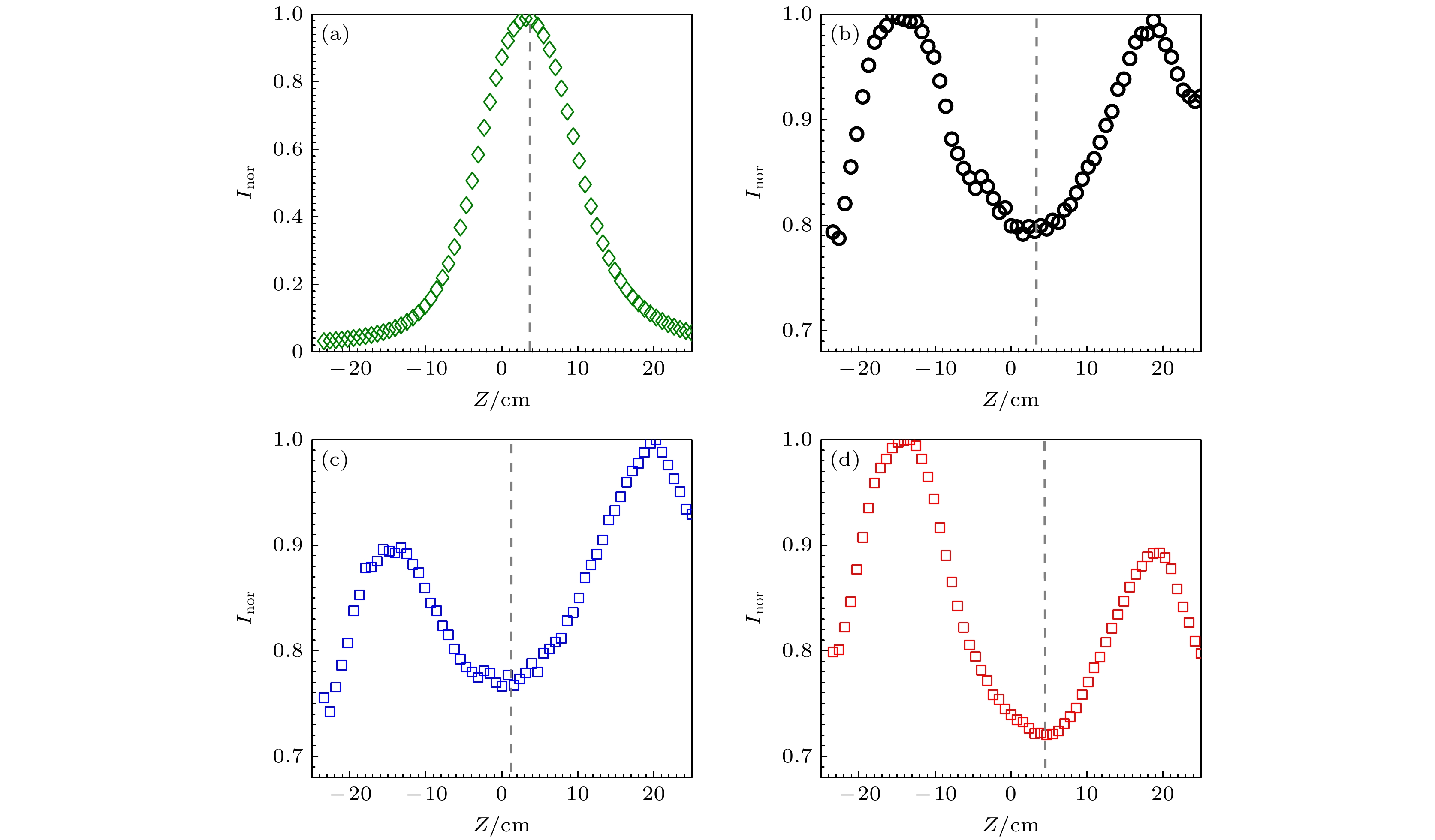
\begin{document}$B\times \nabla B$\end{document} drift direction. However, after injecting deuterated methane CD4 into plasma through the valve of the upper divertor outer plate, the central toroidal rotation velocity decreases rapidly, and the asymmetry of the original tungsten impurity radiation decreases soon and finally reverses. In this work, a further statistical study of the W32+ impurity radiation asymmetry factor Iu/Id depending on the central toroidal rotation velocity Vt0 is performed. The results show that when Vt0 is larger than 30 km/s, the side with strong radiation deviates from ion \begin{document}$B\times \nabla B$\end{document} drift direction, however, when Vt0 decreases to below 20 km/s, the asymmetry can be reversed. The relation of toroidal rotation velocity with impurity radiation asymmetry validates the prediction from drift-kinetic theory, and demonstrates that the centrifugal force induced by the toroidal rotation directly causes the asymmetric distribution of tungsten impurities through affecting the momentum conservation parallel to the magnetic field. The experimental observation of the asymmetric distribution of tungsten impurities in this work lays a solid foundation for further studying the poloidal transport of high-Z impurities and provides some important references for controlling the high-Z impurities in future fusion reactors."> - 必威体育下载

Search

Article

x

留言板

姓名
邮箱
手机号码
标题
留言内容
验证码

downloadPDF
Citation:

    Zhao Wei-Kuan, Zhang Ling, Cheng Yun-Xin, Zhou Cheng-Xi, Zhang Wen-Min, Duan Yan-Min, Hu Ai-Lan, Wang Shou-Xin, Zhang Feng-Ling, Li Zheng-Wei, Cao Yi-Ming, Liu Hai-Qing
    PDF
    HTML
    Get Citation
    Metrics
    • Abstract views:1677
    • PDF Downloads:51
    • Cited By:0
    Publishing process
    • Received Date:06 September 2023
    • Accepted Date:07 October 2023
    • Available Online:27 October 2023
    • Published Online:05 February 2024

      返回文章
      返回