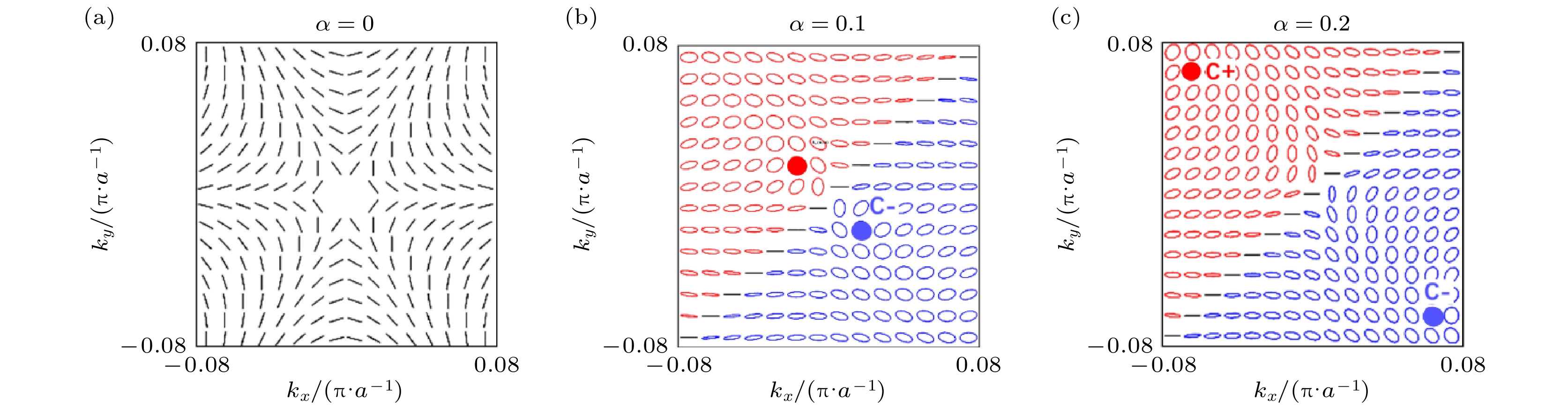
Bound states in the continuum (BIC) were initially observed in quantum mechanics as a phenomenon capable of maintaining localized wave behavior. This effect has been extensively studied across various material systems, including piezoelectric materials, graphene, and photonic crystals. Recently, the BIC mode has employed to achieve strong optical chirality in metamaterials with symmetry breaking. In this work, we propose a silicon metasurface with an interrupted ring groove, which has a fourfold rotationally symmetry. By breaking the in-plane inversion symmetry of the unit cell, we achieve quasi-BICs with the high quality factor and conspicuous chirality. Moreover, by analyzing topological charges in momentum space, we reveal that the unique topological characteristics of quasi-BIC are generated by the internal resonance of metasurface. When the symmetry breaking reaches a certain level, our proposed symmetry-broken metasurface shows a strong circular dichroism and its value is –0.93, which indicates that the quasi-BIC mode can has a strong chiral selectivity. For chiral sensing applications, the chiral metasurface exhibits a spectral resolution of approximately 0.003. The findings presented in this work have great potential applications in chiral sensing, nonlinear chiral optics, low-threshold lasers, and other related fields.