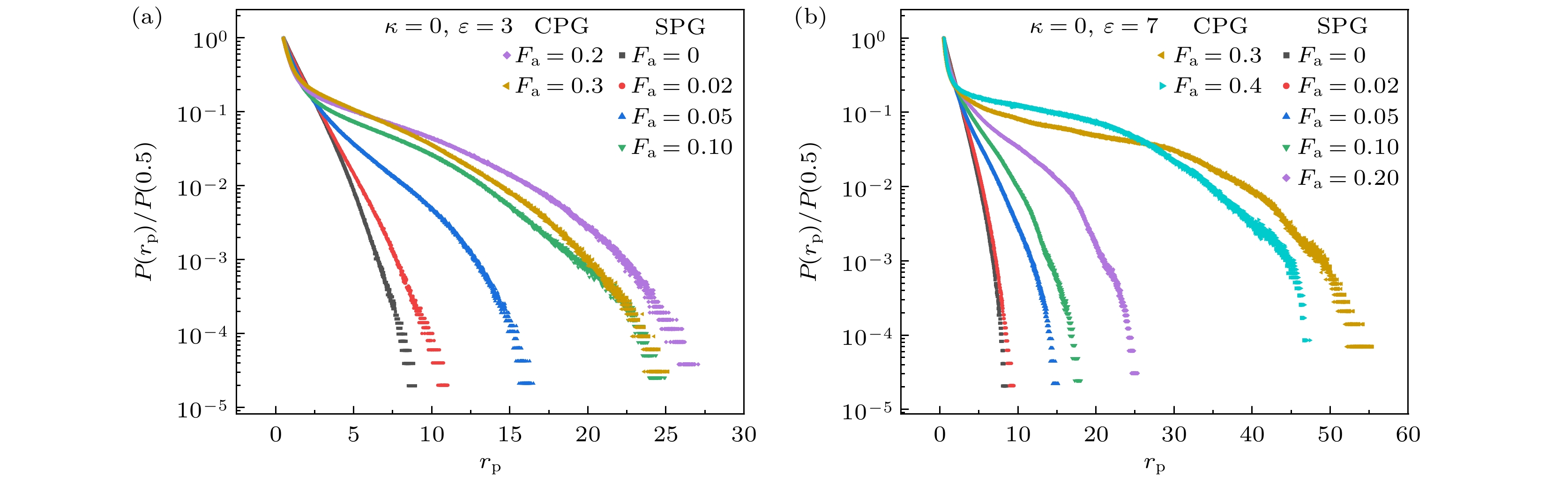
The self-propulsion of active matter leads to many non-equilibrium self-organization phenomena, and the conformational freedom of polymer chains can produce unique equilibrium self-assembly behaviors, which stimulates cross-disciplinary research between active matter and polymer physics. In this work, we use molecular dynamics simulations to investigate the modulation of self-propulsion activity on the gel transition of ABA triblock copolymers. The research results indicate that under different active forces and attractive strengths, the gel states formed by ABA copolymers can be divided into three types: stable polymer gels with stable percolation paths and uniform spatial distribution, dynamic polymer gels with constantly changing percolation path and strand conformation, and collapsed polymer gels aggregating into large percolating clusters. The spatial uniformity of active gels is related not only to the concentration fluctuation during the formation of the network, but also to the inconsistent movement of the network chains caused by the activity, which is manifested in the rotation of crosslinking points in the flexible system and the directional movement of the bundles along their contour directions in the semi-flexible and rigid systems. In terms of topological conformation of polymer networks, when the attractive strength between A blocks is strong, the proportion of loop increases with the active force increasing. When attractive strength is weak, inter- and intra-chain binding are unstable, and the conformation is easily changed by the activity drive, noise and other chain collisions, so the proportion of loop decreases with the active force increasing. The branching number of crosslinking points varies with active force, which is not only affected by the attraction strength, but also related to the rigidity of the network chain. Generally, the branch number of crosslinking points in semi-flexible networks is larger than that in flexible and rigid networks. In addition, the directional motion of active polymers induces anomalous diffusion in stable polymer gels. This study contributes to the understanding of the collective behavior of active polymers and serves as a guide for designing and implementing active polymeric materials.