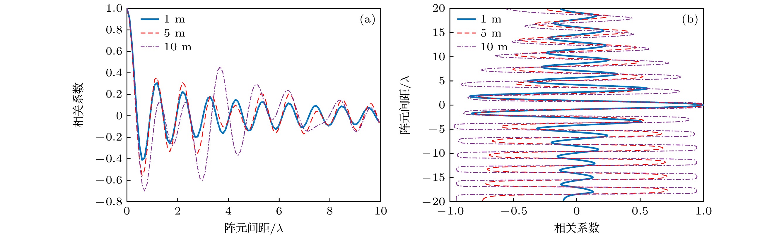
Acoustic scattering is an important part of ocean acoustics, and the acoustic scattering caused by the unevenness of the seafloor surface is one of the reasons for the fluctuation of acoustic propagation in the ocean. In order to solve the acoustic scattering problem of sea bottom surface roughness, normal wave theory is used to model the acoustic field. To simplify the problem, Lambert’s law is used to establish the seafloor rough scattering model in horizontal layered shallow sea waveguides, and the scattering field is assumed to be isotropic in the horizontal direction. Based on this model, the amplitude distribution and the phase distribution of the scattered sound pressure are obtained, and the intensity of the scattered sound field and its spatial correlation coefficient are simulated numerically. The prediction of the scattered sound field under rough interface conditions is realized, and the variation of the spatial characteristics of the scattered sound field with the roughness of the seafloor is revealed. The results show that when Lambert’s law is used to describe the rough interface acoustic scattering and when the seafloor roughness is smaller than the wavelength, the spatial correlation coefficient of the scattered sound field at two different positions in space has a change rule of periodic oscillation attenuation with the increase of spatial distance, and in the vertical direction, the oscillation period is larger and the attenuation is slower. When the roughness increases, the oscillation amplitude of the horizontal and the vertical correlation coefficient gradually increase, the oscillation period of the horizontal correlation coefficient gradually decreases, and the vertical correlation coefficient no longer attenuates in the direction near the seafloor, which is the result of the weakening of the seafloor acoustic scattering. The model theory in this paper can also be extended to the acoustic scattering modeling of rough sea surface. For the case of non-horizontal seabed, the scattered sound field of the rough interface in the waveguide can be obtained by using coupled normal wave or adiabatic normal wave theory.