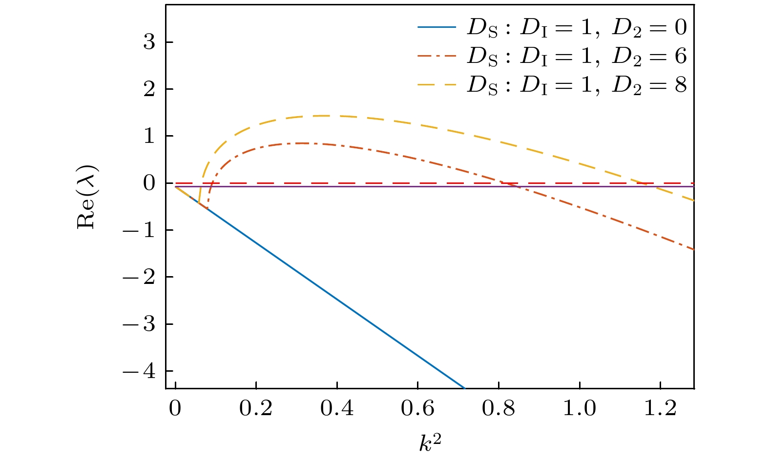
Currently, most of researches on the spatial patterns of the SI model focus on the influences of self-diffusion and system parameters on pattern formation, but only a few studies involve how cross-diffusion influences the evolution of spatial patterns. In this paper, we establish a spatial epidemic model that considers both self-diffusion and cross-diffusion and investigate the effects of cross-diffusion on the stability, the rate of stability, and the pattern structure of the SI model with or without self-diffusion-driven system instability. The stability of the non-diffusive system is analyzed, and the conditions for Turing instability in the presence of diffusion terms are elucidated. It is found that when the system is stable under self-diffusion-driven conditions, the introduction of cross-diffusion can change the system's local stability, and produce Turing patterns as well. Furthermore, different cross-diffusion coefficients can generate patterns with different structures. When the system is unstable under self-diffusion-driven conditions, the introduction of cross-diffusion can change the pattern structure. Specifically, when the cross-diffusion coefficient
$D_1$
for the susceptible individuals is negative, the pattern structure is transformed from spot-stripe patterns into spot patterns, and when it is positive, the pattern structureturns from spot-stripe patterns into labyrinthine patterns, and eventually into a uniform solid color distribution. When the cross-diffusion coefficient
$D_2$
for the infected individuals is positive, the pattern transformation is similar to when the cross-diffusion coefficient
$D_1$
for susceptible individuals is negative, the pattern graduallychanges into spot patterns. When
$D_2$
is negative, the pattern structure exhibits a porous structure, eventually it is transformed into a uniform solid color distribution. Regarding the rate of stability of the SI model, in the case of a stable self-diffusion system, the introduction of cross-diffusion may change the rate of system stability, and the larger the cross-diffusion coefficient
$D_1$
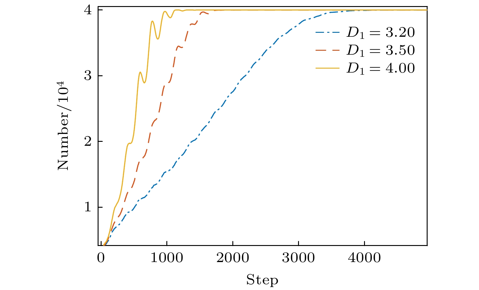
for the susceptible individuals, the faster the system stabilizes. When the self-diffusion-driven system is unstable, the cross-diffusion causes the system to change from an unstable state into a locally stable state, and the smaller the susceptible individuals' cross-diffusion coefficient, the slower the rate of system stabilization is. Therefore, cross-diffusion has a significantinfluence on the stability, the rate of stability, and the pattern structure of the SI model.