Based on the Bogoliubov-de Gennes equations, we investigate the transport of the Josephson current in a one-dimensional S/F
L-F-F
R/S junction, where S and F are superconductor and ferromagnet, and F
L,Rare the left and right interfaces with noncollinear magnetizations. It is found that the F
Land F
Rinterfaces can induce spin-mixing and spin-flip effects, which can transform a part of spin-singlet pairs in the S into equal-spin triplet pairs in the F. For the short S/F
L-F-F
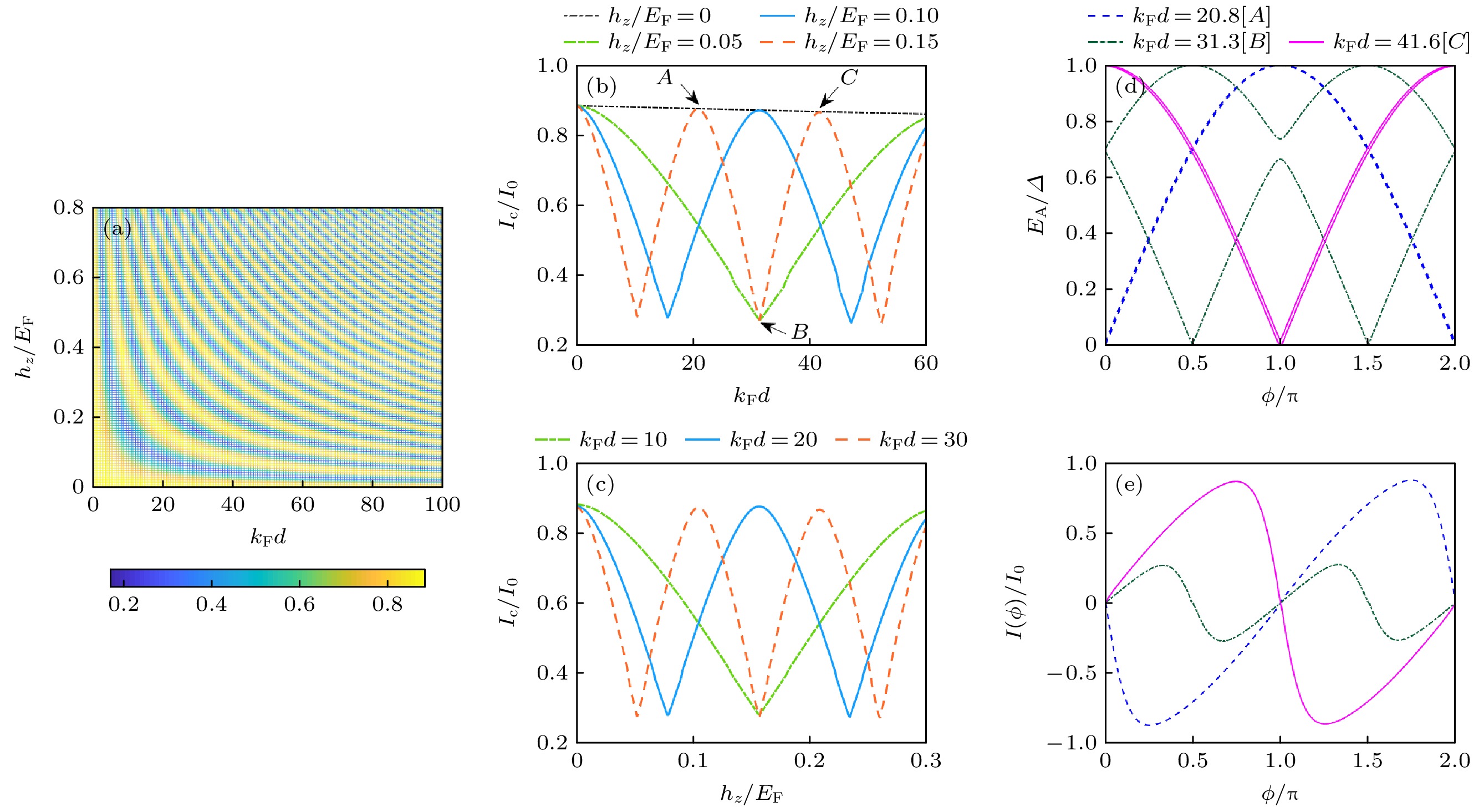
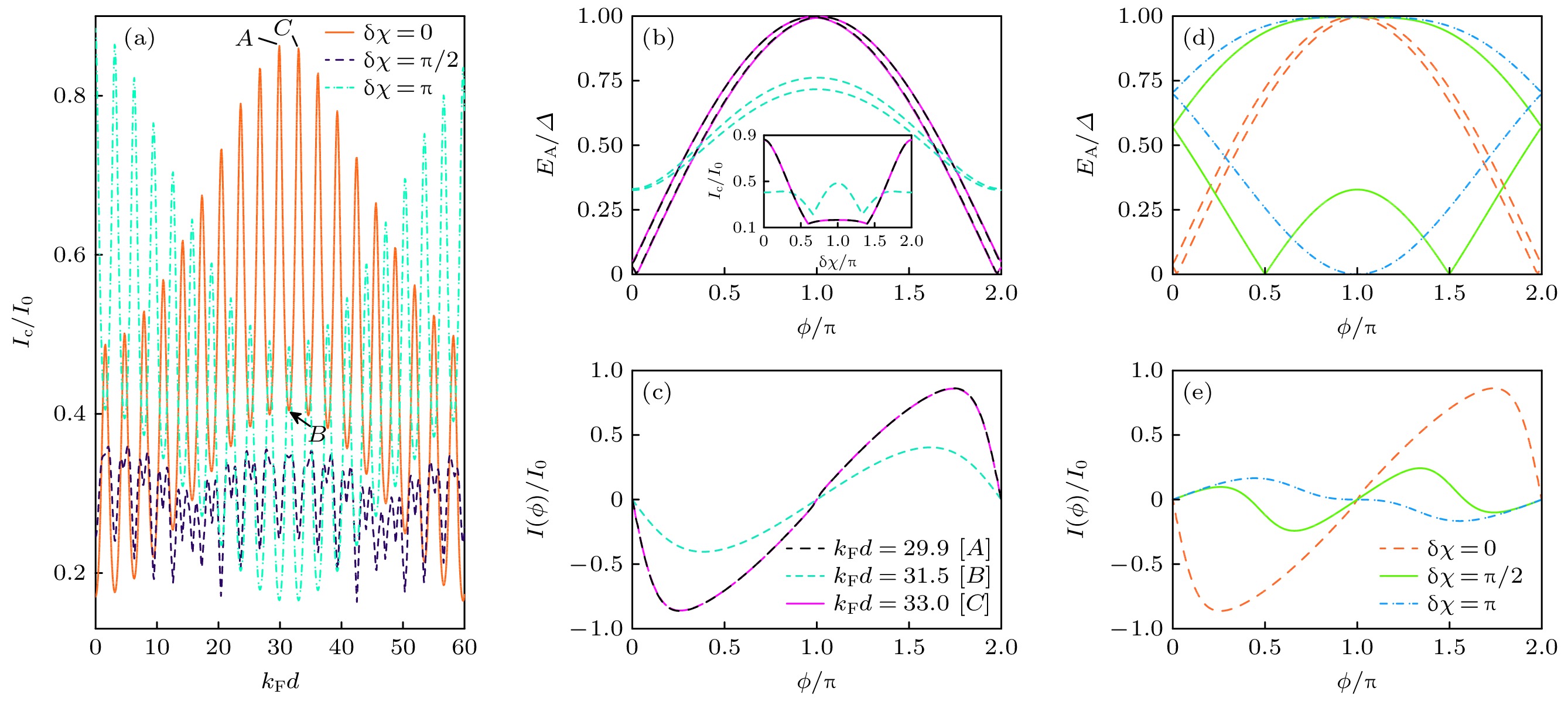
R/S junction, the spin-singlet pairs and the equal-spin triplet pairs can survive in the F layer. Therefore, with the increase of the ferromagnetic exchange field and the angle difference of interface magnetization rotation, the critical current oscillates on a base level. If the F is transformed into half-metal, only the equal-spin triple pairs exist in the F layer, and the oscillation characteristic of critical current disappears. In addition, the F
Land F
Rinterfaces can work as conventional potential barriers. As a result, the critical current exhibits double oscillation behaviors with the increase of ferromagnetic thickness, in which the long-wave oscillation arises from the phase change of the spin-singlet pairs in the ferromagnetic layer, and the short-wave oscillation is caused by the resonant tunneling effect when the spin-singlet pairs and the equal-spin triplet pairs pass through two interfacial barriers.