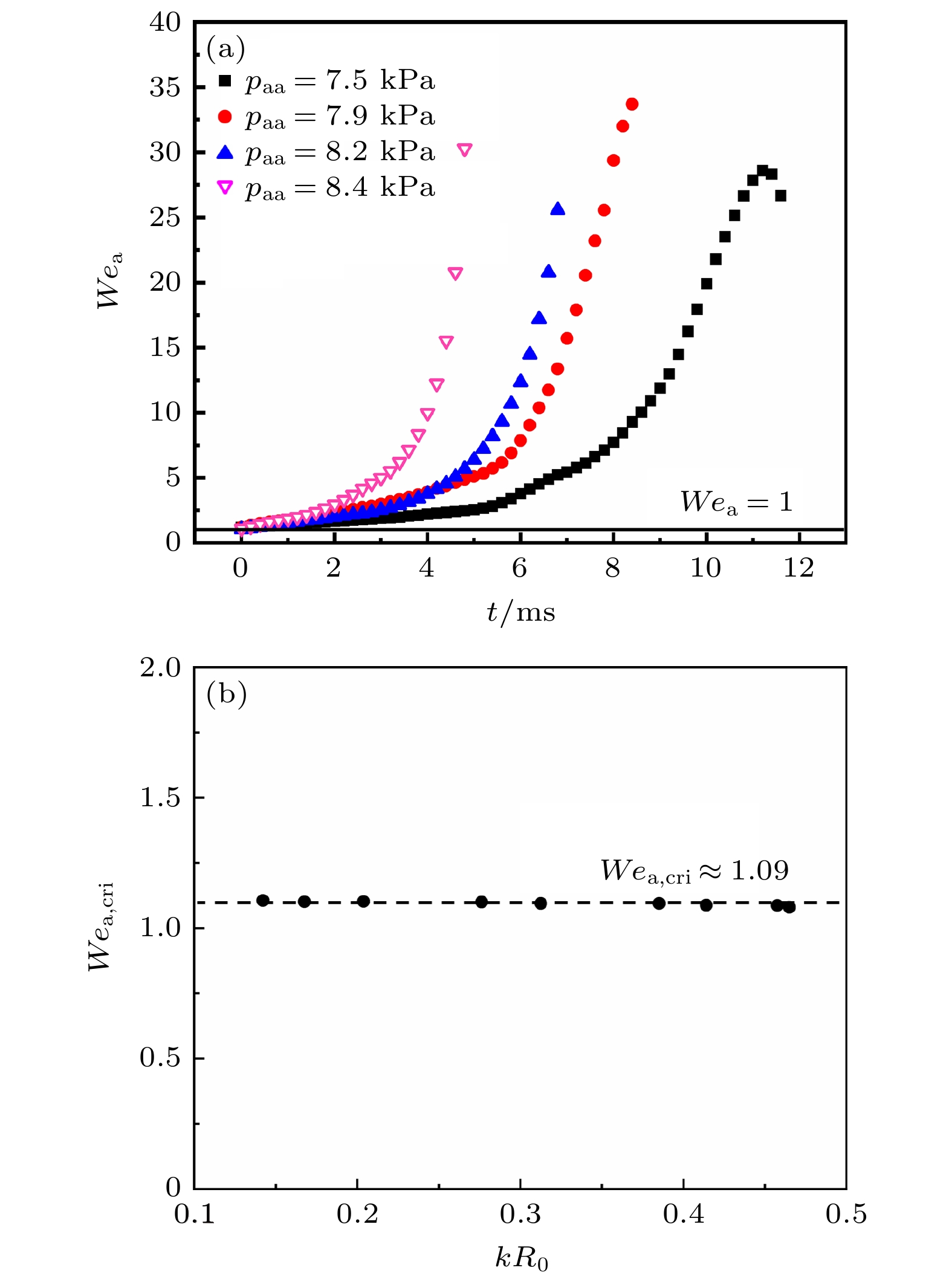
The advancement of the theory of droplet stability in the acoustic field is of significant value in improving ultrasonic atomization and ultrasonic levitation technology. In this work, in order to reveal the detailed mechanism of acoustic droplet instability and give the instability criterion for easy application, the dynamics of droplet instability in standing wave acoustic field (19.8 kHz) is studied by combining practical experiment, theoretical derivation and numerical calculation. The acoustic instability of the droplet occurring near the wave nodes is mainly manifested in two typical modes: disk instability and edge-sharpening instability. The appearance of these two instability modes depends on the relative magnitude of the standing wave field strength. Specifically, with the gradual enhancement of the intensity of the standing wave field, the instability mode of the droplet will gradually change from disc instability to edge-sharpened instability.The droplets show obvious self-accelerating expansion in the equatorial plane in the instability process. The positive feedback between the droplet aspect ratio and the negative pressure of acoustic radiation at the equator of the droplet is the reason for the above self-accelerating behavior. The theoretical results obtained through deduction indicate that the amplitude of the negative acoustic radiation pressure at the droplet equator is proportional to the square of the droplet aspect ratio. The surface tension of the droplet is the main factor hindering its deformation, while the acoustic radiation suction at the equator is the main factor driving the deformation of the droplet. Based on this, the force equilibrium equation of the droplet interface is established, and the dimensionless criterion of acoustic droplet instability, i.e. the acoustic Weber number
We
a, is derived. When
We
a≤1, the droplet interface stays in equilibrium, and when
We
a>1, the equatorial acoustic suction is larger than the surface tension, and the droplet instability occurs, and the average error between the experimental results and the theoretical results is only 9%.