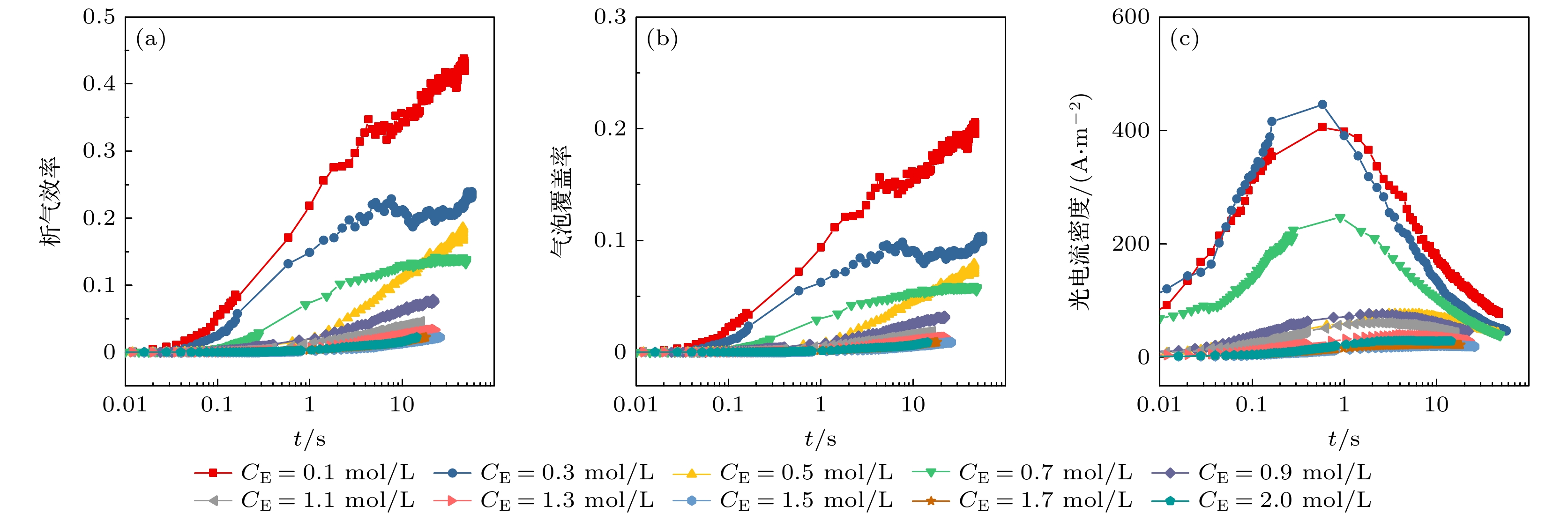
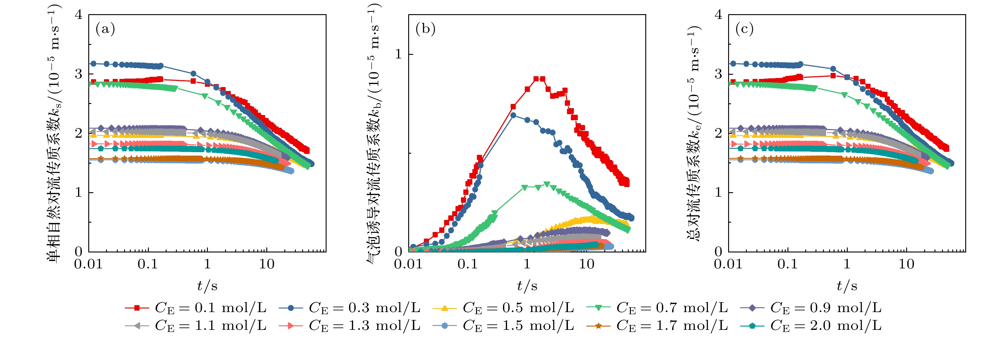
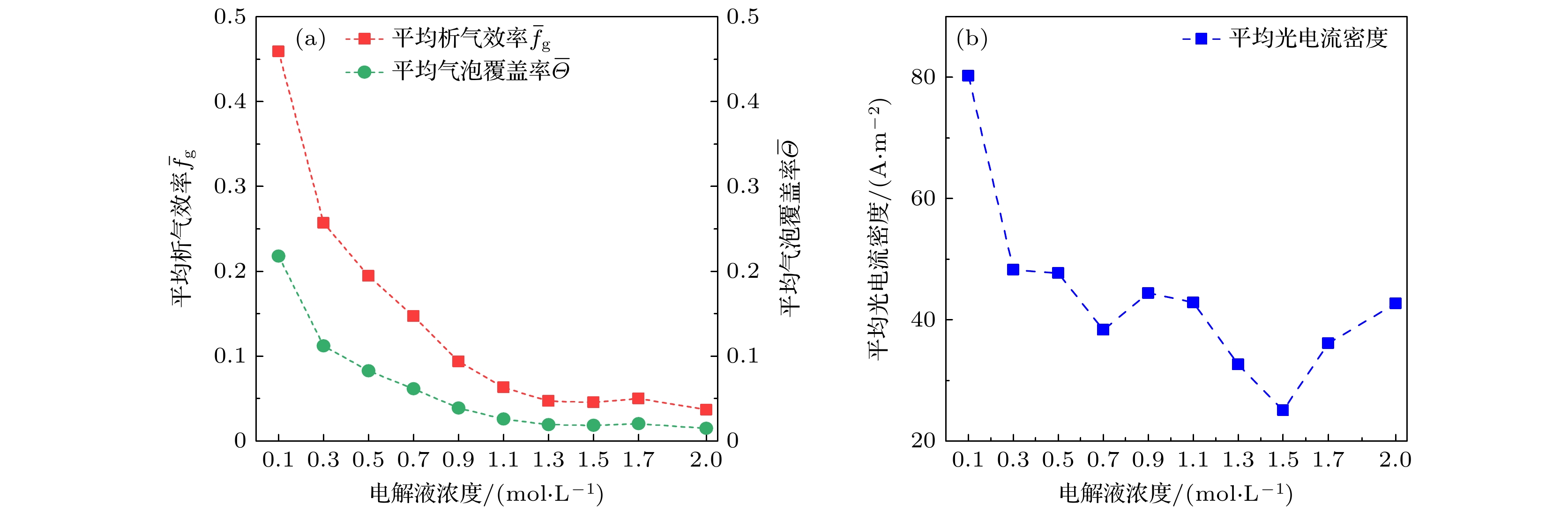
In the photoelectrochemical water splitting reaction system, bubbles will cover the reaction area on the photoelectrode surface, affecting the reaction impedance and gas-liquid mass transfer. A laser irradiation system is built and it is coupled with an electrochemical workstation and high-speed microscopic imaging system. The evolution behavior and mass transfer characteristics of single O
2bubble on the TiO
2photoelectrode are studied at different electrolyte concentrations (Na
2SO
4, 0.1–2.0 mol/L). With the increase of electrolyte concentration from 0.1 mol/L to 2.0 mol/L, the solution resistance and bubble additional resistance decrease, and the overpotential in the stable growth stage of bubble decreases from 0.113 V to –0.089 V. The bubble will cause the fluctuation of overpotential in the nucleation, growth and detachment stages, which is consistent with the impedance change caused by the change of dissolved oxygen concentration in the liquid phase. By analyzing the correlation between gas evolution efficiency and bubble coverage, it is found that the increase of electrolyte concentration will lead the bubble coverage and gas evolution efficiency to decrease simultaneously. By calculating the Sherwood dimensionless number, the results show that the total convective mass transfer coefficient increases with the electrolyte concentration increasing. Single-phase natural convection plays a dominant role in the process of gas product transfer, and its mass transfer coefficient is one order of magnitude larger than that of bubble-induced convection. In summary, by adjusting the electrolyte concentration, the bubble on the gas evolution photoelectrode surface can be effectively removed and the mass transfer of the system can be optimized, which is of great significance in improving the efficiency of photoelectrochemical water splitting.