According to the absorption spectra of Dy
3+, Na
+: PbGa
2S
4crystal elements, as well as the theoretical calculations obtained from Judd-Ofelt analysis, we derive partial fluorescence absorption and emission cross sections. For energy levels that cannot be directly measured, we employ the reciprocal method to calculate their respective absorption cross-section and emission cross-section. Combing the experimental measurements and the calculation results, the experimental setup, which can generate a 4.3-μm mid-infrared laser through directly pumping dysprosium and Dy
3+, Na
+: PbGa
2S
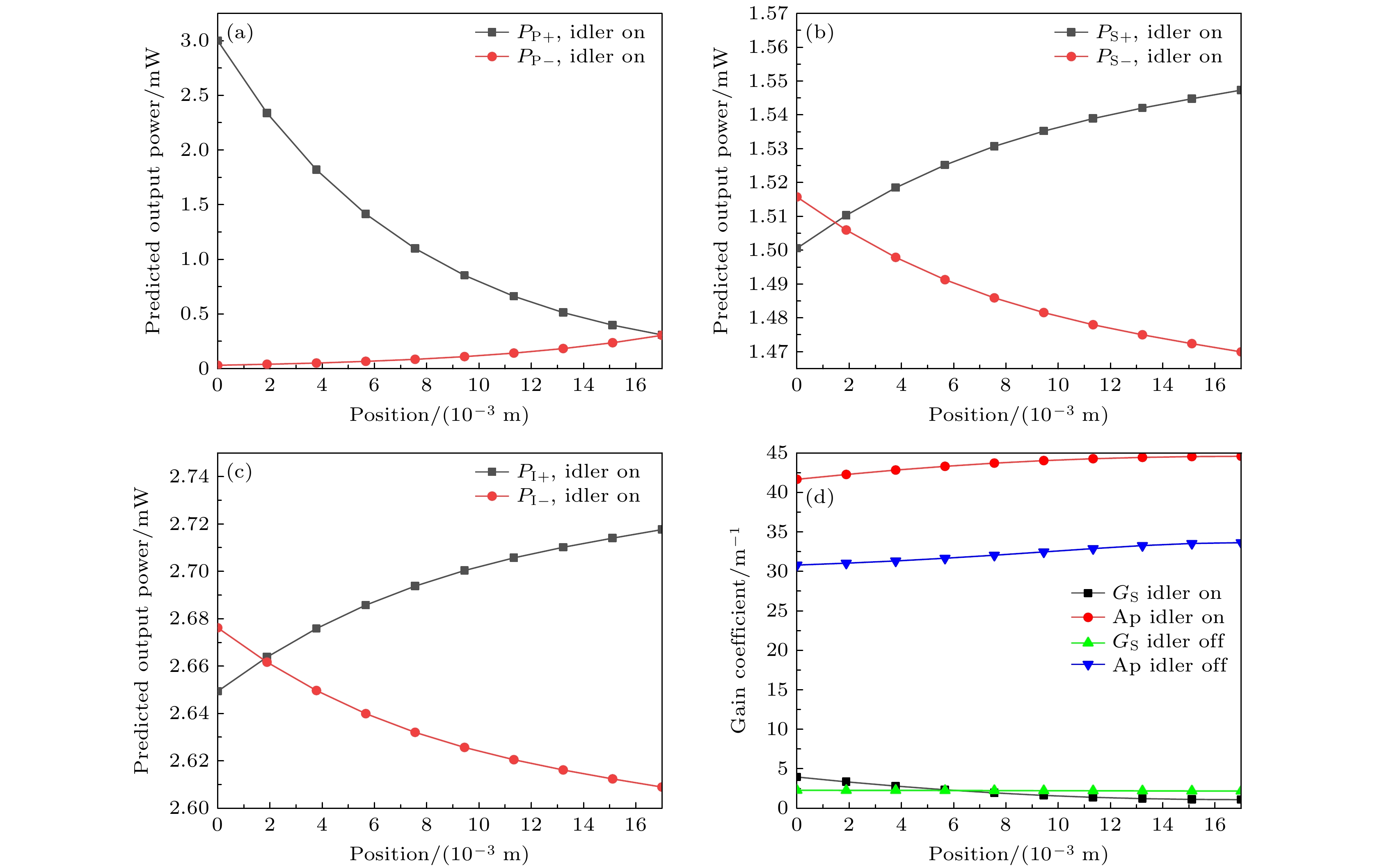
4crystals by 1.3 μm and 1.7 μm diode lasers, is investigated through numerical simulation. The spatial distributions of laser power, gain coefficient, and absorption coefficient within the crystal are obtained through numerical calculation. Furthermore, the effects of pumping power, crystal length, and output mirror reflectance on laser performance are analyzed. In this model, a 2.9-μm laser oscillation is introduced in the optical path and the changes of output power before and after introduction are observed. Our results demonstrate that the introduction of 2.9-μm laser oscillation effectively facilitates the particle number transfer from the
6H
13/2level to the ground state
6H
15/2, thereby reducing the self-terminating phenomenon during the transition between the
6H
11/2and
6H
13/2levels, and enhancing both output power and slope efficiency of the laser system. Numerical results indicate that maximum power output for the 1.3μm diode laser pumping is achieved at 103 mW with a pumping threshold of 12 mW and a slope efficiency of 2.8%, while for the 1.7-μm diode laser pumping, the power output reaches up to 315 mW with a pumping threshold of 46 mW and a slope efficiency of 8%. Additionally, the calculation results show that the optimal crystal length is 17 mm for the 1.3 μm diode laser pumping, and 32 mm for the 1.7 μm diode laser pumping. Finally, the best reflectance value for the output mirror is 0.92. These numerical results are of great significance for guiding the crystal processing and the selection of optical path structure parameters.