-
Solar cells have attracted much attention, for they can convert solar energy directly into electric energy, and have been widely utilized in manufacturing industry and people’s daily life. Although the power conversion efficiency (PCE) of single-junction solar cells has gradually improved in recent years, its maximum efficiency is still limited by the Shockley-Queisser (SQ) limit of single-junction solar cells. To exceed the SQ limit and further obtain high-efficiency solar cells, the concept of tandem solar cells has been proposed. In this work, the chalcopyrite CuGaSe 2/CuInSe 2tandem solar cells are studied systematically in theory by combining first-principle calculations and SCAPS-1D device simulations. Firstly, the electronic structure, defect properties and corresponding macroscopic performance parameters of CuGaSe 2(CGS) are obtained by first-principles calculations, and are used as input parameters for subsequent device simulations of CGS solar cells. Then, the single-junction CGS and CuInSe 2(CIS) solar cells are simulated by using SCAPS-1D software, respectively. The simulation results for the single junction CIS solar cells are in good agreement with the experimental values. For single-junction CGS cells, the device simulations reveal that the CGS single-junction solar cells have the highest short-circuit current ( J sc) and PCE under the Cu-rich, Ga-rich and Se-poor chemical growth condition. Further optimization in the growth environment with the highest short circuit current ( J sc) shows that the open-circuit voltage ( V oc) and PCE of CGS solar cells can be improved by replacing the electron transport layer (ETL) with ZnSe. Finally, after the optimized CGS and CIS solar cells are connected in series with two-terminal (2T) monolithic tandem solar cell, the device simulation results show that under the growth temperature of 700 K and the growth environment of Cu-rich, Ga-rich, and Se-poor, with ZnSe serving as the ETL, the CGS thickness of 2000 nm and the CIS thickness of 1336 nm, the PCE of 2T monolithic CGS/CIS tandem solar cell can reach 28.91%, which is higher than the ever-recorded efficiency of the current single-junction solar cells, and shows that this solar cell has a good application prospect.
[1] [2] [3] [4] [5] [6] [7] [8] [9] [10] [11] [12] [13] [14] [15] [16] [17] [18] [19] [20] [21] [22] [23] [24] [25] [26] [27] [28] [29] [30] [31] [32] [33] [34] [35] [36] [37] [38] [39] [40] [41] [42] [43] [44] [45] [46] [47] [48] [49] [50] [51] [52] [53] [54] [55] [56] [57] [58] [59] [60] [61] [62] [63] [64] [65] [66] [67] [68] [69] [70] [71] [72] [73] [74] [75] [76] [77] [78] [79] [80] [81] [82] [83] [84] [85] [86] [87] [88] [89] [90] [91] [92] [93] [94] [95] [96] [97] -
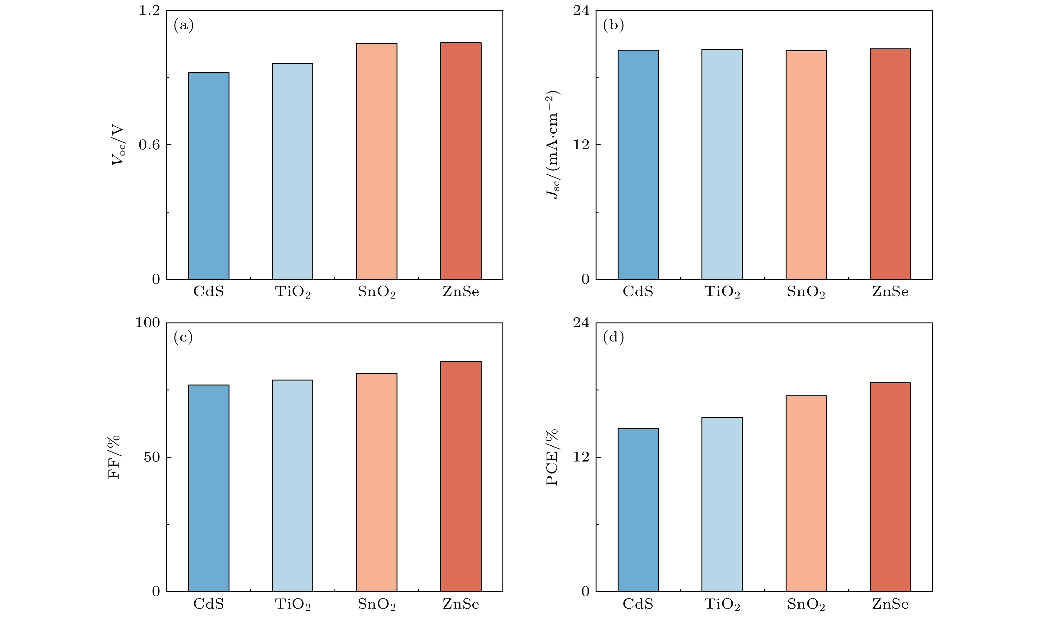
参数 CuInSe2[55] CuGaSe2[56–58] CdS[56,59] ZnO[56,60] Al:ZnO[61] 厚度/nm 3000 2000 50 70 200 带隙/eV 1.04 1.70 2.40 3.30 3.30 电子亲和能/eV 4.5 3.9 4.2 4.6 4.6 介电常数 13.6 10.6 10.0 9.0 9.0 导带有效态密度/(1018cm–3) 2.20 1.31 2.20 2.20 2.20 价带有效态密度/(1018cm–3) 18.00 9.14 18.00 18.00 18.00 电子迁移率/(cm·V–1·s–1) 10 100 100 100 100 空穴迁移率/(cm·V–1·s–1) 10 25 25 25 25 施主浓度/(1017cm–3) 0 0 1 10 1000 受主浓度/(1016cm–3) 2 变量 0 0 0 缺陷类型 中性 变量 中性 中性 单受主(–/0) 电子俘获截面/(10–17cm2) 10000 1 1 100 100 空穴俘获截面/(10–15cm2) 1 1 1000 1000 1 能量分布 单一 单一 单一 单一 单一 缺陷能级Et的参考 高于最高价带能级 高于最高价带能级 高于最高价带能级 高于最高价带能级 高于最高价带能级 相对于参考能级的能量/eV 0.6 变量 0.6 0.6 0.6 缺陷浓度/(1015cm–3) 1 变量 100 100 10 参数 TiO2[66–68] SnO2[49,69,70] ZnSe[67,71,72] 厚度/nm 30 50 50 带隙/eV 3.20 3.60 2.67 电子亲和能/eV 3.90 4.00 4.09 介电常数 9.0 9.0 8.6 导带有效态密度/(1017cm–3) 10000 2.2 22 价带有效态密度/(1017cm–3) 2000 2.2 180 电子迁移率/(cm·V–1·s–1) 20 200 400 空穴迁移率/(cm·V–1·s–1) 10 80 110 施主浓度/(1019cm–3) 1 1 1 受主浓度/cm–3 0 0 0 缺陷类型 中性 中性 中性 电子俘获截面/(10–15cm2) 1 1 1 空穴俘获截面/(10–15cm2) 1 1 1 能量分布 单一 单一 单一 缺陷能级Et的参考 高于最高价带能级 高于最高价带能级 高于最高价带能级 相对于参考能级的能量/eV 0.6 0.6 0.6 缺陷浓度/(1015cm–3) 1 1 1 有效质量 本工作 文献[74] 电子 m*100,m*010 0.15 0.10 m*001 0.13 0.09 电子平均有效质量 0.14 0.09 空穴 m*100,m*010 0.62 0.77 m*001 0.15 0.10 空穴平均有效质量 0.51 0.63 电池 厚度/nm 开路电压/V 短路电流
/(mA·cm–2)填充因子/% 光电转换效率/% A-600 K-CGS顶部电池 2000 1.06 20.58 85.63 18.63 CIS底部电池 1820 0.59 20.58 77.59 9.42 2T单片叠层太阳能电池 — 1.65 20.58 82.60 28.05 A-700 K-CGS顶部电池 2000 1.16 19.99 86.04 19.92 CIS底部电池 1336 0.58 19.99 76.68 8.99 2T单片叠层太阳能电池 — 1.74 19.99 83.12 28.91 A-800 K-CGS顶部电池 2000 1.22 19.39 86.40 20.35 CIS底部电池 1050 0.57 19.39 75.81 8.38 2T单片叠层太阳能电池 — 1.79 19.39 82.78 28.73 A-900 K-CGS顶部电池 2000 1.03 17.68 82.60 15.07 CIS底部电池 636 0.55 17.68 73.33 7.13 2T单片叠层太阳能电池 — 1.58 17.68 79.47 22.20 -
[1] [2] [3] [4] [5] [6] [7] [8] [9] [10] [11] [12] [13] [14] [15] [16] [17] [18] [19] [20] [21] [22] [23] [24] [25] [26] [27] [28] [29] [30] [31] [32] [33] [34] [35] [36] [37] [38] [39] [40] [41] [42] [43] [44] [45] [46] [47] [48] [49] [50] [51] [52] [53] [54] [55] [56] [57] [58] [59] [60] [61] [62] [63] [64] [65] [66] [67] [68] [69] [70] [71] [72] [73] [74] [75] [76] [77] [78] [79] [80] [81] [82] [83] [84] [85] [86] [87] [88] [89] [90] [91] [92] [93] [94] [95] [96] [97]
Catalog
Metrics
- Abstract views:1932
- PDF Downloads:72
- Cited By:0













DownLoad:







