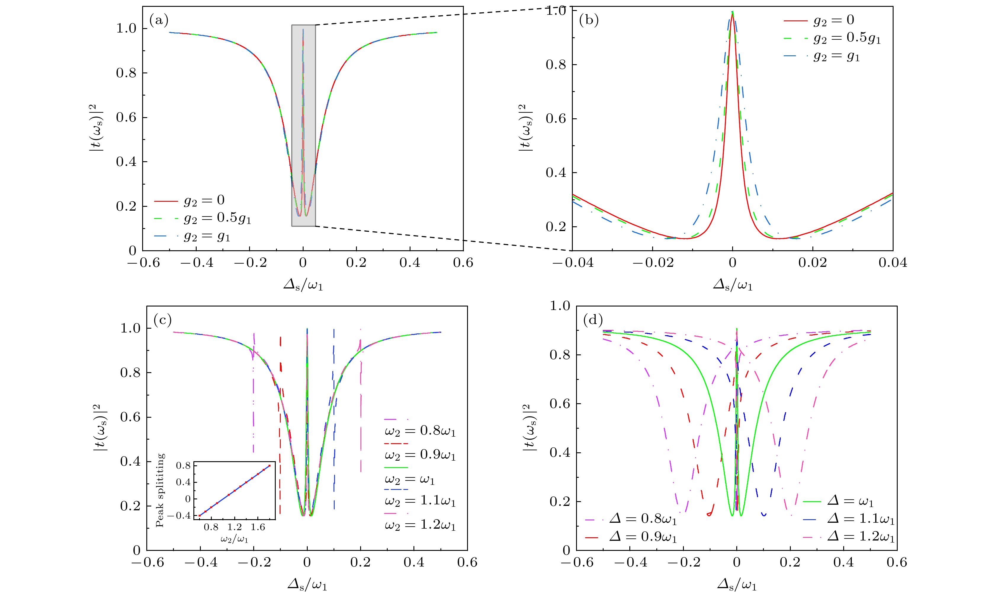
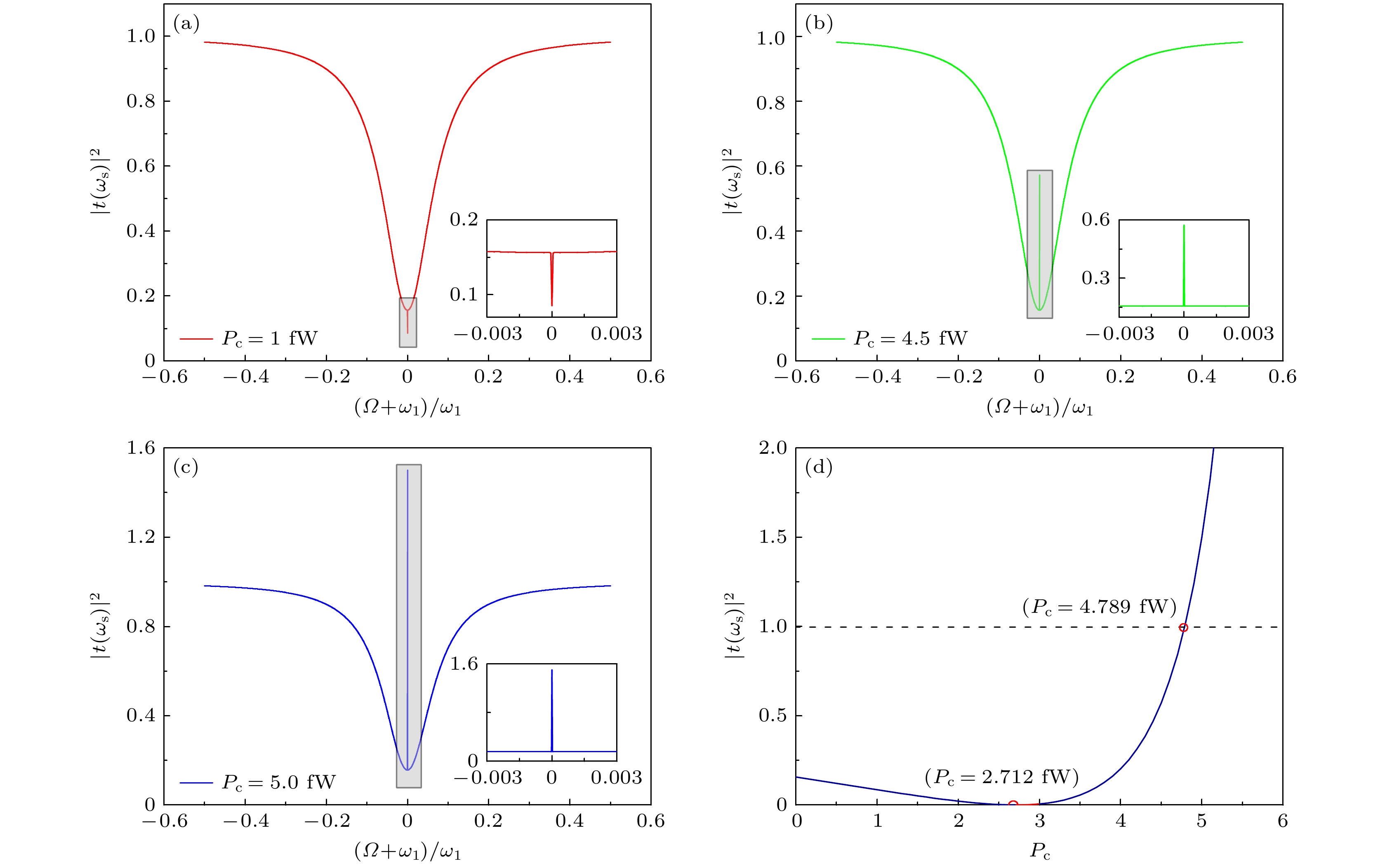
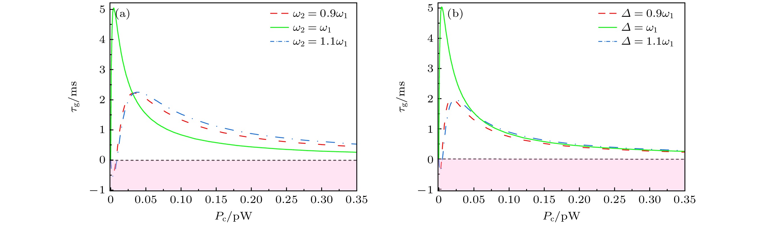
Owing to the radiation pressure, the cavity optomechanical system can couple the optical field with the mechanical resonator, so the state of the mechanical resonator can be regulated through the optical field. Conversely, the optical field in the optomechanical system can also be regulated by modulating the mechanical element. Therefore, many interesting optical phenomena, such as Fano resonance, optomechanically induced absorption and amplification, and optomechanically induced transparency, can be generated in a cavity optomechanical system. Especially in transparent windows, both absorption and dispersion properties change strongly, which results in extensive applications such as slow light and optical storage. Because of its ultra-high quality factor, small size, mass production on chip and convenient all-optical control, it provides an ideal platform for realizing slow light engineering. In this work, by solving the Heisenberg equation of motion of a multimode optomechanical system composed of an optical cavity and two mechanical oscillators, and then by using the input-output relationship for the cavity, the intensity of probe transmission can be obtained. Taking the experimental date as realistic parameters, the behaviors of probe transmission in different detuning conditions are presented. By controlling the pump power under blue detuning, the probe transmission undergoes a process of optomechanically induced absorption to parametric amplification, and the critical pump power is obtained. In the case of red detuning, optomechanically induced transparency, Fano resonance and phase dispersion of the system are studied, and the results of different mechanical coupling strengths, frequency relations and detuning are compared. The numerical results show that as the mechanical coupling strength between two mechanical oscillators increases, the splitting distance becomes larger, and a larger coupling strength ratio will result in a larger splitting peak width. By controlling the frequency relationship between the two resonators, the probe transmission spectra undergo a series of transitions from Fano resonance to optomechanically induced transparency. Because the transmission window of the probe light is accompanied by rapid phase dispersion change, it will lead to group delay. The slow light effect caused by optomechanically induced transparency is further discussed, and the propagation of fast and slow light can be controlled by pump-cavity detuning. The optical delay in this system can be in the order of milliseconds. The multimode optomechanical system based on array structure has a potential application prospect in slowing and storing light pulses.