-
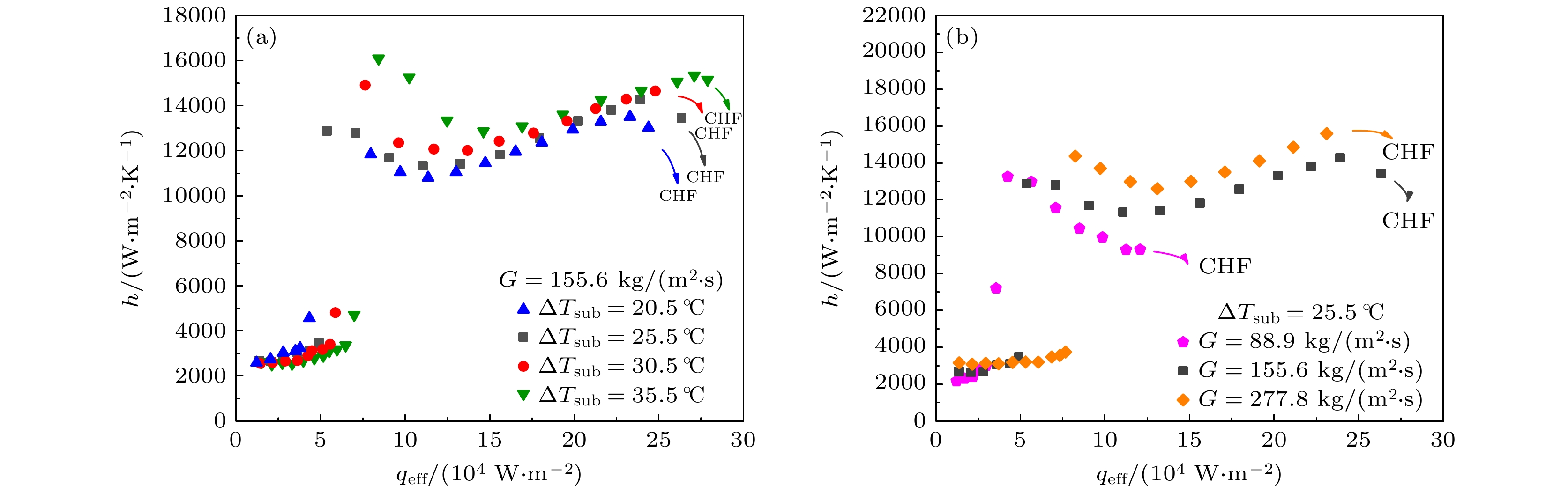
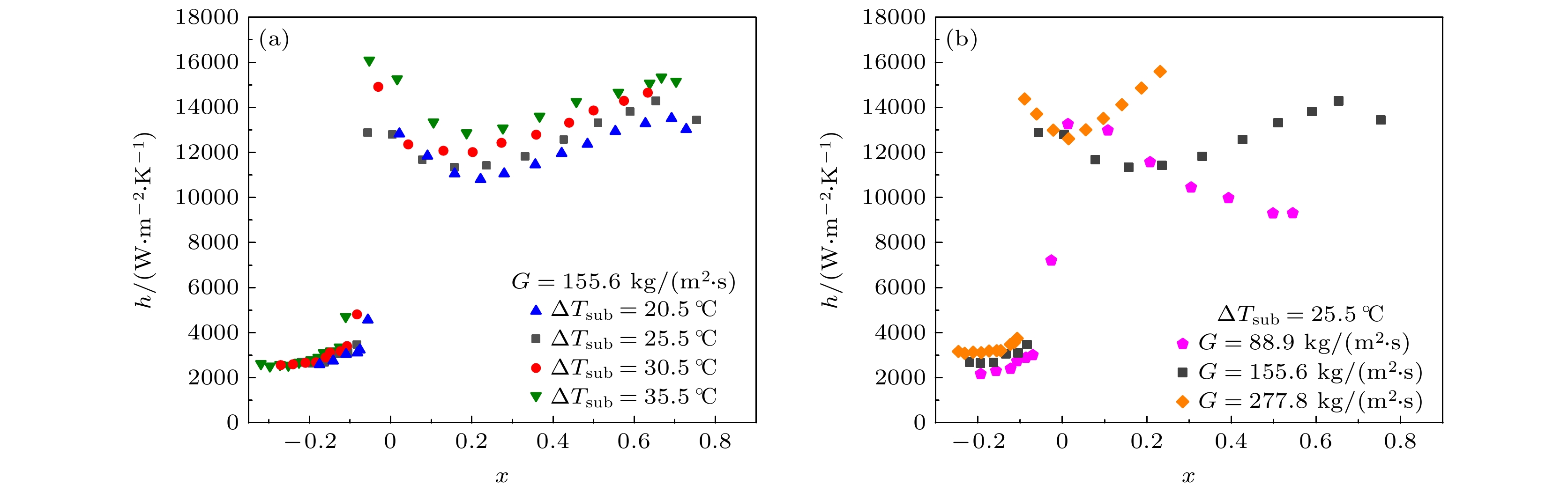
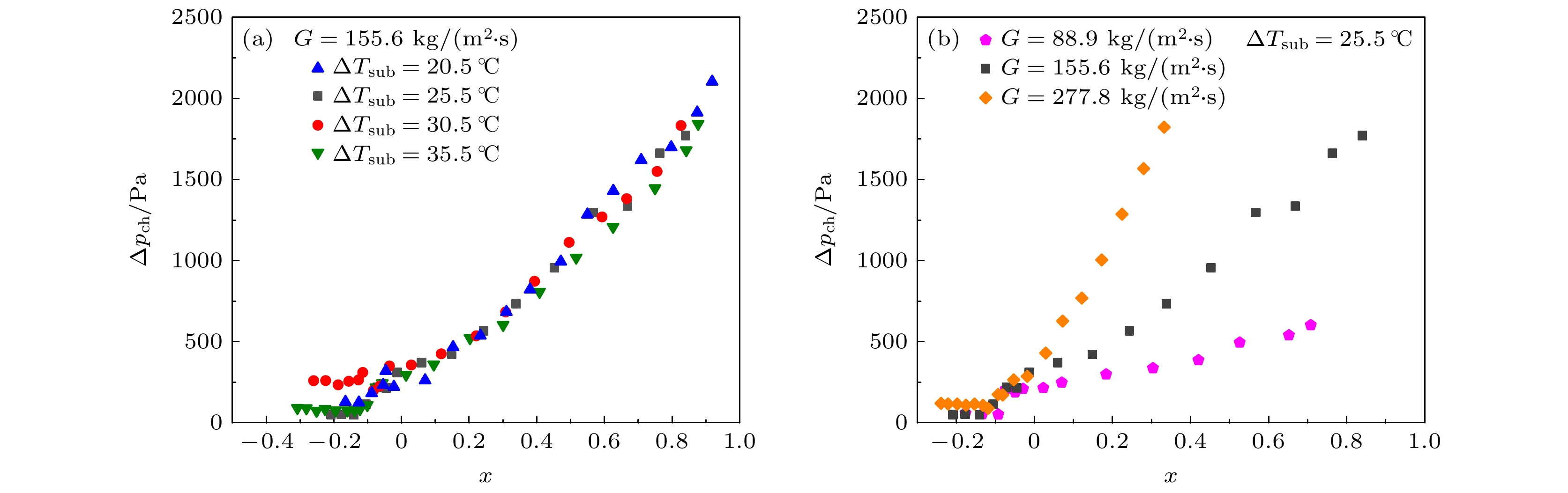
With the rapid development of microelectronic technology, the integration and power of chip are increasing. Heat dissipation with high heat flux in limited space has become a bottleneck restricting the efficient and stable operation of the microelectronic devices. Flow boiling in microchannel heat sink is one of the most essential candidates for solving this problem. It has been shown that remarkable high heat transfer performance can be achieved through the liquid-to-vapor change process, which can dissipate a large amount of heat from a small area. In addition, dielectric fluorinated fluids, such as HFE-7100, HFE-7200, and FC-72, are especially suitable for cooling microelectronic devices, because of their excellent safety and environmental characteristics. However, dielectric fluorinated fluids have poorer thermophysical properties than water. Thus, the flow boiling heat transfer characteristics of dielectric fluorinated fluids can be different from those of water. In this work, flow boiling heat transfer and flow characteristics of HFE-7100 in a rectangular parallel microchannel are investigated. The tests are conducted at mass fluxes from 88.9 to 277.8 kg·m –2·s –1, inlet subcooling temperature from 20.5 to 35.5 ℃ and effective heat flux from 12 to 279 kW·m –2at nearly atmospheric pressure. The effects of mass flux, inlet subcooling temperature, effective heat flux and vapor quality are examined and analyzed. Additionally, flow visualization is also obtained to explain the heat transfer mechanism during the experiments. The results show that the boiling hysteresis is observed for HFE-7100 at low inlet subcooling temperature, and the increasing inlet subcooling temperature and mass flux can delay the onset of nucleate boiling. The increases of inlet subcooling temperature and mass flux can enhance the two-phase heat transfer coefficient. And the two-phase heat transfer coefficient is significantly dependent on the inlet subcooling temperature in the slug flow, while it is significantly dependent on the mass flux in the annular flow. The two-phase pressure drop increases drastically as the effective heat flux increases. And the two-phase pressure drops with different mass fluxes at constant vapor quality are obviously different between the slug flow and the annular flow. Furthermore, the experimental data are compared with four predicted values of the literature. It is found that the correlation of Lockhart has the best statistical agreement with an MAE of 19.6% and over 85% of points in the deviation bandwidth of ±30%. The results in this paper give valuable theoretical guidance for designing and optimizing heat dissipation equipment for microelectronic devices. By utilizing HFE-7100 as the coolant and microchannel heat sinks in flow boiling, it is possible to enhance the stability and reliability of the electronic devices. Additionally, the heat transfer performance associated with different heat fluxes can be improved by regulating the inlet subcooling and mass flow rate. Finally, the two-phase pressure drop correlation proposed by Lockhart can be employed to predict the pump power for heat dissipation equipment.
-
Keywords:
- flow boiling/
- microchannel/
- HFE-7100/
- heat transfer/
- electronic devices
[1] [2] [3] [4] [5] [6] [7] [8] [9] [10] [11] [12] [13] [14] [15] [16] [17] [18] [19] [20] [21] [22] [23] [24] [25] [26] [27] [28] [29] [30] [31] [32] [33] -
测量参数 测试设备 测量范围 不确定度 温度 Omega T/K 0—300 ℃ ±0.2 ℃ 压力 Star CYYZ11 0—0.4 MPa ±0.1% 压差 Star CCY15 0—20 kPa ±0.25% 质量流量 Bronkhorst MINI CORI-FLOW M14 0.3—15 kg·h–1 ±0.2% 长度 LINKS游标卡尺 0—150 mm ±0.01 mm 两相热流密度 — — 2.2%—9.1% 两相传热系数 — — 2.5%—9.7% 干度 — — 1.7%—6.3% 文献 两相压降关联式 MAE/% δ/% [30] $ {X_{vv}} = {\left( {\dfrac{{{\mu _{{\text{l, out, t}}}}}}{{{\mu _{{\text{g, out, t}}}}}}} \right)^{0.274}}{\left( {\dfrac{{1 - {x_{{\text{out }}}}}}{{{x_{{\text{out }}}}}}} \right)^{0.727}}{\left( {\dfrac{{{\text{ }}R{e_{{\text{g, out, t}}}}}}{{R{e_{{\text{l, out, t}}}}}}} \right)^{0.5}} $, ${f_{\text{l}}} = \dfrac{{20.09}}{{Re_{{\text{l, out}}\;}^{0.547}}}$ 19.6 85.5 $\phi _{\text{f}}^2 = 1 + \dfrac{5}{{{X_{vv}}}} + \dfrac{1}{{X_{vv}^2}}$, $\Delta {p_{{\text{ch, cal}}}} = \dfrac{{2{f_{\text{l}}}{G^2}\phi _{\text{f}}^2\left( {L - {S_{\text{L}}}} \right)}}{{3{\rho _{\text{l}}}{D_{{\text{ch}}}}}}\left( {x_{{\text{out}}\;}^2 - 3{x_{{\text{out}}\;}} + 3} \right)$ [31] $ {X_{vv}} = {\left( {\dfrac{{{\mu _{{\text{l, out, t}}}}}}{{{\mu _{{\text{g, out, t}}}}}}} \right)^{0.274}}{\left( {\dfrac{{1 - {x_{{\text{out }}}}}}{{{x_{{\text{out }}}}}}} \right)^{0.727}}{\left( {\dfrac{{{\text{ }}R{e_{{\text{g, out, t}}}}}}{{R{e_{{\text{l, out, t}}}}}}} \right)^{0.5}} $, ${f_{\text{l}}} = \dfrac{{20.09}}{{Re_{{\text{l, out, t}}}^{{0}{.547}}}}$ 20.6 85.5 ${C_{\text{M}}} = 21\left( {1 - {{\text{e}}^{ - 319{D_{{\text{fin}}}}}}} \right)\left( {0.00418 G + 0.0613} \right)$, $\phi _{\text{f}}^2 = 1 + \dfrac{{{C_{\text{M}}}}}{{{X_{vv}}}} + \dfrac{1}{{X_{vv}^2}}$ $\Delta {p_{{\text{ch, cal}}}} = \dfrac{{2{f_{\text{l}}}{G^2}\phi _{\text{f}}^2\left( {L - {S_{\text{L}}}} \right)}}{{3{\rho _{\text{l}}}{D_{{\text{ch}}}}}}\left( {x_{{\text{out}}\;}^2 - 3{x_{{\text{out}}\;}} + 3} \right)$ [32] $ {X_{vv}} = {\left( {\dfrac{{{\mu _{{\text{l, out, t}}}}}}{{{\mu _{{\text{g, out, t}}}}}}} \right)^{0.274}}{\left( {\dfrac{{1 - {x_{{\text{out }}}}}}{{{x_{{\text{out }}}}}}} \right)^{0.727}}{\left( {\dfrac{{{\text{ }}R{e_{{\text{g, out, t}}}}}}{{R{e_{{\text{l, out, t}}}}}}} \right)^{0.5}} $, ${f_{\text{l}}} = \dfrac{{20.09}}{{Re_{{\text{l, out, t}}}^{{0}{.547}}}}$ 27.8 63.6 ${C_{\text{L}}} = 2566{G^{0.5466}}D_{{\text{ch}}}^{0.8819}\left( {1 - {{\rm e} ^{ - 319{D_{{\text{ch}}}}}}} \right)$, $\phi _{\text{f}}^2 = 1 + \dfrac{{{C_{\text{L}}}}}{{{X_{vv}}}} + \dfrac{1}{{X_{vv}^2}}$ $\Delta {p_{{\text{ch, cal}}}} = \dfrac{{2{f_{\text{l}}}{G^2}\phi _{\text{f}}^2\left( {L - {S_{\text{L}}}} \right)}}{{3{\rho _{\text{l}}}{D_{{\text{ch}}}}}}\left( {x_{{\text{out}}\;}^2 - 3{x_{{\text{out}}\;}} + 3} \right)$ [33] $ {X_{vv}} = {\left( {\dfrac{{{\mu _{{\text{l, out, t}}}}}}{{{\mu _{{\text{g, out, t}}}}}}} \right)^{0.274}}{\left( {\dfrac{{1 - {x_{{\text{out }}}}}}{{{x_{{\text{out }}}}}}} \right)^{0.727}}{\left( {\dfrac{{{\text{ }}R{e_{{\text{g, out, t}}}}}}{{R{e_{{\text{l, out, t}}}}}}} \right)^{0.5}} $, ${f_{\text{l}}} = \dfrac{{20.09}}{{Re_{{\text{l, out, t}}}^{0.547}}}$ 25.5 74.5 ${C_{\text{K}}} = \dfrac{{0.0358}}{{Re_{{\text{l, out, t}}}^{{0}{.547}}}}$, $\phi _{\text{f}}^2 = 1 + \dfrac{{{C_{\text{K}}}}}{{{X_{vv}}}} + \dfrac{1}{{X_{vv}^2}}$ $\Delta {p_{{\text{ch, cal}}}} = \dfrac{{2{f_{\text{l}}}{G^2}\phi _{\text{f}}^2\left( {L - {S_{\text{L}}}} \right)}}{{3{\rho _{\text{l}}}{D_{{\text{ch}}}}}}\left( {x_{{\text{out}}\;}^2 - 3{x_{{\text{out}}\;}} + 3} \right)$ -
[1] [2] [3] [4] [5] [6] [7] [8] [9] [10] [11] [12] [13] [14] [15] [16] [17] [18] [19] [20] [21] [22] [23] [24] [25] [26] [27] [28] [29] [30] [31] [32] [33]
Catalog
Metrics
- Abstract views:2292
- PDF Downloads:90
- Cited By:0













DownLoad:








