9 1720.00 (0, 3) 3274.75 1.009×10–5 2.791×10–4 4.233×10–12 3055.84 (1, 3) 4336.24 0.0020 0.0096 4.722×10–10 2307.79 (0, 4) 1943.34 1.047×10–6 2.303×10–5 1.246×10–12 5149.44 (1, 4) 3004.82 1.304×10–4 8.994×10–4 6.496×10–11 3330.35 (2, 0) 18806.49 5.770×10–4 9.414×10–6 7.337×10–12 532.11 (3, 0) 20288.57 0.0063 1.050×10–4 6.836×10–11 493.24 (2, 1) 17158.70 6.5353 0.1066 9.983×10–8 583.21 (3, 1) 18640.77 0.0622 0.0010 8.047×10–10 536.84 (2, 2) 15567.49 49.009 0.7996 9.095×10–7 642.82 (3, 2) 17049.57 6.7939 0.1141 1.051×10–7 586.94 (2, 3) 14030.95 4.6491 0.0759 1.062×10–7 713.22 (3, 3) 15513.02 47.992 0.8058 8.969×10–7 645.08 (2, 4) 12547.34 0.9790 0.0160 2.797×10–8 797.55 (3, 4) 14029.42 3.2035 0.0538 7.320×10–8 713.29 -
[1] [2] [3] [4] [5] [6] [7] [8] [9] [10] [11] [12] [13] [14] [15] [16] [17] [18] [19] [20] [21] [22] [23] [24] [25] [26] [27] [28] [29] [30] [31] [32] [33] [34] [35] [36] [37] [38] [39] [40] [41] [42] [43] [44] [45] [46] [47]
Catalog
Metrics
- Abstract views:2657
- PDF Downloads:67
- Cited By:0













DownLoad:



