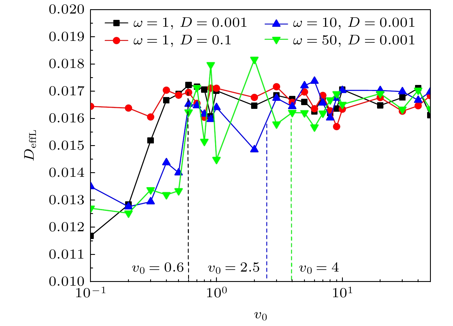
In recent years, the study of active particles has become one of the important topics concerned by researchers in many fields, among which the phase separation of active chiral particles has important theoretical and practical significance. In this paper, the phase separation of binary mixed systems composed of active chiral particles with different diffusion coefficients is studied by Langevin dynamics. A smaller relative diffusion coefficient is conducive to the formation of large clusters and the separation of “cold” particles, while a larger relative diffusion coefficient will weaken the separation effect. Due to the influence of particle characteristics (self-driven velocity, self-rotational angular velocity) and relative diffusion coefficient on the collision between particles, if one wants the “cold” and “hot” particles to reach phase separation, increasing (or reducing) the self-driven velocity and self-rotational angular velocity cannot be synchronous, and the relative rate of change of self-driven velocity is smaller than that of the self-rotational angular velocity. By analyzing the changes of the effective diffusion coefficient of “cold” particles, the phenomenon of phase separation in the system can be better explained. A smaller effective diffusion coefficient means that the “cold” particles will aggregate into larger clusters, and the system may exhibit phase separation. However, when the effective diffusion coefficient is larger, the diffusion of “cold” particles is stronger and the “cold” particles will not form large clusters, which means that the system cannot aggregate into phase separation. In addition, with the filling rate of particle increasing, the proportion curve of the number of cold particles in maximum cold particle cluster undergoes a non-monotonic change, specifically, it first increases and then decreases. Each curve has an optimal filling rate but its width is different .With the increase of the relative diffusion coefficient and self-driven velocity, the width of the optimal filling rate of the proportion curve will become narrower and shift toward the right.